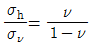
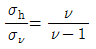
다음 중 암반 내 작용하는 수직방향지압(ϵv)에 대한 수평방향지압(σh)의 비를 나타내는 측압계수 K를 올바르게 표기하는 것은? (단, 수평방향의 변형률은 0이고, v는 포아송비이다.)
지금 시작하기 →

・・・ 문제은행 화약류관리기사(2017년 2회) 49번

화약류관리기사 2017년 09월 49번

다음 중 암반 내 작용하는 수직방향지압(ϵv)에 대한 수평방향지압(σh)의 비를 나타내는 측압계수 K를 올바르게 표기하는 것은? (단, 수평방향의 변형률은 0이고, v는 포아송비이다.)

1
2
3
4
단축키
이전 문제로 이동은 키를 누르고, 다음 문제로 이동은 키를 누르세요
이전 문제 , 다음 문제
문제(100)
25 전파속도가 400m/s 이고, 진동수가 10Hz인 진동의 진폭을 절반으로 감소시키려할 때 적절한 반진구의 깊이는 얼마로 하여야 하는가? 26 백브레이크(Back breake)와 오버행(Over hang)에 대한 설명으로 틀린 것은? 27 다음 중 수중발파 설계 시 고려할 요소로 가장 거리가 먼 것은? 28 에멀젼 폭약의 대한 설명으로 옳은 것을 모두 나타낸 것은? 29 수중발파 시 폭발 진행 과정 순서로 옳은 것은? 30 발파의 위험구역 내의 통행을 막기 위하여 경계원을 배치할 때 경계원에게 확인시켜야 하는 사항으로 가장 거리가 먼 것은? 31 계단식 발파에서 공저 장약밀도(Ib)를 단위 천공길이당 폭약량(kg/m)으로 정의할 때, 64mm 직경의 발파공에 장약밀도 0.8kg/L 인 ANFO를 장전할 때 공저 장약밀도는? 32 Trim Blasting에 관한 설명으로 옳지 않은 것은? 33 다음 중 지발발파에 대한 설명으로 옳지 않은 것은? 34 폭야의 특성 중 폭발시 동적요과에 가장 큰 영향을 주는 것은? 35 폭약의 폭발로 인해 발생하는 응력파의 파장이 비교적 짧은 경우 Hopkinson 효과에 의해 인장파가 발생한다고 가정할 때 자유면에 도달하는 최대 응력치가 50Mpa, 파장이 1m, 암반의 동적인장강도가 5Mpa이면 반사파에 의해 파단되는 평판두께는? 36 전기뇌관 3개를 직렬결선하고 다시 이것을 5열 병렬결선한 직·병렬 결선이 있다. 소요전압은 몇 볼트인가? (단, 전기뇌관은 1개의 저항 1.5Ω, 발파모선 1m당 0.02Ω, 총 연장 100m, 발파기의 내부저항 0, 소요전류는 2(A)로 한다.)
37 터널 면적과 천공경에 따른 비천공장 및 비장약량에 대한 설명으로 옳지 않은 것은? 38 단일 자유면에서 서로 다른 저항선을 가진 두 개의 발파공으로 인해 생긴 누두공이 비슷한 모양이면 채석용적과 최소 저항선과의 관계는? 39 Pre-splitting 발파 시 장약량의 결정에 관한 설명으로 옳지 않은 것은? 40 전기발파를 위한 작업 시 발파모선 및 보조모선을 배선할 때 주의사항으로 옳지 않은 것은? 41 일정수직하중 조건하에서 실시된 직접전단시험에 의한 거친 절리면의 거동 특성으로 옳지 않은 것은? 42 다음 중 축 방향 점하중강도지수(Is)를 구하는 식으로 옳은 것은? (단, P는 파괴하중, A는 파괴면의 면적이다.) 43 다음 중 초기지압 측정법은? 44 일축압추강도가 동일한 암석 a, b에 발생한 수직변형률의 비(ϵa/ϵb)가 8/15라면, 암석 a, b의 탄성계수의 비(Ea/Eb)는? (단, a, b 암서의 수직변형률을 각각 ϵa, ϵb로, 탄성계수를 각각 Ea, Eb로 표시한다.) 45 Q-system을 구성하고 있는 인자가 의미하고 있는 항목 중 RMR에서는 고려하지 않는 것은? 46 다음 중 순수전단변형률(Pure shear strain) 상태를 나타내는 것은? 47 다음 중 점도(viscosity)의 단위는? 48 탄성이론을 표현하는 역학적 모델 중 점탄성체를 나타내는 Kelvin 물체는? (단, σ:응력, E:탄성계수, η:점성계수)
49 다음 중 암반 내 작용하는 수직방향지압(ϵv)에 대한 수평방향지압(σh)의 비를 나타내는 측압계수 K를 올바르게 표기하는 것은? (단, 수평방향의 변형률은 0이고, v는 포아송비이다.) 50 이차원 상태의 미소 평면에 τxy=0, σx=46Mpa, σy=12Mpa의 응력이 작용하고 있을 때, 최대 전단응력의 크기는? 51 직경 5.4cm 두께 2.78cm인 암석 disc로 간접인 장시험(Brazilian test)을 한 결과 2.83ton에서 파괴되었을 때, 이 암석의 인장강도는? 52 Griffith 파괴이론에 대한 설명으로 옳지 않은 것은? 53 RMR 분류법에 대한 설명으로 옳지 않은 것은? 54 지하 100m 지점에 반경 6m의 원형공동을 수평방향으로 굴착하였을 때, 터널의 측벽부에 작용하는 응력 중 접선응력의 크기는? (단, 등방의 탄성암반이며, 포아송비는 0.25, 연직응력은 1m 심도당 0.027Mpa 증가하며, 터널의 단면적에 대한 수평터널의 길이는 충분히 긴 것으로 가정한다.) 55 동일한 시험편을 이용한 강도시험 결과에 대한 설명으로 옳지 않은 것은? 56 암석의 탄성파속도에 대한 설명으로 옳지 않은 것은? 57 다음 암반사면의 안전해석에 적용할 수 없는 방법은? 58 일축압축강도 100kg/cm2, 인장강도 10kg/cm2인 암석의 전단강도는? (단, 압열인장시험을 고려한 전단강도 추정식을 사용한다.) 59 암반 불연속면의 종류 중 광물의 배열 형태에 따라 발생하고, 타격 시 광물 결정의 결합력이 약한 면을 따라 파괴되며 발생하는 불연속면은? 60 변형률경화(Stain-hardening)에 대한 설명으로 옳은 것은?
App Store Google Play
오늘학습 예시 이미지

