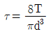
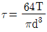
비틀림 모멘트 T를 받고 있는 직경이 d인 원형축의 최대전단응력은?
지금 시작하기 →

・・・ 문제은행 건설기계설비기사(2018년 1회) 5번

건설기계설비기사 2018년 03월 5번

비틀림 모멘트 T를 받고 있는 직경이 d인 원형축의 최대전단응력은?

1
2
3
4
단축키
이전 문제로 이동은 키를 누르고, 다음 문제로 이동은 키를 누르세요
이전 문제 , 다음 문제
문제(100)
1 그림과 같은 직사각형 단면의 목재 외팔보에 집중하중 P가 C점에 작용하고 있다. 목재의 허용압축응력을 8Mpa, 끝단 B점에서의 허용 처짐량을 23.9mm라고 할 때 허용압축응력과 허용 처짐량을 모두 고려하여 이 목재에 가할 수 있는 집중하중 P의 최대값은 약 몇 kN인가? (단, 목재의 탄성계수는 12GPa, 단면2차모멘트 1022 × 10-6m4, 단면계수는 4.601×10-3m3이다.) 2 최대 사용강도(σmax)=240MPa, 내경 1.5m, 두께 3mm의 강재 원통형 용기가 견딜 수 있는 최대 압력은 몇 kPa인가? (단 안전계수는 2이다.) 3 길이가 L+2a인 균일 단면 봉의 양단에 인장력P가 작용하고, 양 단에서의 거리가 a인 단면에 Q의 축 하중이 가하여 인장될 때 봉에 일어나는 변형량은 약 몇 cm인가? (단, L=60cm, a=30cm, P=10kN, Q=5kN, 단면적 A=4cm2, 탄성계수는 210GPa이다.) 4 그림과 같은 T형 단면을 갖는 돌출보의 끝에 집중하중 P=4.5kN이 작용한다. 단면A-A에서의 최대 전단응력은 약 몇 kPa인가? (단, 보의 단면2차 모멘트는 5313㎝4이고, 밑면에서 도심까지의 거리는 125mm이다.) 5 비틀림 모멘트 T를 받고 있는 직경이 d인 원형축의 최대전단응력은? 6 다음 정사각형 단면(40mm x 40mm)을 가진 외팔보가 있다. a-a면 에서의 수직응력(σn)과 전단을력(τs)은 각각 몇 kPa인가? 7 코일스프링의 권수를 n, 코일의 지름을 D, 소선의 지름 d인 코일스프링의 전체처짐 δ는? (단, 이 코일에 작용하는 힘은 P, 가로탄성계수는 G이다.)(오류 신고가 접수된 문제입니다. 반드시 정답과 해설을 확인하시기 바랍니다.) 8 그림과 같은 외팔보가 있다. 보의 굽힘에 대한 허용응력을 80MPa로 하고, 자유단 B로부터 보의 중앙점 C사이에 등분보하중 w를 작용시킬 때, w의 허용 최대값은 몇 kN/m인가? (단, 외팔보의 폭 × 높이는 5cm × 9cm이다.) 9 그림과 같이 초기온도 20℃, 초기길이 19.95cm, 지름 5cm인 봉을 간격이 20cm인 두벽면사이에 넣고 봉의 온도를 220℃로 가열했을 때 봉에 발생되는 응력은 몇 MPa인가? (단, 탄성계수 E=210GPa이고, 균일 단면을 갖는 봉의 선팽창계수 α =1.2 ×10-5℃이다.) 10 다음 금속재료의 거동에 대한 일반적인 설명으로 틀린 것은? 11 그림과 같은 정삼각형 트러스의 B점에 수직으로, C점에 수평으로 하중이 작용하고 있을 때, 부재 AB에 작용하는 하중은? 12 직사각형 단면(폭×높이=12cm×5cm)이고, 길이 1m인 외팔보가 있다. 이 보의 허용 굽힘응력이 500MPa이라면 높이와 폭의 치수를 서로 바꾸면 받을수 있는 하중의 크기는 어떻게 변화하는가?
13 다음 보의 자유단 A지점에서 발생하는 처짐은 얼마인가? (단, EI는 굽힘강성이다.) 14 지름 80mm의 원형단면의 중립축에 대한 관성모멘트는 약 몇 ㎜4인가? 15 σx =700MPa, σy =-300MPa 가 작용하는 평면응력 상태에서 최대 수직응력(σmax)과 최대 전단응력(τmax)은 각각 몇 MPa인가? 16 다음 그림과 같이 집중하중 P를 받고 있는 고정 지지보가 있다. B점에서의 반력의 크기를 구하면 몇 kN인가? 17 양단이 힌지로 지지되어 있고 길이가 1m인 기둥이 있다. 단면이 30mm × 30mm인 정사각형이라면 임계하중은 약 몇 kN인가? (단, 탄성계수는 210GPa이고, Euler의 공식을 적용한다.) 18 아래 그림과 같은 보에 대한 굽힘 모멘트 선도로 옳은 것은? 19 지름 50mm의 알루미늄 봉에 100kN의 인장하중이 작용할 때 300mm의 표점거리에서 0.219mm의 신장이 측정되고, 지름은 0.01215mm만큼 감소되었다. 