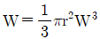
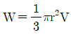
단일자유면 발파에 있어서 채석량(V)과 최소저항선(W)의 관계는? (단, 누두반지름은 r 로 함)(관리자 입니다. 보기 1, 2, 3, 4번이 정확하지 않은듯 합니다. 다른 문제집 확인 가능한분 계시면 확인 부탁 드립니다. 오류신고를 통해서 남겨 주시면 수정할수 있도록 하겠습니다.)
지금 시작하기 →

・・・ 문제은행 화약류관리기사(2019년 1회) 26번

화약류관리기사 2019년 03월 26번

단일자유면 발파에 있어서 채석량(V)과 최소저항선(W)의 관계는? (단, 누두반지름은 r 로 함)(관리자 입니다. 보기 1, 2, 3, 4번이 정확하지 않은듯 합니다. 다른 문제집 확인 가능한분 계시면 확인 부탁 드립니다. 오류신고를 통해서 남겨 주시면 수정할수 있도록 하겠습니다.)

1
2
3
4
단축키
이전 문제로 이동은 키를 누르고, 다음 문제로 이동은 키를 누르세요
이전 문제 , 다음 문제
문제(100)
13 슬러리(slurry) 폭약에 대한 설명 중 틀린 것은? 14 젤라틴 다이너마이트를 탄동구포 시험한 결과 흔들림 각도가 16도 일 때 상대중량강도(RWS)는 몇 %인가? (단, 기준폭약인 블라스팅 마이너마이트의 흔들림 각도는 18도이다.) 15 비전기식 뇌관에 사용되는 시그널튜브의 폭속은? 16 폭약 중 폭발 반응에서 산소가 부족하지 않은 것은? 17 질산암모늄은 32.3℃를 오르내리면서 용적변화가 일어나고 입자표면의 파괴나 수분의 방출로 인하여 고화현상이 발생한다. 이와 같이 32.3℃와 같은 온도를 무엇이라고 하는가? 18 기폭약으로 쓰이지 않는 것은? 19 약경 32mm, 약량 125g의 50% Dynamie를 순폭시험한 결과 순폭도는 7이었다. 시간이 경과한 후 동일한 조건으로 다시 시험하였더니 최대 순폭거리가 160mm이었다. 순폭도는 얼마나 감소하였는가? 20 다음 중 TNT의 주원료로 사용되는 것은? 21 어떤 경우에 있어서도 약실의 투사면적이 최대일 때의 약실의 형상에 해당하는 것은? 22 폭약의 동적효과를 나타내는 폭굉압에 대한 설명으로 옳은 것은? 23 발파진동의 전파특성을 크게 입지조건과 발파조건으로 나눌 수 있는데 입지조건으로 가장 옳은 것은? 24 시험발파결과 정약량이 20kg일 때 누두지수가 0.8로 약장약 발파가 되었다. 최소저항선을 동일하게 하였을 때 표준발파가 되기 위한 장악량은 얼마인가? (단, 누두지수 함수는 Brallion식 이용)
25 다음 중 발파계수(C)에 대한 설명으로 옳지 않은 것은? 26 단일자유면 발파에 있어서 채석량(V)과 최소저항선(W)의 관계는? (단, 누두반지름은 r 로 함)(관리자 입니다. 보기 1, 2, 3, 4번이 정확하지 않은듯 합니다. 다른 문제집 확인 가능한분 계시면 확인 부탁 드립니다. 오류신고를 통해서 남겨 주시면 수정할수 있도록 하겠습니다.) 27 계단식 발파(bench blasting) 설계에서 가장 중요한 것은 최대저항선을 결정하는 일이다. 천공경 33mm, 장약밀도 1.25kh, 폭약의 중량강도 1, 암석상대계수 0.45kg/m3, 발파공의 구속 계수 1, 공간격/저항선의 비 1.25일 때 최대저항선은 얼마인가? 28 폭약의 폭발력을 특정한 방향으로 전달하기 위한 반구형 또는 원뿔구조를 가지고 있는 폭약에 대한 설명으로 옳지 않은 것은? 29 발파음의 특성에 대한 설명으로 틀린 것은? 30 계단식 발파에서 계단높이(H)와 저항선(B)의 비율 H/B가 4보다 작은 경우 제발발파를 한다면 공간격(S)을 구하는 식으로 옳은 것은? 31 수중유적형 폭약의 성분에 대한 설명으로 옳은 것은? 32 안반사면을 조성하기 위하여 Trim Blasting을 적용하고자 한다. 발파공의 직경이 76mm일 때 저항선을 얼마로 하여야 하는가? (단, 공간격 S=160s 적용, 여기서 Ds는 발파공의 직경) 33 폭약에 대한 설명으로 옳지 않은 것은? 34 파쇄암석의 형상은 가지각색이며 공중을 날아갈 때에는 복잡한 공기저항을 받아 감속된다. 공기저항을 무시한다고 가정하고 암편이 50m/s, 사각 45°로 위쪽에 내던졌다고 하면, 그 암편을 내던진 지점과 같은 수평면에서의 비산거리는 얼마인가? 35 측벽효과(Channel Effect)에 대한 설명으로 옳은 것은? 36 발파해체공법의 종류 중 전도공법에 대한 설명으로 옳지 않은 것은?
