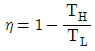
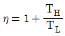
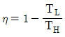
이론적인 카르노 열기관의 효율(η)을 구하는 식으로 옳은 것은? (단, 고열원의 절대온도는 TH, 열원의 절대온도는 TL이다.)
지금 시작하기 →

・・・ 문제은행 건설기계설비기사(2017년 2회) 36번

건설기계설비기사 2017년 08월 36번

이론적인 카르노 열기관의 효율(η)을 구하는 식으로 옳은 것은? (단, 고열원의 절대온도는 TH, 열원의 절대온도는 TL이다.)

1
2
3
4
단축키
이전 문제로 이동은 키를 누르고, 다음 문제로 이동은 키를 누르세요
이전 문제 , 다음 문제
문제(100)
1 그림과 같은 구조물에 C점과 D점에 각각 20kN, 40kN의 하중이 아랫방향으로 작용할 때 상g단의 반력 Ra는 약 몇 kN인가? 2 철도용 레일의 양단을 고정한 후 온도가 20℃에서 5℃로 내려가면 발생하는 열응력은 약 몇 MPa인가? (단, 레일재료의 열팽창계수 α=0.000012/℃이고, 균일한 온도 변화를 가지며, 탄성계수 E=210GPa이다.) 3 그림과 같은 평면응력상태에서 σx=300MPa, σy=200MPa이 작용하고 있을 때 재료 내에 생기는 최대전단응력(τmax)의 크기와 그 방향(θ)은? 4 안지름이 25mm, 바깥지름이 30mm인 중공 강철관에 10kN의 축인장 하중을 가할 때 인장응력은 몇 MPa인가? 5 그림과 같이 반지름이 5cm인 원형 단면을 갖는 ㄱ자 프레임의 A점 단면의 수직응력(σ)은 약 몇 MPa인가? 6 비중량 γ=7.85×104N/m3인 강선을 연직으로 매달려고 할 때 자중에 의해서 견딜 수 있는 최대길이는 약 몇 m인가? (단, 강선의 허용인장응력은 12MPa이다.) 7 그림과 같이 일단고정 타단자유단인 기둥의 좌굴에 대한 임계하중(buckling load)은 약 몇 kN인가? (단, 기둥의 세로탄성계수는 300GPa이고 단면(폭×높이)은 2cm×2cm의 정사각형이다. 오일러의 좌굴하중을 적용한다.) 8 지름 50mm의 속이 찬 환봉축이 1228N·m의 비틀림 모멘트를 받을 때 이 축에 생기는 최대비틀림 응력은 약 몇 MPa인가? 9 그림과 같이 재료와 단면이 같고 길이가 서로 다른 강봉에 지지되어 있는 강체 보에 하중을 가했을 때 A, B에서의 변위의 비 δA/δB는? 10 그림과 같은 외팔보에서 허용굽힘응력은 50kN/cm2이라 할 때, 최대 하중 P는 약 몇 kN인가? (단, 보의 단면은 10cm×10cm이다.) 11 그림과 같은 외팔보의 C점에 100kN의 하중이 걸릴 때 B점의 처짐량은 약 몇 cm인가? (단, 이 보의 굽힘강성(EI)는 10kN·m2이다.) 12 그림과 같이 선형적으로 증가하는 불균일 분포 하중을 받고 있는 단순보의 전단력선도로 적합한 것은?
