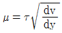
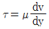
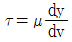
벽면에 평행한 방향의 속도(v) 성분만이 있는 유동장에서 전단응력을 τ, 점성계수를 μ, 벽면으로부터의 거리를 y로 표시하면 뉴턴의 점성법칙을 옳게 나타낸 식은?
지금 시작하기 →

・・・ 문제은행 건설기계설비기사(2018년 2회) 52번

건설기계설비기사 2018년 04월 52번

벽면에 평행한 방향의 속도(v) 성분만이 있는 유동장에서 전단응력을 τ, 점성계수를 μ, 벽면으로부터의 거리를 y로 표시하면 뉴턴의 점성법칙을 옳게 나타낸 식은?

1
2
3
4
단축키
이전 문제로 이동은 키를 누르고, 다음 문제로 이동은 키를 누르세요
이전 문제 , 다음 문제
문제(100)
1 원통형 압력용기에 내압 P가 작용할 때, 원통부에 발생하는 축 방향의 변형률 Єx 및 원주 방향 변형률 Єy는? (단, 강판의 두께 t는 원통의 지름 D에 비하여 충분히 작고, 강판 재료의 탄성계수 및 포아송 비는 각각 E, v이다.) 2 그림과 같이 A,B의 원형 단면봉은 길이가 같고, 지름이 다르며, 양단에서 같은 압축하중 P를 받고 있다. 응력은 각 단면에서 균일하게 분포된다고 할 때 저장되는 탄성변형 에너지의 비 UB/UA 는 얼마가 되겠는가? 3 최대 사용강도 400MPa의 연강봉에 30kN의 축방향의 인장하중이 가해질 경우 강봉의 최소지름은 몇 cm까지 가능한가? (단, 안전율은 5이다) 4 폭 3cm, 높이 4cm의 직사각형 단면을 갖는 외팔보가 자유단에 그림에서와 같이 집중하중을 받을 때 보 속에 발생하는 최대전단응력은 몇 N/cm2 인가? 5 보의 자중을 무시할 때 그림과 같이 자유단 C에 집중하중 2P가 작용할 때 B점에서 처짐 곡선의 기울기각은? (단, 세로탄성계수 E, 단면 2차모멘트를 I라고 한다.) 6 그림에서 784.8N과 평형을 유지하기 위한 힘 F1과 F2는? 7 원형 단면축이 비틀림을 받을 때, 그 속에 저장되는 탄성 변형에너지 U는 얼마인가? (단, T : 토크, L : 길이, G : 가로탄성계수, IP : 극관성모멘트, I : 관성모멘트, E : 세로탄성계수이다.) 8 지름이 60mm인 연강축이 있다. 이 축의 허용전단응력은 40MPa이며 단위 길이 1m당 허용 회전각도는 1.5°이다. 연강의 전단 탄성계수를 80GPa이라 할 때 이 축의 최대 허용 토크는 약 몇 Nㆍm 인가? 9 그림과 같이 길이가 동일한 2개의 기둥상단에 중심 압축 하중 2500N이 작용할 경우 전체 수축량은 약 몇 mm인가? (단, 단면적 A1=1000mm2, A2=2000mm2, 길이 L=300mm, 재료의 탄성계수 E=90GPa이다.) 10 길이 6m인 단순 지지보에 등분포하중 q가 작용할 때 단면에 발생하는 최대 굽힘응력이 337.5MPa이라면 등분포하중 q는 약 몇 kN/m 인가? (단, 보의 단면은 폭 × 높이=40mm × 100mm이다.) 11 지름이 0.1m이고 길이가 15m인 양단힌지인 원형강 장주의 좌굴임계하중은 약 몇 kN인가? (단, 장주의 탄성계수는 200GPa이다.) 12 지름 3cm인 강축이 26.5 rev/s의 각속도로 26.5kW의 동력을 전달하고 있다. 이 축에 발생하는 최대 전단응력은 약 몇 MPa 인가?
