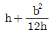
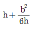
폭 a, 높이 b인 직사각형 수문이 수직으로 물속에 서 있다. 수문의 도심이 수면에서 h의 깊이에 있을 때 힘의 작용점의 위치는 수면 아래 어디에 위치하겠는가?
지금 시작하기 →

・・・ 문제은행 건설기계설비기사(2019년 2회) 49번

건설기계설비기사 2019년 08월 49번

폭 a, 높이 b인 직사각형 수문이 수직으로 물속에 서 있다. 수문의 도심이 수면에서 h의 깊이에 있을 때 힘의 작용점의 위치는 수면 아래 어디에 위치하겠는가?

1
2
3
4
단축키
이전 문제로 이동은 키를 누르고, 다음 문제로 이동은 키를 누르세요
이전 문제 , 다음 문제
문제(100)
1 그림과 같이 두께가 20mm, 외경이 200mm인 원관을 고정벽으로부터 수평으로 4m만큼 돌출시켜 물을 방출한다. 원관 내에 물이 가득차서 방출될 때 자유단의 처짐은 약 몇 mm인가? (단, 원관 재료의 세로탄성계수는 200GPa, 비중은 7.8이고 물의 밀도는 1000kg/m3이다.) 2 평면응력 상태에서 σx=1750MPa, σy=350MPa, τxy=-600MPa 일 때 최대 전단응력 τmax은 약 몇 MPa인가? 3 그림과 같은 볼트에 축 하중 Q가 작용할 때, 볼트 머리부의 높이 H는? (단, d:볼트 지름, 볼트 머리부에서 축 하중 방향으로의 전단응력은 볼트 축에 작용하는 인장 응력의 1/2까지 허용한다.) 4 그림과 같이 한 끝이 고정된 지름 15mm인 원형단면 축에 두 개의 토크가 작용하고 있다. 고정단에서 축에 작용하는 전단응력은 약 몇 MPa 인가? 5 길이가 500mm, 단면적 500mm2인 환봉이 인장하중을 받고 1.0mm 신장되었다. 봉에 저장된 탄성에너지는 약 몇 Nㆍm인가? (단, 봉의 세로탄성계수는 200GPa이다.) 6 단면의 폭과 높이가 b×h이고 길이가 L인 연강 사각형 단면의 기둔이 양단에서 핀으로 지지되어 있을 때 좌굴응력은? (단, 재료의 세로탄성계수는 E이다.) 7 그림과 같은 구조물의 부재 BC에 작용하는 힘은 얼마인가? 8 그림과 같이 삼각형으로 분포하는 하중을 받고 있는 단순보에서 지점 A의 반력은 얼마인가? 9 바깥지름 d, 안지름 d/3인 중공원형 단면의 단면계수는 얼마인가? 10 보의 중앙부에 집중하중을 받는 일단고정, 타단지지보에서 A점의 반력은? (단, 보의 굽힘강성 EI는 일정하다.) 11 직경 2cm의 원형 단면축을 1800rpm으로 회전시킬 때 최대 전달 마력은 약 몇 kW인가? (단, 재료의 허용전단응력은 20MPa이다.) 12 길이가 L인 외팔보의 중앙에 그림과 같이 MB가 작용할때, C점에서의 처짐량은? (단, 보의 굽힘 강성 EI는 일정하고, 자중은 무시한다.)
13 다음과 같은 길이 4.5m의 보에 분포하중 3kN/m가 작용된다. 이 보에 작용되는 굽힘 모멘트 절대값의 최대치는 약 몇 kNㆍm인가? 14 지름이 50mm이고 길이가 200mm인 시편으로 비틀림 실험을 하여 얻은 결과, 토크 30.6Nㆍm에서 전 비틀림 각이 7°로 기록되었다. 이 재료의 전단 탄성계수는 약 몇 MPa인가? 15 그림과 같이 정사각형 단면은 갖는 외팔보에 작용하는 최대 굽힘응력은? 16 다음과 같은 균일 단면보가 순수 굽힘 작용을 받을 때 이 보에 저장된 탄성 변형에너지는? (단, 굽힙감성 EI는 일정하다.) 17 그림과 같이 노치가 있는 원형 단면 봉이 인장력 P=9.5kN을 받고 있다. 노치의 응력 집중계수가 a=2.5라면, 노치부에서 발생하는 최대응력은 약 몇 MPa인가? (단, 그림의 단위는 mm이다.) 18 길이ℓ인 막대의 일단에 축방향 하중 P가 작용하여 인장 응력이 발생하고 있는 재료의 세로탄성계수는? (단, A는 막대의 단면적, δ는 신장량이다.) 19 그림과 같은 하중을 받는 단면봉의 최대 인장응력은 약 몇 MPa인가? (단, 한 변의 길이가 10cm인 정사각형이다.) 