37 지반진동속도에 영향을 미치는 요소가 아닌 것은? 38 다음 중 전자뇌관에 대한 설명으로 틀린 것은? 39 지하철 터널공사장 천반(天般) 및 측벽의 장약은 다음 중 어느 공법이 가장 적합한가? 40 건물 해체발파 전 발파대상 구조물의 주요부위에 장전된 장약의 효율을 높이기 위해 주요부위를 파쇄하는 작업을 사전 취약화 작업이라고 한다. 다음 중 일반적으로 적용되는 사전 취약화 작업의 범위에 해당하지 않는 구조물의 부위는? 41 다음 광물의 암석 중 비중이 가장 큰 것은? 42 암석의 탄성파 전파 속도에 영향을 미치는 요인에 대한 설명으로 옳은 것은? 43 열극 암반의 지하수 유동조건을 파악하기 위한 수치모형의 종류가 아닌 것은? 44 암석의 일축압축강도에 영향을 미치는 마찰효과(end effect)를 감소시키기 위한 방법으로 옳은 것은? 45 다음 그림과 같은 불연속면을 포함한 암석의 삼축압축시험 시 강도가 최소가 되는 각도 β는? (단, β는 축응력과 불연속면이 이루는 각도이다.) 46 암반분류 중 Q-system에 대한 설명으로 옳지 않은 것은? 47 다음 중 일축압축시험을 실시하는 경우 시험 절차상 준수하여야 할 유의사항으로 옳지 않은 것은? (단, 국제암반역학회(ISRM, 1981)의 제안 사항이다.) 48 등방탄성체에 적용하는 용력텐서가 다음과 같을 때, 탄성계수가 5GPa, 포아송비가 0.2라면 이 때의 체적팽창률은?
61 일시적인 토목공사를 하거나 그 밖의 일정한 기간의 공사를 하는 사람이 그 공사에 사용하기 위하여 화약류를 저장하고자 하는 때에 한하여 설치할 수 있는 화약류 저장소는? 62 화약류 판매업자가 판매할 목적으로 양수허가를 받지 아니한 사람에게 화약류를 양도했을 경우 행정처분기준은? (단, 위반횟수는 3회이다.) 63 화약류의 운반시 화약류를 실은 차량이 진행하는 때에 두어야 하는 안전거리의 기준으로 옳은 것은? (단, 앞지르는 경우는 제외) 64 화약류관리보안책임자 면허증에 대한 설명으로 옳지 않은 것은?(오류 신고가 접수된 문제입니다. 반드시 정답과 해설을 확인하시기 바랍니다.) 65 꽃불류 사용의 기술상의 기준으로 틀린 것은? 66 지상 1급저장소의 위치ㆍ구조 및 설비의 기준으로 틀린 것은? 67 재해 예방을 위해 필요하다고 인정되는 경우에는 화약류 소유자에게 안정도 시험을 명할 수 있는 사람은? 68 다음은 전기발파의 기술상의 기준에 대한 사항이다. ()안에 알맞은 내용은? 69 화약류의 양도ㆍ양수허가신청에 대한 설명 중 틀린 것은? 70 화약류 저장소 설치자는 화약류 출납부의 기입을 완료한 날로부터 몇 년간 이를 보존해야 하는가? 71 화약류의 사용ㆍ취급ㆍ폐기 등의 설명으로 옳지 않은 것은? 72 화약류의 제조소ㆍ저장소ㆍ판매소와 그 밖의 취급소의 지정된 장소 외에서 담배를 피웠을 경우 벌칙으로 옳은 것은?
85 다음 중 숏크리트(Shotcrete)의 뿜어 붙이기 방식에 대한 설명으로 옳지 않은 것은? 86 점토 지반에 개착식 굴착을 하고자 한다. 표준관입시험에 의한 N값이 1~2정도로 지반이 매우 연약한 경우 침투수 발생에 따라 대비해야 할 현상은? 87 다음 그림과 같은 암반사면의 평면파괴(plane failure) 가능성을 평가하고자 할 때, 이 사면의 안전율은? (단, 암석의 단위중량은 0.025 MN/m3이며, 선형 Mohr-Coulomb 파괴기준을 적용) 88 NATM 공법에서 지보재인 Rokc-bolt의 정착방법이 아닌 것은? 89 다음 안반의 평가항목 중 Q 분류법과 RMR 분류법에서 공통으로 반영되지 않은 항목은? 90 다음 중 지질평면도에 기재하는 사항이 아닌 것은? 91 수평응력 2.4t/m2, 수직응력 4.8t/m2가 작용하고 있는 암반 내에 지름 3m의 원형터널을 굴착하였다면, 터널 측벽에 작용하는 접선응력은? 92 편리에 의한 이방성이 나타나는 암석으로 옳은 것은? 93 다음 중 TBM의 작업순서를 올바르게 나열한 것은? 94 지하양수발전소의 특징으로 옳지 않은 것은? 95 지하공동(또는 터널)의 심도가 증가할 경우 발생할 수 있는 일반적인 경향으로 옳지 않은 것은? 96 전단탄성계수(shear modulus) G=1GPa, 초기지압 Po=2MPa인 암반에 지름 6m의 원형터널을 굴착할 경우 벽면의 반경방향 변위(radial displacement)는? (단, 암반은 완전탄성체로 가정하며, 측압계수 K는 1이다.)(오류 신고가 접수된 문제입니다. 반드시 정답과 해설을 확인하시기 바랍니다.)
App Store Google Play
오늘학습 예시 이미지