13 그림과 같은 외팔보에 대한 전단력 선도로 옳은 것은? (단, 아랫방향을 양(+)으로 본다.) 14 평면 응력 상태에서 Єx=-150×10-6, Єy=-280×10-6, γxy=850×10-6일 때, 최대주변형률(Є1)과 최소주변형률(Є2)은 각각 약 얼마인가? 15 지름 20mm, 길이 1000mm의 연강봉이 50kN의 인장하중을 받을 때 발생하는 신장량은 약 몇 mm인가? (단, 탄성계수 E=210GPa이다.) 16 그림의 H형 단면의 도심축인 Z축에 관한 회전반경(radius of gyration)은 얼마인가? 17 그림과 같이 전길이에 걸쳐 균일 분포하중 를 받는 보에서 최대처짐 δmax를 나타내는 식은? (단, 보의 굽힘 강성계수는 EI이다.) 18 그림에 표시한 단순 지지보에서의 최대 처짐량은? (단, 보의 굽힘 강성은 EI이고, 자중은 무시한다.) 19 다음과 같이 3개의 링크를 핀을 이용하여 연결하였다. 2000N의 하중 P가 작용할 경우 핀에 작용되는 전단응력은 약 몇 MPa인가? (단, 핀의 직경은 1cm이다.) 20 그림과 같은 보에서 발생하는 최대굽힘 모멘트는 몇 kN∙m인가? 21 매시간 20kg의 연료를 소비하여 74kW의 동력을 생산하는 가솔린 기관의 열효율은 약 몇 %인가? (단, 가솔린의 저위발열량은 43470 kJ/kg이다.) 22 유체의 교축과정에서 Joule-Thomson 계수(μJ)가 중요하게 고려되는데 이에 대한 설명으로 옳은 것은? 23 내부 에너지가 30kJ인 물체에 열을 가하여 내부 에너지가 50kJ이 되는 동안에 외부에 대하여 10kJ의 일을 하였다. 이 물체에 가해진 열량은? 24 1kg의 공기가 100℃를 유지하면서 가역등온 팽창하여 외부에 500kJ의 일을 하였다. 이 때 엔트로피의 변화량은 약 몇 kJ/K인가?
25 온도가 T1 인 고열원으로부터 온도가 T2인 저열원으로 열전도, 대류, 복사 등에 의해 Q만큼 열전달이 이루어졌을 때 전체 엔트로피 변화량을 나타내는 식은? 26 이상적인 카르노 사이클의 열기관이 500℃인 열원으로부터 500kJ을 받고, 25℃에 열을 방출한다. 이 사이클의 일(W)과 효율(ηth)은 얼마인가? 27 Brayton 사이클에서 압축기 소요일은 175kJ/kg, 공급열은 627kJ/kg, 터빈 발생일은 406kJ/kg로 작동될 때 열효율은 약 얼마인가? 28 어떤 카르노 열기관이 100℃와 30℃ 사이에서 작동되며 100℃의 고온에서 100kJ의 열을 받아 40kJ의 유용한 일을 한다면 이 열기관에 대하여 가장 옳게 설명한 것은? 29 다음의 열역학 상태량 중 종량적 상태량(extensive property)에 속하는 것은? 30 습증기 상태에서 엔탈피 h를 구하는 식은? (단, hf는 포화액의 엔탈피, hg는 포화증기의 엔탈피, x는 건도이다.) 31 증기 압축 냉동 사이클로 운전하는 냉동기에서 압축기 입구, 응축기 입구, 증발기 입구의 엔탈피가 각각 387.2kJ/kg, 435.1kJ/kg, 241.8kJ/kg일 경우 성능계수는 약 얼마인가? 32 이상기체에 대한 관계식 중 옳은 것은? (단, Cp, Cv는 정압 및 정적 비열, k는 비열비이고, R은 기체상수이다.) 33 그림과 같이 다수의 추를 올려놓은 피스톤이 장착된 실린더가 있는데, 실린더 내의 초기압력은 300kPa, 초기 체적은 0.05m3이다. 이 실린더에 열을 가하면서 적절히 추를 제거하여 폴리트로픽 지수가 1.3인 폴리트로픽 변화가 일어나도록 하여 최종적으로 실린더 내의 체적이 0.2m3이 되었다면 가스가 한 일은 약 몇 kJ인가? 34 피스톤-실린더 장치 내에 있는 공기가 0.3m3에서 0.1m3으로 압축되었다. 압축되는 동안 압력(P)과 체적(V)사이에 P=aV-2의 관계가 성립하며, 계수 a=6kPa∙m6이다. 이 과정 동안 공기가 한 일은 약 얼마인가? 35 천제연 폭포의 높이가 55m이고 주위와 열교환을 무시한다면 폭포수가 낙하한 후 수면에 도달할 때까지 온도상승은 약 몇 K인가? (단, 폭포수의 비열은 4.2kJ/(kg∙K)이다.) 36 온도 20℃에서 계기압력 0.183MPa의 타이어가 고속주행으로 온도 80℃로 상승할 때 압력은 주행 전과 비교하여 약 몇 kPa 상승하는가? (단, 타이어의 체적은 변하지 않고, 타이어 내의 공기는 이상기체로 가정한다. 그리고 대기압은 101.3kPa이다.)