20 선형 탄성 재질의 정사각형 단면봉에 500kN의 압축력이 작용할 때 80MPa의 압축응력이 생기도록 하려면 한 변의 길이를 약 몇 cm로 해야 하는가? 21 체적이 1m3인 용기에 물이 5kg 들어 있으며 그 압력을 측정해보니 500kPa이었다. 이 용기에 있는 물 중에 증기량(kg)은 얼마인가? (단, 500kPa에서 포화액체와 포화증기의 비체적은 각각 0.001093m3/kg, 0.37489m3/kg이다.) 22 5kg의 산소가 정압하에서 체적이 0.2m3에서 0.6m3로 증가했다. 이 때의 엔트로피의 변화량(kJ/K)은 얼마인가? (단, 산소는 이상기체이며, 정압비열은 0.92kJ/kgㆍK이다.) 23 증기가 디퓨저를 통하여 0.1MPa, 150℃, 200m/s의 속도로 유입되어 출구에서 50m/s의 속도로 빠져나간다. 이 때 외부로 방열된 열량이 500J/kg일 때 출구 엔탈피(kJ/kg)는 얼마인가? (단, 입구의 0.1MPa, 150℃ 상태에서 엔탈피는 2776.4kJ/kg이다.) 24 그림과 같이 다수의 추를 올려놓은 피스톤이 끼워져 있는 실린더에 들어있는 가스를 계로 생각한다. 초기 압력이 300kPa이고, 초기체적은 0.05m3이다. 피스톤을 고정하여 체적을 일정하게 유지하면서 압력이 200kPa로 떨어질때까지 계에서 열을 제거한다. 이 때 계가 외부에 한 일(kJ)은 얼마인가?
25 표준대기압 상태에서 물 1kg이 100℃로부터 전부 증기로 변하는 데 필요한 열량이 0.652kJ이다. 이 증발과정에서의 엔트로피 증가량(J/K)은 얼마인가? 26 체적이 0.5m3인 탱크에, 분자량이 24kg/kmol인 이상기체 10kg이 들어있다. 이 기체의 온도가 25℃일 때 압력(kPa)은 얼마인가? (단, 일반기체상수는 8.3143kJ/kmolㆍK이다.) 27 질량 4kg의 액체를 15℃에서 100℃까지 가열하기 위해 714kJ의 열을 공급하였다면 액체의 비열(kJ/kgㆍK)은 얼마인가? 28 배기량(displacement volume)이 1200cc, 극간체적(clearance volume)이 200cc인 가솔린 기관의 압축비는 얼마인가? 29 열역학적 상태량은 일반적으로 강도성 상태량과 용량성 상태량으로 분류할 수 있다. 강도성 상태량에 속하지 않는 것은? 30 두께 10mm, 열전도율 15W/mㆍ℃인 금속판 두 면의 온도가 각각 70℃와 50℃일 떄 전열면 1m2당 1분 동안에 전달되는 열량(kJ)은 얼마인가? 31 공기 3kg이 300K에서 650K까지 온도가 올라갈 때 엔트로피 변화량(J/K)은 얼마인가? (단, 이 때 압력은 100kPa에서 550kPa로 상승하고, 공기의 정압비열은 1.005kJ/kgㆍK, 기체상수는 0.287kJ/kgㆍK이다.) 32 압축비가 18인 오토사이클의 효율(%)은? (단, 기체의 비열비는 1.41이다.) 33 공기 표준 브레이튼(Brayton) 사이클 기관에서 최고 압력이 500kPa, 최저압력은 100kPa이다. 비열비(k)가 1.4일 때, 이 사이클의 열효율(%)은? 34 800kPa, 350℃의 수증기를 200kPa로 교축한다. 이 과정에 대하여 운동 에너지의 변화를 무시할 수 있다고 할 때 이 수증기의 Joule-Thomson 계수(K/kPa)는 얼마인가? (단, 교축 후의 온도는 344℃이다.) 35 최고온도(TH)와 최저온도(TL)가 모두 동일한 이상적인 가역사이클 중 효율이 다른 하나는? (단, 사이클 작동에 사용되는 가스(기체)는 모두 동일하다.) 36 이상적인 카르노 사이클 열기관에서 사이클당 585.5J의 일을 얻기 위하여 필요로 하는 열량이 1kJ이다. 저열원의 온도가 15℃라면 고열원의 온도(℃)는 얼마인가?
