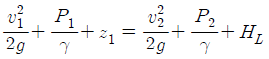
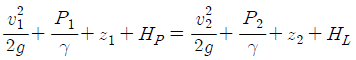
펌프의 일과 손실을 고려할 때 베르누이 수정 방정식을 바르게 나타낸 것은? (단, HP와 HL은 펌프의 수두와 손실 수두를 나타내며, 하첨자 1, 2는 각각 펌프의 전후 위치를 나타낸다)
지금 시작하기 →

・・・ 문제은행 소방설비기사(기계분야)(2020년 1회) 36번

소방설비기사(기계분야) 2020년 06월 36번

펌프의 일과 손실을 고려할 때 베르누이 수정 방정식을 바르게 나타낸 것은? (단, HP와 HL은 펌프의 수두와 손실 수두를 나타내며, 하첨자 1, 2는 각각 펌프의 전후 위치를 나타낸다)

1
2
3
4
단축키
이전 문제로 이동은 키를 누르고, 다음 문제로 이동은 키를 누르세요
이전 문제 , 다음 문제
문제(80)
25 비중이 0.85이고 동점성계수가 3×10-4m2/s인 기름이 직경 10cm의 수평 원형 관 내에 20L/s으로 흐른다. 이 원형 관의 100m 길이에서의 수두손실(m)은? (단, 정상 비압축성 유동이다) 26 그림과 같이 수족관에 직경 3m의 투시경이 설치되어있다. 이 투시경에 작용하는 힘(kN)은? 27 점성에 관한 설명으로 틀린 것은? 28 240mmHg의 절대압력은 계기압력으로 약 몇 kPa인가? (단, 대기압은 760mmHg이고, 수은의 비중은 13.6이다) 29 관의 길이가 l이고, 지름이 d, 관마찰계수가 f일 때, 총 손실수두 H(m)를 식으로 바르게 나타낸 것은? (단, 입구 손실계수가 0.5, 출구 손실계수가 1.0, 속도수두는 V2/2g이다.) 30 회전속도 N(rpm)일 때 송출량 Q(m3/min), 전양정 H(m)인 원심펌프를 상사한 조건에서 회전속도를 1.4N(rpm)으로 바꾸어 작동할 때 (ㄱ)유량과 (ㄴ)전양정은? 31 그림과 같이 길이 5m, 입구직경 (D1) 30cm, 출구직경 (D2) 16cm인 직관을 수평면과 30° 기울어지게 설치하였다. 입구에서 0.3m3/s로 유입되어 출구에서 대기중으로 분출된다면 입구에서의 압력(kPa)은? (단, 대기는 표준대기압 상태이고 마찰손실은 없다) 32 다음 중 배관의 유량을 측정하는 계측 장치가 아닌 것은? 33 지름 10cm의 호스에 출구 지름이 3cm인 노즐이 부착되어 있고, 1,500L/min의 물이 대기 중으로 뿜어져 나온다. 이때 4개의 플랜지 볼트를 사용하여 노즐을 호스에 부착하고 있다면 볼트 1개에 작용되는 힘의 크기(N)는? (단, 유동에서 마찰이 존재하지 않는다고 가정한다) 34 -10℃, 6기압의 이산화탄소 10kg이 분사노즐에서 1기압까지 가역 단열팽창 하였다면 팽창 후의 온도는 몇 ℃가 되겠는가? (단, 이산화탄소의 비열비는 1.289이다) 35 다음 그림에서 A, B점의 압력차(kPa)는? (단, A는 비중 1의 물, B는 비중 0.899의 벤젠이다) 36 펌프의 일과 손실을 고려할 때 베르누이 수정 방정식을 바르게 나타낸 것은? (단, HP와 HL은 펌프의 수두와 손실 수두를 나타내며, 하첨자 1, 2는 각각 펌프의 전후 위치를 나타낸다)
37 그림과 같이 단면 A에서 정압이 500kPa이고 10m/s로 난류의 물이 흐르고 있을 때 단면 B에서의 유속(m/s)은? 38 압력이 100kPa이고 온도가 20℃인 이산화탄소를 완전기체라고 가정할 때 밀도(kg/m3)는? (단, 이산화탄소의 기체상수는 188.95J/kgㆍK이다) 39 온도차이가 △T, 열전도율이 k1, 두께 x인 벽을 통한 열유속(Heat Flux)과 온도차이가 2△T, 열전도율이 k2, 두께 0.5x인 벽을 통한 열유속이 서로 같다면 두 재질의 열전도율비 k1/k2의 값은? 40 표준대기압 상태인 어떤 지방의 호수 밑 72.4m에 있던 공기의 기포가 수면으로 올라오면 기포의 부피는 최초 부피의 몇 배가 되는가? (단, 기포 내의 공기는 보일의 법칙을 따른다) 41 소방시설공사업법령상 소방공사감리를 실시함에 있어 용도와 구조에서 특별히 안전성과 보안성이 요구되는 소방대상물로서 소방시설물에 대한 감리를 감리업자가 아닌 자가 감리할 수 있는 장소는? 42 소방시설공사업법령에 따른 소방시설업 등록이 가능한 사람은? 43 소방기본법령상 소방업무 상호응원협정 체결 시 포함되어야 하는 사항이 아닌 것은? 44 소방기본법령에 따른 소방용수시설 급수탑 개폐밸브의 설치기준으로 맞는 것은? 