37 랭킨 사이클의 열효율을 높이는 방법으로 틀린 것은? 38 마찰이 없는 실린더 내에 온도 500K, 비엔트로피 3kJ/(kg∙K)인 이상기체가 2kg 들어있다. 이 기체의 비엔트로피가 10kJ/(kg∙K)이 될 때까지 등온과정으로 가열한다면 가열량은 약 몇 kJ인가? 39 다음 중 이상적인 증기 터빈의 사이클인 랭킨 사이클을 옳게 나타낸 것은? 40 온도 150℃, 압력 0.5MPa의 공기 0.2kg이 압력이 일정한 과정에서 원래 체적의 2배로 늘어난다. 이 과정에서의 일은 약 몇 kJ인가? (단, 공기는 기체상수가 0.287kJ/(kg∙K)인 이 상기체로 가정한다.) 41 여객기가 888km/h로 비행하고 있다. 엔진의 노즐에서 연소가스를 375m/s로 분출하고, 엔진의 흡기량과 배출되는 연소가스의 양은 같다고 가정한다면 엔진의 추진력은 약 몇 N인가? (단, 엔진의 흡기량은 30kg/s이다.) 42 경계층의 박리(separation)현상이 일어나기 시작하는 위치는? 43 2차원 정상유동의 속도 방정식이 V=3(-xi+yj) 라고 할 때, 이 유동의 유선의 방정식은? (단, C는 상수를 의미한다.) 44 흐르는 물의 속도가 1.4m/s일 때 속도 수두는 약 몇 m인가? 45 수평으로 놓인 안지름 5cm인 곧은 원관속에서 점성계수 0.4Pa∙s의 유체가 흐르고 있다. 관의 길이 1m당 압력강하가 8kPa이고 흐름 상태가 층류일 때 관 중심부에서의 최대유속(m/s)은? 46 체적탄성계수가 2.086GPa인 기름의 체적을 1% 감소시키려면 가해야 할 압력은 몇 Pa인가? 47 그림과 같이 비중 0.8인 기름이 흐르고 있는 개수로에 단순 피토관을 설치하였다. Δh=20mm, h=30mm 일 때 속도 V는 약 몇 m/s인가? 48 지름 2cm의 노즐을 통하여 평균속도 0.5m/s로 자동차의 연료 탱크에 비중 0.9인 휘발유 20kg을 채우는데 걸리는 시간은 약 몇 s인가?
49 x, y 평면의 2차원 비압축성 유동장에서 유동함수(stream function) ψ는 ψ=3xy로 주어진다. 점(6,2)과 점(4,2)사이를 흐르는 유량은? 50 구형 물체 주위의 비압축성 점성 유체의 흐름에서 유속이 대단히 느릴 때(레이놀즈수가 1보다 작을 경우) 구형 물체에 작용하는 항력 Dr은? (단, 구의 지름은 d, 유체의 점성계수를 μ, 유체의 평균속도를 V라 한다.) 51 표면장력의 차원으로 맞는 것은? 52 벽면에 평행한 방향의 속도(v) 성분만이 있는 유동장에서 전단응력을 τ, 점성계수를 μ, 벽면으로부터의 거리를 y로 표시하면 뉴턴의 점성법칙을 옳게 나타낸 식은? 53 다음의 무차원수 중 개수로와 같은 자유표면 유동과 가장 밀접한 관련이 있는 것은? 54 그림과 같은 수문(폭×높이=3m×2m)이 있을 경우 수문에 작용하는 힘의 작용점은 수면에서 몇 m 깊이에 있는가? 55 원관 내의 완전발달 층류유동에서 유량에 대한 설명으로 옳은 것은? 56 그림과 같이 물이 고여 있는 큰 댐 아래에 터빈이 설치되어 있고, 터빈의 효율이 85%이다. 터빈 이외에서의 다른 모든 손실을 무시할 때 터빈의 출력은 몇 kW인가? (단, 터빈 출구관의 지름은 약 0.8m, 출구속도 V는 10m/s이고 출구압력은 대기압이다.) 57 개방된 탱크 내에 비중이 0.8인 오일이 가득 차 있다. 