이 재료의 전단 탄성계수 G는 약 몇 GPa인가? (단, 알루미늄 재료는 탄성거동 범위 내에 있다.) 20 길이가 L이며, 관성 모멘트가 Ip이고, 전단탄성계수가 G인 부재에 토크 T가 작용될 때 이 부재에 저장된 변형 에너지는? 21 이상적인 복합 사이클 (사바테 사이클)에서 압축비는16, 최고압력비(압력상승비)는 2.3, 체절비는 1.6이고, 공기의 비열비는 1.4일 때 이 사이클의 효율은 약 몇%인가? 22 열역학적 변화와 관련하여 다음 설명 중 옳지 않은 것은? 23 랭킨 사이클에서 25℃, 0.01MPa 압력의 물 1kg을 5MPa 압력의 보일러로 공급한다. 이 때 펌프가 가역단열과정으로 작용한다고 가정할 경우 펌프가 한 일은 약 몇 kJ인가? (단, 물의 비체적은 0.001m3/kg이다.) 24 온도가 각기 다른 액체 A(50℃), B(25℃), C(10℃)가 있다. A와 B를 동일질량으로 혼합하면 40℃로 되고, A와 C를 동일질량으로 혼합하면 30℃로 된다. B와 C를 동일 질량으로 혼합할 때는 몇 ℃로 되겠는가?
25 이상기체 공기가 안지름 0.1m인 관을 통하여 0.2m/s로 흐르고 있다. 공기의 온도는 20℃, 압력은 100kPa, 기체상수는 0.287kJ/(kg∙K)라면 질량유량은 약 몇 kg/s인가? 26 어떤 기체가 5kJ의 열을 받고 0.18kN·m의 일을 외부로 하였다. 이때의 내부에너지의 변화량은? 27 이상기체가 정압과정으로 dT만큼 온도가 변하였을 때 1kg당 변화된 열량 Q는? (단, Cv는 정적비열, Cp는 정압비열, k는 비열비를 나타낸다.)(오류 신고가 접수된 문제입니다. 반드시 정답과 해설을 확인하시기 바랍니다.) 28 이상적인 오토사이클에서 단열압축되기 전 공기가 101.3kPa, 21℃이며, 압축비 7로 운전할 때 이 사이클의 효율은 약 몇 %인가? (단 공기의 비열비는 1.4이다.) 29 단위질량의 이상기체가 정적과정 하에서 온도가 T1에서 T2로 변하였고, 압력도 P1에서 P2로 변하였다면, 엔트로피 변화량ΔS는? (단, Cv와 Cp는 각각 정적비열과 정압비열이다.) 30 520K의 고온 열원으로부터 18.4kJ 열량을 받고 273K의 저온 열원에 13kJ의 열량 방출하는 열기관에 대하여 옳은 설명은? 31 다음 4가지 경우에 ( ) 안의 물질이 보유한 엔트로피가 증가한 경우는? 32 다음 중 강성적(강도성, intensive) 상태량이 아닌 것은? 33 그림과 같이 온도(T)-엔트로피(S)로 표시된 이상적인 랭킨사이클에서 각 상태의 엔탈피(h)가 다음과 같다면, 이 사이클의 효율은 약 몇 %인다? (단, h1=30kJ/kg, h2=31kJ/kg, h3=274kJ/kg, h4=668kJ/kg, h5=764kJ/kg, h6=478kJ/kg) 34 공기압축기에서 입구 공기의 온도와 압력은 각각 27℃, 100kPa이고, 체적유량은 0.01이다. 추구에서 압력이 400kPa이고, 이 압축기의 등엔트로피 효율이 0.8일 때, 압축기의 소요 동력은 약 몇 kW인가? (단, 공기의 정압비열과 기체상수는 각각 1kJ/(kg·k), 0.287kJ/(kg·k)이고, 비열비는 1.4이다.) 35 엔트로피(s) 변화 등과 같은 직접 측정할 수 없는 양들을 압력(P), 비체적(v), 온도(T)와 같은 측정 가능한 상태량으로 나타내는 Maxwell 관계식과 관련하여 다음 중 틀린 것은? 36 저온실로부터 46.4kW의 열을 흡수할 때 10kW의 동력을 필요로 하는 냉동기가 있다면, 이 냉동기의 성능계수는?
37 대기압이 100kPa 일 때, 계기 압력이 5.23MPa인 증기의 절대 압력은 약 몇 MPa인가? 38 증기터빈 발전소에서 터빈 입구의 증기 엔탈피는 출구의 엔탈피보다 136kJ/kg 높고, 터빈에서의 열손실은 10kJ/kg이다. 증기속도는 터빈 입구에서 10m/s, 출구에서의 110m/s 일 때 이 터빈에서 발생시킬 수 있는 일은 약 몇 kJ/kg인가? 39 압력 2MPa, 온도 300℃의 수증기가 20m/s속도로 증기터빈으로 들어간다. 터빈 출구에서 수증기 압력이 100kPa, 속도는 100m/s이다. 