13 축에 발생하는 전단응력은 τ, 축에 가해진 비틀림 모멘트는 T라 할 때 축 지름 d를 나타내는 식은? 14 단면계수가 0.01m3인 사각형 단면의 양단 고정보가 2m의 길이를 가지고 있다. 중앙에 최대 몇 kN의 집중하중을 가할 수 있는가? (단, 재료의 허용굽힘응력은 80MPa이다.) 15 단면 지름이 3cm인 환봉이 25kN의 전단하중을 받아서 0.00075rad의 전단변형률을 발생시켰다. 이때 재료의 세로탄성계수는 약 몇 GPa인가? (단, 이 재료의 포아송 비는 0.3이다.) 16 지름 2cm, 길이 50cm인 원형단면의 외팔보 자유단에 수직하중 P=1.5kN이 작용할때, 하중 P로 인해 생기는 보속의 최대전단응력은 약 몇 MPa인가? 17 다음 그림과 같이 2가지 재료로 이루어진 길이 L의 환봉이 있다. 이 봉에 비틀림 모멘트 T가 작용할 때 이 환봉은 몇 rad로 비틀림이 발생하는가? (단, 재질 a의 가로탄성계수는 Ga, 재질 a의 극관성모멘트는 Ipa이고, 재질 b의 가로탄성계수는 Gb, 재질 b의 극관성모멘트는 Ipb이다.) 18 다음 부정정보에서 B점에서의 반력은? (단, 보의 굽힘강성 EI는 일정하다.) 19 길이 l의 외팔보의 전 길이에 걸쳐서 w의 등분포 하중이 작용할 때 최대 굽힘모멘트(Mmax)의 값은? 20 폭과 높이가 80mm인 정사각형 단면의 회전 반지름(radius of gyration)은 약 몇 m인가? 21 다음 중 이론적인 카르노 사이클 과정(순서)을 옳게 나타낸 것은? (단, 모든 사이클은 가역 사이클이다.) 22 랭킨 사이클로 작동되는 증기동력 발전소에서 20MPa, 45℃의 물이 보일러에 공급되고, 응축기 출구에서의 온도는 20℃, 압력은 2.339kPa이다. 이 때 급수펌프에서 수행하는 단위 질량당 일은 약 몇 kJ/kg인가? (단, 20℃에서 포화액 비체적은 0.001002m3/kg, 포화증기 비체적은 57.79m3/kg이며, 급수펌프에서는 등엔트로피 과정으로 변화한다고 가정한다.) 23 1kg의 기체로 구성되는 밀폐계가 50kJ의 열을 받아 15kJ의 일을 했을 때 내부에너지 변화량은 얼마인가? (단, 운동에너지의 변화량은 무시한다.) 24 초기에 온도 T, 압력 P 상태의 기체(질량 m)가 들어있는 견고한 용기에 같은 기체를 추가로 주입하여 최종적으로 질량 3m, 온도 2T 상태가 되었다. 이 때 최종 상태에서의 압력은? (단, 기체는 이상기체이고, 온도는 절대온도를 나타낸다.)
25 다음 중 강도성 상태량(intensive property)에 속하는 것은? 26 그림과 같이 A, B 두 종류의 기체가 한 용기 안에서 박막으로 분리되어 있다. A의 체적은 0.1m3, 질량 2kg이고, B의 체적은 0.4m3, 밀도는 1kg/m3이다. 박막이 파열되고 난 후에 평형에 도달하였을 때 기체 혼합물의 밀도는 약 몇 kg/m3인가? 27 체적이 0.1m3인 용기 안에 압력 1MPa, 온도 250℃의 공기가 들어있다. 정적과정을 거쳐 압력이 0.35MPa로 될 때 이 용기에서 일어난 열전달 과정으로 옳은 것은? (단, 공기의 기체상수는 0.287kJ/(kg·K), 정압비열은 1.0035kJ/(kg·K), 정적비열은 0.7165kJ/(kg·K)이다.) 28 출력 15kW의 디젤기관에서 마찰 손실이 그 출력의 15%일 때 그 마찰 손실에 의해서 시간당 발생하는 열량은 약 몇 kJ인가? 29 다음 중 냉매의 구부조건으로 틀린 것은? 30 가스터빈으로 구동되는 동력 발전소의 출력이 10MW이고 열효율이 25%라고 한다. 연료의 발열량이 45000kJ/kg이라면 시간당 공급해야 할 연료량은 약 몇 kg/h인가? 31 어느 발명가가 바닷물로부터 매시간 1800kJ의 열량을 공급받아 0.5kW 출력의 열기관을 만들었다고 주장한다면, 이 사실은 열역학 제 몇 법칙에 위반 되겠는가? 32 체적이 0.5m3, 온도가 80℃인 밀폐 압력용기 속에 이상기체가 들어 있다. 이 기체의 분자량이 24이고, 질량이 10kg이라면 용기속의 압력은 약 몇 kPa인가? 33 3kg의 공기가 들어있는 실린더가 있다. 이 공기가 200kPa, 10℃인 상태에서 600kPa이 될 때까지 압축할 때 공기가 한 일은 약 몇 kJ인가? (단, 이 과정은 폴리트로프 변화로서 폴리트로프 지수는 1.3이다. 또한 공기의 기체상수는 0.287kJ/(kg·K)이다.) 34 1kg의 이상기체가 압력 100kPa, 온도 20℃의 상태에서 압력 200kPa, 온도 100℃의 상태로 변화하였다면 체적은 어떻게 되는가? (단, 변화전 체적을 V라고 한다.) 35 어떤 냉장고의 소비전력이 2kW이고, 이 냉장고의 응축기에서 방열되는 열량이 5kW라면, 냉장고의 성적계수는 얼마인가? (단, 이론적인 증기압축 냉동사이클로 운전된다고 가정한다.) 36 이론적인 카르노 열기관의 효율(η)을 구하는 식으로 옳은 것은? (단, 고열원의 절대온도는 TH, 열원의 절대온도는 TL이다.)