대기압이 101kPa라면, 오일 탱크 수면으로부터 3m 깊이에서 절대압력은 약 몇 kPa인가? 58 원통 속의 물이 중심축에 대하여  의 각속도로 강체와 같이 등속회전하고 있을 때 가장 압력이 높은 지점은? 59 길이 150m의 배가 10m/s의 속도로 항해하는 경우를 길이 4m의 모형배로 실험하고자 할 때 모형 배의 속도는 약 몇 m/s로 해야 하는가? 60 지름이 10mm의 매끄러운 관을 통해서 유량 0.02L/s의 물이 흐를 때 길이 10m에 대한 압력손실은 약 몇 Pa인가? (단, 물의 동점성계수는 1.4×10-6m2/s이다.)
61 펌프의 운전 중 관로에 장치된 밸브를 급폐쇄시키면 관로 내 압력이 변화(상승, 하강반복)되면서 충격파가 발생하는 현상을 무엇이라고 하는가? 62 다음 각 수차에 대한 설명 중 틀린 것은? 63 토마계수 σ를 사용하여 펌프의 캐비테이션이 발생하는 한계를 표시할 때, 캐비테이션이 발생하지 않는 영역을 바르게 표시한 것은? (단, H는 유효낙차, Ha는 대기압 수두, Hv는 포화증기압 수도, Hs는 흡출고를 나타낸다. 또한, 펌프가 흡출하는 수면은 펌프 아래에 있다.) 64 토크 컨버터에 대한 설명으로 틀린 것은? 65 터빈 펌프와 비교하여 벌류트 펌프가 일반적으로 가지는 특성에 대한 설명으로 옳지 않은 것은? 66 수차는 펌프와 마찬가지로 동일한 상사법칙이 성립하는데, 다음 중 유량(Q)과 관계된 상사법칙으로 옳은 것은? (단, D는 수차의 크기를 의미하며, N은 회전수를 나타낸다.) 67 펌프는 크게 터보형과 용적형, 특수형으로 구분하는데, 다음 중 터보형 펌프에 속하지 않은 것은? 68 유회전 진공펌프(Oil-sealed rotary vacuum pump)의 종류가 아닌 것은? 69 송풍기에서 발생하는 공기가 전압 400mmAq, 풍량 30m3/min이고, 송풍기의 전압효율이 70%라면 이 송풍기의 축동력은 약 몇 kW인가? 70 다음 중 캐비테이션 방지법에 대한 설명으로 틀린 것은? 71 유압 기본회로 중 미터인 회로에 대한 설명으로 옳은 것은? 72 유압모터의 종류가 아닌 것은?
85 다음 재료 중 일반 구조용 압연강재는? 86 셔블계 굴삭기를 이용한 굴착작업에서 아래와 같을 때, 이 굴삭기의 예상작업량(Q)는 약 몇 m3/hr 인가? (단, 버킷용량(q)=1m3 , 1회 사이클시간(Cm)=20s , 버킷개수(K)=0.7, 토량환산계수(f)=0.9, 작업효율(E)=0.8 이다.) 87 대규모 항로준설 등에 사용하는 것으로 선체에 펌프를 설치하고 항해하면서 동력에 의해 해저의 토사를 흡상하는 방식의 준설선은? 88 증기사용설비 중 응축수를 자동적으로 외부로 배출하는 장치로서 응축수에 의한 효율저하를 방지하기 위한 장치는? 89 콘크리트 말뚝을 박기 위한 천공작업에 사용되는 작업장치는? 90 도저의 트랙 슈(shoe)에 대한 설명으로 틀린 것은? 91 다음 중 사용압력에 따른 동관의 종류가 아닌 것은? 92 일반적으로 배관의 위치를 결정할 때 기능적인 면과 시공적 또는 유지관리의 관점에서 가장 적절하지 않은 것은? 93 호칭지름 40mm(바깥지름 48.6mm)의 관을 곡률반경(R) 120mm로 90° 열간 구부림 할때 중심부의 곡선길이(L)는 약 몇 mm인가? 94 유량조절이 용이하고 유체가 밸브의 아래로부터 유입하여 밸브 시트의 사이를 통해 흐르는 밸브는? 95 다음 중 냉∙난방배관 시험인 기밀시험에 사용하는 가스의 종류가 아닌 것은? 96 구상흑연 주철관이라고 하며, 땅속 또는 지상에 배관하여 압력 상태 또는 무압력 상태에서 물의 수송 등에 사용하는 주철관은?
App Store Google Play
오늘학습 예시 이미지