45 소방기본법에 따라 화재 등 그 밖의 위급한 상황이 발생한 현장에서 소방활동을 위하여 필요한 때에는 그 관할구역에 사는 사람 또는 그 현장에 있는 사람으로 하여금 사람을 구출하는 일 또는 불을 끄는 등의 일을 하도록 명령할 수 있는 권한이 없는 사람은? 46 화재예방, 소방시설 설치ㆍ유지 및 안전관리에 관한 법률상 소방용품의 형식승인을 받지 아니하고 소방용품을 제조하거나 수입한 자에 대한 벌칙 기준은? 47 위험물안전관리법령에 따라 위험물안전관리자를 해임하거나 퇴직한 때에는 해임하거나 퇴직한 날부터 며칠 이내에 다시 안전관리자를 선임하여야 하는가? 48 화재예방, 소방시설 설치ㆍ유지 및 안전관리에 관한 법률상 화재위험도가 낮은 특정소방대상물 중 소방대가 조직되어 24시간 근무하고 있는 청사 및 차고에 설치하지 아니할 수 있는 소방시설이 아닌 것은?
49 소방기본법령상 불꽃을 사용하는 용접ㆍ용단 기구의 용접 또는 용단 작업장에서 지켜야 하는 사항 중 다음 ( ) 안에 알맞은 것은? 50 다음 소방시설 중 경보설비가 아닌 것은? 51 화재예방, 소방시설 설치ㆍ유지 및 안전관리에 관한 법률상 소방안전관리대상물의 소방안전관리자의 업무가 아닌 것은? 52 소방기본법령에 따라 주거지역ㆍ상업지역 및 공업지역에 소방용수시설을 설치하는 경우 소방대상물과의 수평거리를 몇 m 이하가 되도록 해야 하는가? 53 위험물안전관리법령상 다음의 규정을 위반하여 위험물의 운송에 관한 기준을 따르지 아니한 자에 대한 과태료 기준은?(2020년 10월 20일 개정된 규정 적용됨) 54 화재예방, 소방시설 설치ㆍ유치 및 안전관리에 관한 법률상 소방시설 등에 대한 자체점검 중 종합정밀점검 대상인 것은? 55 화재예방, 소방시설 설치ㆍ유지 및 안전관리에 관한 법률상 건축허가 등의 동의대상물이 아닌 것은? 56 위험물안전관리법령상 제조소등의 경보설비 설치기준에 대한 설명으로 틀린 것은? 57 소방기본법령상 정당한 사유 없이 화재의 예방조치에 관한 명령에 따르지 아니한 경우에 대한 벌칙은? 58 화재예방, 소방시설 설치ㆍ유지 및 안전관리에 관한 법률상 방염성능기준 이상의 실내장식물 등을 설치해야 하는 특정소방대상물이 아닌 것은? 59 소방시설공사업법령에 따른 소방시설업의 등록권자는? 60 위험물안전관리법령상 정기검사를 받아야 하는 특정ㆍ준특정옥외탱크저장소의 관계인은 특정ㆍ준특정옥외탱크저장소의 설치허가에 따른 완공검사필증을 발급받은 날부터 몇 년 이내에 정기검사를 받아야 하는가?
61 분말소화설비의 화재안전기준상 차고 또는 주차장에 설치하는 분말소화설비의 소화약제는? 62 할론소화설비의 화재안전기준상 축압식 할론소화약제 저장용기에 사용되는 축압용가스로서 적합한 것은? 63 물분무소화설비의 화재안전기준에 따른 물분무소화설비의 설치 장소별 1m2당 수원의 최소 저수량으로 맞는 것은? 64 화재예방, 소방시설 설치ㆍ유지 및 안전관리에 관한 법률상 자동소화장치를 모두 고른 것은? 65 피난기구를 설치하여야 할 소방대상물 중 피난기구의 2분의 1을 감소할 수 있는 조건이 아닌 것은? 66 소화수조 및 저수조의 화재안전기준에 따라 소화용수설비에 설치하는 채수구의 수는 소요수량이 40m3 이상 100m3 미만인 경우 몇 개를 설치해야 하는가? 67 포소화설비의 화재안전기준에 따라 바닥면적이 180m2인 건축물 내부에 호스릴 방식의 포소화설비를 설치할 경우 가능한 포소화약제의 최소 필요량은 몇 L인가? (단, 호스 접결구 : 2개, 약제 농도 : 3%) 68 소화수조 및 저수조의 화재안전기준에 따라 소화용수 설비를 설치하여야 할 특정소방대상물에 있어서 유수의 양이 최소 몇 m3/min 이상인 유수를 사용할 수 있는 경우에 소화수조를 설치하지 아니할 수 있는가? 69 스프링클러설비의 화재안전기준에 따라 개방형스프링클러설비에서 하나의 방수구역을 담당하는 헤드 개수는 최대 몇 개 이하로 설치하여야 하는가? 70 완강기의 형식승인 및 제품검사의 기술기준상 완강기의 최대사용하중은 최소 몇 N 이상의 하중이어야 하는가? 71 옥외소화전설비의 화재안전기준에 따라 옥외소화전 배관은 특정소방대상물의 각 부분으로부터 하나의 호스접결구까지의 수평거리가 최대 몇 m 이하가 되도록 설치하여야 하는가? 72 난방설비가 없는 교육장소에 비치하는 소화기로 가장 적합한 것은? (단, 교육장소의 겨울 최저온도는 –15℃ 이다)
App Store Google Play
오늘학습 예시 이미지