37 다음 냉동 사이클에서 열역학 제1법칙과 제2법칙을 모두 만족하는 Q1, Q2, W는? 38 냉동효과가 70kW인 냉동기의 방열기 온도가 20℃, 흡열기 온도가 -10℃이다. 이 냉동기를 운전하는데 필요한 압축기의 이론 동력(kW)은 얼마인가? 39 냉동기 팽창밸브 장치에서 교축과정을 일반적으로 어떤 과정이라고 하는가? (단, 이 때 일반적으로 운동에너지 차이를 무시한다.) 40 국소대기압력이 0.099MPa일 때 용기 내 기체의 게이지 압력이 1MPa이었다. 기체의 절대압력(MPa)은 얼마인가? 41 다음 중 유체의 중량(weight)당 가지는 에너지(energy)와 같은 차원을 갖는 것을 모두 고른 것은? (단, P는 압력, ρ는 밀도, v는 속도, z는 높이를 나타낸다.) 42 깊이가 10cm이고 지름이 6cm인 물 컵에 물이 바닥으로부터 일정 높이만큼 담겨있다. 이 컵을 회전반 위의 중심축에 올려놓고 서서히 각속도를 올리면서 회전한 결과 40rad/s의 각속도가 되었을 때 물이 막 넘치게 된다면 초기에 물은 바닥으로부터 몇 cm 높이까지 담겨 있었는가? 43 (x,y)평면에서 다음과 같은 속도 포텐셜 함수가 2차원 포텐셜 유동이 되려면 상수 A, B, C, D, E가 만족시켜야 하는 조건은? 44 점성계수가 0.01kg/mㆍs인 유체가 지면과 수평으로 놓인 평판 위를 흐른다. 평판 위의 속도분포가 u=2.5-10(0.5-y)2일 떄 평판면에서의 전단응력은 약 몇 Pa인가? (단, y[m]는 평판면에서 수직방향으로의 거리이고, u[m/s]는 평판과 평행한 방향의 속도이다.) 45 지름이 0.5m인 원형 교통표지판이 그림과 같이 1.5m 지지대에 부착되어 있다. 평균속력 20m/s의 강풍이 불 때, 교통표지판에 의해 발생하는 최대 모멘트는 약 몇 Nㆍm인가? (단, 원판의 항력계수는 1.17이고 공기의 밀도는 1.2kg/m3이다. 지지대에 의한 항력은 무시한다.) 46 어떤 2차원 유동장 내에서 속도 벡터는 다음과 같을 때 점 (1,1)을 지나는 유선의 방정식은? 47 공기의 유속을 측정하기 위하여 피토관을 사용했다. 피토관 내에 물을 담은 U자관 수주의 높이 차가 2.5cm라면 공기의 유속은 약 몇 m/s 인가? (단, 공기의 밀도는 1.25kg/m3이다.) 48 모세관을 이용한 점도계에서 원형관 내의 유동은 비압축성 뉴턴 유체의 층류유동으로 가정할 수 있다. 여기에 두 모세관이 있는데 큰 모세관 지름은 작은 모세관 지름의 2배이고 길이는 동일하다. 두 모세관의 입구측과 출구 측의 압력차가 동일할 때 큰 모세관에서의 유량은 작은 모세관 유량의 약 몇 배인가? (단, 두 모세관에서 흐르는 유체는 동일하다.)
49 폭 a, 높이 b인 직사각형 수문이 수직으로 물속에 서 있다. 수문의 도심이 수면에서 h의 깊이에 있을 때 힘의 작용점의 위치는 수면 아래 어디에 위치하겠는가? 50 밀도가 800kg/m3인 원통형 물체가 그림과 같이 1/3이 수면 위에 떠있는 것으로 관측되었다. 이 액체의 비중은 약 얼마인가? 51 물리량과 차원이 바르게 연결된 것은? (단, M:질량, L:길이, T:시간) 52 안지름이 100mm인 파이프에 비중 0.8인 기름이 평균속도 4m/s로 흐를 때 질량유량은 몇 kg/s인가? 53 어떤 잠수정이 시속 12km의 속도로 잠항하는 상태를 관찰하기 위하여 실물의 1/10 길이의 모형을 만들어 같은 바닷물을 넣은 탱크 안에서 실험하려고 한다. 모형의 속도는 몇 km/h로 움직여야 상사법칙이 성립하는가? 54 그림과 같은 U자관 액주계에서 두 지점의 압력차 Px-Py는? (단, γ1, γ2, γ3는 액체의 비중량이다.) 55 노즐에서 분사된 물이 고정된 평판에 수직으로 충돌하고 있다. 물제트의 지름은 20mm이고 유속이 30m/s일 때 평판이 물제트로부터 받는 힘은 약 몇 N인가? 56 평판 위를 지나는 경계층 유동에서 레이놀즈 수는? (단, v는 동점성계수, u∞는 자유흐름 속도, μ는 점성계수, x는 평판 선단으로부터의 거리, ρ는 밀도이다.) 57 다음 중 관성력과 중력의 상대적 크기에 의해 정해지는 무차원수는? 58 20℃의 물이 지면에 대해 30° 경사진 파이프의 A지점에서 파이프 방향으로 30m 떨어진 B지점으로 흘러내린다. 파이프 안지름은 200mm이며 A와 B 지점에서 압력이 같도록 유량을 조절할 대 A와 B 사이에서 발생하는 손실수두(m)는 약 얼마인가? 59 파이프 유동의 해석에 있어서 완전난류영역에서의 관마찰계수 f에 대한 설명으로 가장 옳은 것은? 60 물이 30m/s의 속도로 수직 방향 위로 분출되고 있다. 이 때 물의 최고 도달 높이는 약 몇 m 인가?
App Store Google Play
오늘학습 예시 이미지