시험에 합격하려면
복습을 제대로 해야 합니다.

오늘학습은 스스로 기억을 떠올리고 계획적으로 복습할 수 있도록 설계돼 있어요.
그것도, 가장 과학적인 방식으로요!

능동적 회상

능동적 회상
(Active Recall)

배운 내용을 단순 읽으며 반복하는 것이 아니라,
능동적으로 기억하고 있는지를
스스로 테스트하며
공부할 수 있는
학습 환경을 제공해 학습 효과를 높여요

간격 반복 학습

간격 반복 학습
(Spaced Repetition)

에빙하우스 망각곡선을 바탕으로
가장 최적의 시점에 복습을 제공하여
배운 내용이 잊히지 않도록 장기 기억화해요

Data 기반의
뇌과학적 복습 시스템

학습 결과 Data를 분석해, 문제별 최적화된
반복 학습량을
자동으로 분배해요.
학습에 소요되는 시간을 최소화하는
동시에
단기 기억을 장기 기억으로 전환해줘요.

36만 개 이상의
기출문제 무료 제공

공무원 및 약 300여종의 자격증 시험 기출문제
36만개
이상을 무료로 이용할 수 있어요.
여러 앱을 설치할 필요
없이, 오늘학습 하나로
모든 시험을 준비할 수 있어요.

다양한 문제 유형으로 만드는
나만의 단어장&문제집

기출 외에도 외워야 하는 내용은
객관식, 주관식, 카드, 빈칸
등 다양한 형식으로
직접 만들어 보세요. 내 학습 스타일에
맞게
나만의 단어장과 문제집을 만들 수 있어요.

시험별 체계적인
문제 관리

시험에 문제를 추가해 체계적으로
관리할 수 있어요.
주제나 단원별로
분류하고 싶다면,
시험에 챕터를 만들어
문제를 추가할 수도 있어요.

수십만 명이
오늘학습을 사랑합니다

앱 스토어 평점 4.9
구글 플레이 평점 4.8
누적 회원수 100,000+
지금 오늘학습을
시작해보세요
지금 시작하기
문제 선택