시험에 합격하려면
복습을 제대로 해야 합니다.

오늘학습은 스스로 기억을 떠올리고 계획적으로 복습할 수 있도록 설계돼 있어요.
그것도, 가장 과학적인 방식으로요!

능동적 회상

능동적 회상
(Active Recall)

배운 내용을 단순 읽으며 반복하는 것이 아니라,
능동적으로 기억하고 있는지를
스스로 테스트하며
공부할 수 있는
학습 환경을 제공해 학습 효과를 높여요

간격 반복 학습

간격 반복 학습
(Spaced Repetition)

에빙하우스 망각곡선을 바탕으로
가장 최적의 시점에 복습을 제공하여
배운 내용이 잊히지 않도록 장기 기억화해요

Data 기반의
뇌과학적 복습 시스템

학습 결과 Data를 분석해, 문제별 최적화된
반복 학습량을
자동으로 분배해요.
학습에 소요되는 시간을 최소화하는
동시에
단기 기억을 장기 기억으로 전환해줘요.

36만 개 이상의
기출문제 무료 제공

공무원 및 약 300여종의 자격증 시험 기출문제
36만개
이상을 무료로 이용할 수 있어요.
여러 앱을 설치할 필요
없이, 오늘학습 하나로
모든 시험을 준비할 수 있어요.

다양한 문제 유형으로 만드는
나만의 단어장&문제집

기출 외에도 외워야 하는 내용은
객관식, 주관식, 카드, 빈칸
등 다양한 형식으로
직접 만들어 보세요. 내 학습 스타일에
맞게
나만의 단어장과 문제집을 만들 수 있어요.

시험별 체계적인
문제 관리

시험에 문제를 추가해 체계적으로
관리할 수 있어요.
주제나 단원별로
분류하고 싶다면,
시험에 챕터를 만들어
문제를 추가할 수도 있어요.

수십만 명이
오늘학습을 사랑합니다

앱 스토어 평점 4.9
구글 플레이 평점 4.8
누적 회원수 100,000+
지금 오늘학습을
시작해보세요
지금 시작하기
문제 선택