가역단열과정으로 가정 시, 터빈을 통과 하는 수증기 1kg 당 출력일은 약 몇 kJ/kg인가? (단, 수증기표로부터 2MPa, 300℃에서 비엔탈피틑 3023.5kJ/kg, 비엔트로피는 6.7663kJ/(kg·K)이고, 출구에서의 비엔탈피 및 비엔트로피는 아래 표와 같다.) 40 초기 압력 100kPa, 초기 체적 0.1m3인 기체를 버너로 가열하여 기체 체적이 정압과정으로 0.5m3이 되었다면 이 과정 동안 시스템이 외부에 한 일은 약 몇 kJ인가? 41 유체(비중량 10N/m3)가 중량유량 6.28N/s 지름 40cm인 관을 흐르고 있다. 이 관내부의 평균 유속은 약 몇 m/s인가? 42 어느 물리법칙이 F(a, V, v, L)=0과 같은 식으로 주어졌다. 이 식을 무차원수의 함수로 표시하고자 할 때 이에 관계되는 무차원수는 몇 개인가? (단, a, V, v, L은 각각 가속도, 속도, 동점성계수, 길이이다.) 43 다음과 같이 유체의 정의를 설명할 때 괄호 속에 가장 알맞은 용어는 무엇인가? 44 안지름이 20cm, 높이가 60cm인 수직 원통형 용기에 밀도 850kg/m3 액체가 밑면으로부터 50cm 높이만큼 채워져 있다. 원통형 용기와 액체가 일정한 각속도로 회전할 때, 액체가 넘치기 시작하는 각속도는 약 몇 rpm인가? 45 1/20로 축소한 모형 수력 발전 땜과, 역학적으로 상사한 실제 수력 발전 댐이 생성할 수 있는 동력비(모형 : 실제)는 약 얼마인가? 46 그림에서 압력차가(Px-Py)는 약 몇 kPa인가? 47 수평면과 60℃ 기울어진 벽에 지름이 4m인 원형창이 있다. 창의 중심으로부터 5m 높이에 물이 차있을 때 창에 작용하는 합력의 작용점과 원형창의 중심(도심)과의 거리(C)는 양 몇 m인가? (단, 원의 2차 면적 모멘트는 πR4/4이고, 여기서 R은 원의 반지름 이다.) 48 지름 0.1mm, 비중 2.3인 작은 모래알이 호스 바닥으로 가라앉을 때, 잔잔한 물속에서 가라앉는 속도는 약 몇 ㎜/s인가? (단, 물의 점성계수는 1.12×10-3N·s/m2이다.)
49 지름 20cm, 속도 1m/s인 물 제트가 그림과 같이 넓은 평판에 60° 경사하여 충돌한다. 분류가 평판에 작용하는 수직방향 힘 FN은 약 몇 N인가? (단, 중력에 대한 영향은 고려하지 않는다.) 50 공기로 채워진 0.189m3의 오일 드럼통을 사용하여 잠수부가 해저 바닥으로부터 오래된 배의 닻을 끌어올리려고 한다. 바닷물 속에서 닻을 들어 올리는데 필요한 힘은 1780N이고, 공기 중에서 드럼통을 들어 올리는데 필요한 힘은 222N이다. 공기로 채워진 드럼통을 닻에 연결한 후 잠수부가 이 닻을 끌어올리는 데 필요한 최소 힘은 약 몇 N인가? (단, 바닷물의 비중은 1.025이다.) 51 평균 반지름이 R인 얇은 막 형태의 작은 비눗방울의 내부 압력을 P1, 외부 압력을 P0라고 할 경우, 표면 장력(σ)에 의한 압력차(|Pi-Po|)는? 52 (x, y)좌표계의 비회전 2차원 유동장에서 속도 포텐셜(potential) ø는 ø=2x2y로 주어졌다. 이때 점(3,2)인 곳에서 속도 백터는? (단, 속도포텐셜 ø는 ≡ ∇ø=gradø로 정의된다.) 53 연직하방으로 내려가는 물제트에서 높이 10m인 곳에서 속도는 20m/s였다. 높이 5m인 곳에서의 물의 속도는 약 몇 m/s인가? 54 안지름 100mm인 파이프 안에 2.3m3/min의 유량으로 물이 흐르고 있다. 관 길이가 15m라고 할 때 이 사이에서 나타나는 손실수두는 약 몇 m인가? (단, 관마찰계수는 0.01로 한다.) 55 원관 내부의 흐름이 층류 정상 유동일 때 유체의 전단응력 분포에 대한 설명으로 알맞은 것은? 56 비압축성 유체의 2차원 유동 속도성분이 u=x2, v=x2-2xyt이다. 시간(t)이 2일 때, (x,y)=(2,-1)에서 x방향 가속도(ax)는 약 얼마인가? (단, u,v는 각각 x,y방향 속도성분이고, 단위는 모두 표준단위이다.) 57 유체 계측과 관련하여 크게 유체의 국소속도를 측정하는 것과 체적유량을 측정하는 것으로 구분할 때 다음 중 유체의 국소속도를 측정하는 계측기는? 58 반지름 R인 파이프 내에 점도 μ인 유체가 완전발달 층류유동으로 흐르고 있다. 길이 L을 흐르는데 압력 손실이 Δp만큼 발생했을 때, 파이프 벽면에서의 평균전단응력은 얼마인가? 59 경계층(boundary layer)에 관한 설명 중 트린 것은? 60 수력기울기선(Hydraulic Grade Line; HGL)이 관보다 아래에 있는 곳에서의 압력은?
App Store Google Play
오늘학습 예시 이미지