시험에 합격하려면
복습을 제대로 해야 합니다.

오늘학습은 스스로 기억을 떠올리고 계획적으로 복습할 수 있도록 설계돼 있어요.
그것도, 가장 과학적인 방식으로요!

능동적 회상

능동적 회상
(Active Recall)

배운 내용을 단순 읽으며 반복하는 것이 아니라,
능동적으로 기억하고 있는지를
스스로 테스트하며
공부할 수 있는
학습 환경을 제공해 학습 효과를 높여요

간격 반복 학습

간격 반복 학습
(Spaced Repetition)

에빙하우스 망각곡선을 바탕으로
가장 최적의 시점에 복습을 제공하여
배운 내용이 잊히지 않도록 장기 기억화해요

Data 기반의
뇌과학적 복습 시스템

학습 결과 Data를 분석해, 문제별 최적화된
반복 학습량을
자동으로 분배해요.
학습에 소요되는 시간을 최소화하는
동시에
단기 기억을 장기 기억으로 전환해줘요.

36만 개 이상의
기출문제 무료 제공

공무원 및 약 300여종의 자격증 시험 기출문제
36만개
이상을 무료로 이용할 수 있어요.
여러 앱을 설치할 필요
없이, 오늘학습 하나로
모든 시험을 준비할 수 있어요.

다양한 문제 유형으로 만드는
나만의 단어장&문제집

기출 외에도 외워야 하는 내용은
객관식, 주관식, 카드, 빈칸
등 다양한 형식으로
직접 만들어 보세요. 내 학습 스타일에
맞게
나만의 단어장과 문제집을 만들 수 있어요.

시험별 체계적인
문제 관리

시험에 문제를 추가해 체계적으로
관리할 수 있어요.
주제나 단원별로
분류하고 싶다면,
시험에 챕터를 만들어
문제를 추가할 수도 있어요.

수십만 명이
오늘학습을 사랑합니다

앱 스토어 평점 4.9
구글 플레이 평점 4.8
누적 회원수 100,000+
지금 오늘학습을
시작해보세요
지금 시작하기
문제 선택