시험에 합격하려면
복습을 제대로 해야 합니다.

오늘학습은 스스로 기억을 떠올리고 계획적으로 복습할 수 있도록 설계돼 있어요.
그것도, 가장 과학적인 방식으로요!

능동적 회상

능동적 회상
(Active Recall)

배운 내용을 단순 읽으며 반복하는 것이 아니라,
능동적으로 기억하고 있는지를
스스로 테스트하며
공부할 수 있는
학습 환경을 제공해 학습 효과를 높여요

간격 반복 학습

간격 반복 학습
(Spaced Repetition)

에빙하우스 망각곡선을 바탕으로
가장 최적의 시점에 복습을 제공하여
배운 내용이 잊히지 않도록 장기 기억화해요

Data 기반의
뇌과학적 복습 시스템

학습 결과 Data를 분석해, 문제별 최적화된
반복 학습량을
자동으로 분배해요.
학습에 소요되는 시간을 최소화하는
동시에
단기 기억을 장기 기억으로 전환해줘요.

36만 개 이상의
기출문제 무료 제공

공무원 및 약 300여종의 자격증 시험 기출문제
36만개
이상을 무료로 이용할 수 있어요.
여러 앱을 설치할 필요
없이, 오늘학습 하나로
모든 시험을 준비할 수 있어요.

다양한 문제 유형으로 만드는
나만의 단어장&문제집

기출 외에도 외워야 하는 내용은
객관식, 주관식, 카드, 빈칸
등 다양한 형식으로
직접 만들어 보세요. 내 학습 스타일에
맞게
나만의 단어장과 문제집을 만들 수 있어요.

시험별 체계적인
문제 관리

시험에 문제를 추가해 체계적으로
관리할 수 있어요.
주제나 단원별로
분류하고 싶다면,
시험에 챕터를 만들어
문제를 추가할 수도 있어요.

수십만 명이
오늘학습을 사랑합니다

앱 스토어 평점 4.9
구글 플레이 평점 4.8
누적 회원수 100,000+
지금 오늘학습을
시작해보세요
지금 시작하기
문제 선택