시험에 합격하려면
복습을 제대로 해야 합니다.

오늘학습은 스스로 기억을 떠올리고 계획적으로 복습할 수 있도록 설계돼 있어요.
그것도, 가장 과학적인 방식으로요!

능동적 회상

능동적 회상
(Active Recall)

배운 내용을 단순 읽으며 반복하는 것이 아니라,
능동적으로 기억하고 있는지를
스스로 테스트하며
공부할 수 있는
학습 환경을 제공해 학습 효과를 높여요

간격 반복 학습

간격 반복 학습
(Spaced Repetition)

에빙하우스 망각곡선을 바탕으로
가장 최적의 시점에 복습을 제공하여
배운 내용이 잊히지 않도록 장기 기억화해요

Data 기반의
뇌과학적 복습 시스템

학습 결과 Data를 분석해, 문제별 최적화된
반복 학습량을
자동으로 분배해요.
학습에 소요되는 시간을 최소화하는
동시에
단기 기억을 장기 기억으로 전환해줘요.

36만 개 이상의
기출문제 무료 제공

공무원 및 약 300여종의 자격증 시험 기출문제
36만개
이상을 무료로 이용할 수 있어요.
여러 앱을 설치할 필요
없이, 오늘학습 하나로
모든 시험을 준비할 수 있어요.

다양한 문제 유형으로 만드는
나만의 단어장&문제집

기출 외에도 외워야 하는 내용은
객관식, 주관식, 카드, 빈칸
등 다양한 형식으로
직접 만들어 보세요. 내 학습 스타일에
맞게
나만의 단어장과 문제집을 만들 수 있어요.

시험별 체계적인
문제 관리

시험에 문제를 추가해 체계적으로
관리할 수 있어요.
주제나 단원별로
분류하고 싶다면,
시험에 챕터를 만들어
문제를 추가할 수도 있어요.

수십만 명이
오늘학습을 사랑합니다

앱 스토어 평점 4.9
구글 플레이 평점 4.8
누적 회원수 100,000+
지금 오늘학습을
시작해보세요
지금 시작하기
문제 선택