시험에 합격하려면
복습을 제대로 해야 합니다.

오늘학습은 스스로 기억을 떠올리고 계획적으로 복습할 수 있도록 설계돼 있어요.
그것도, 가장 과학적인 방식으로요!

능동적 회상

능동적 회상
(Active Recall)

배운 내용을 단순 읽으며 반복하는 것이 아니라,
능동적으로 기억하고 있는지를
스스로 테스트하며
공부할 수 있는
학습 환경을 제공해 학습 효과를 높여요

간격 반복 학습

간격 반복 학습
(Spaced Repetition)

에빙하우스 망각곡선을 바탕으로
가장 최적의 시점에 복습을 제공하여
배운 내용이 잊히지 않도록 장기 기억화해요

Data 기반의
뇌과학적 복습 시스템

학습 결과 Data를 분석해, 문제별 최적화된
반복 학습량을
자동으로 분배해요.
학습에 소요되는 시간을 최소화하는
동시에
단기 기억을 장기 기억으로 전환해줘요.

36만 개 이상의
기출문제 무료 제공

공무원 및 약 300여종의 자격증 시험 기출문제
36만개
이상을 무료로 이용할 수 있어요.
여러 앱을 설치할 필요
없이, 오늘학습 하나로
모든 시험을 준비할 수 있어요.

다양한 문제 유형으로 만드는
나만의 단어장&문제집

기출 외에도 외워야 하는 내용은
객관식, 주관식, 카드, 빈칸
등 다양한 형식으로
직접 만들어 보세요. 내 학습 스타일에
맞게
나만의 단어장과 문제집을 만들 수 있어요.

시험별 체계적인
문제 관리

시험에 문제를 추가해 체계적으로
관리할 수 있어요.
주제나 단원별로
분류하고 싶다면,
시험에 챕터를 만들어
문제를 추가할 수도 있어요.

수십만 명이
오늘학습을 사랑합니다

앱 스토어 평점 4.9
구글 플레이 평점 4.8
누적 회원수 100,000+
지금 오늘학습을
시작해보세요
지금 시작하기
문제 선택