37 그림과 같이 다수의 추를 올려놓은 피스톤이 설치된 실린더 안에 가스가 들어 있다. 이 때 가스의 최초압력이 300kPa이고, 초기 체적은 0.05m3이다. 여기에 열을 가하여 피스톤을 상승시킴과 동시에 피스톤 추를 덜어내어 가스온도를 일정하게 유지하여 실린더 내부의 체적을 증가시킬 경우 이 과정에서 가스가 한 일은 약 몇 kJ인가? (단, 이상기체 모델로 간주하고, 상승 후의 체적은 0.2m3이다.) 38 어떤 물질 1kg이 20℃에서 30℃로 되기 위해 필요한 열량은 약 몇 kJ 인가? (단, 비열(C, kJ/(kg·K))은 온도에 대한 함수로서 C=3.594+0.0372T이며, 여기서 온도(T)의 단위는 K이다.) 39 물 2L를 1kW의 전열기를 사용하여 20℃로부터 100℃까지 가열하는데 소용되는 시간은 약 몇 분(min)인가? (단, 전열기 열량의 50%가 물을 가열하는데 유효하게 사용되고, 물은 증발하지 않는 것으로 가정한다. 물의 비열은 4.18kJ/(kg·K)이다.) 40 오토사이클(Otto cycle) 기관에서 헬륨(비열비=1.66)을 사용하는 경우의 효율(ηHe)과 공기(비열비=1.4)를 사용하는 경우의 효율(ηair)을 비교하고자 한다. 이 때 ηHe/ηair값은? (단, 오토 사이클의 압축비는 10이다.) 41 공기 중에서 무게가 900N인 돌이 물에 완전히 잠겨 있다. 물속에서의 무게가 400N이라면, 이 돌의 체적(V)과 비중(SG)은 약 얼마인가? 42 다음 중 밀도가 가장 큰 액체는? 43 비행기 이착륙 시 플랩(flap)을 주날개에서 내려 날개의 넓이를 늘리는 이유(목적)로 가장 옳게 설명한 것은? 44 안지름 1cm의 원관 내를 유동하는 0℃의 물의 층류 임계 레이놀즈 수가 2100일 때 임 계속도는 약 몇 cm/s인가? (단, 0℃ 물의 동점성계수는 0.01787cm2/s이다.) 45 바다 속에서 속도 9km/h로 운항하는 잠수함이 지름 280mm인 구형의 음파탐지기를 끌면서 움직일 때 음파탐지기에 작용하는 항력을 풍동실험을 통해 예측하려고 한다. 풍동실험에서 Reynolds 수는 얼마로 맞추어야 하는가? (단, 바닷물의 평균 밀도는 1025kg/m3이며, 동점성계수는 1.4×10-6m2/s이다.) 46 반지름 R인 하수도관의 절반이 비중량(specific weight) γ인 물로 채워져 있을 때 하수도관의 1m 길이 당 받는 수직력의 크기는? (단, 하수도관은 수평으로 놓여있다.) 47 수평 원관 속을 유체가 층류(laminar flow)로 흐르고 있을 때 유량에 대한 설명으로 옳은 것은? 48 어떤 오일의 점성계수가 0.3kg/(m·s)이고 비중이 0.3이라면 동점성계수는 약 몇 m2/s인가?
49 비압축성, 비점성 유체가 그림과 같이 반지름 a인 구(sphere) 주위를 일정하게 흐른다. 유동해석에 의해 유선 A-B상에서의 유체속도(V)가 다음과 같이 주어질 때 유체입자가 이유선 A-B를 따라 흐를 때의 x방향 가속도(ax)를 구하면? (단, V0는 구로부터 먼 상류의 속도이다.) 50 다음 경계층에 관한 설명으로 옳지 않은 것은? 51 피토관으로 가스의 유속을 측정하였는데 정체압과 정압의 차이가 100Pa이었다. 가스의 밀도가 1kg/m3이라면 가스의 속도는 약 몇 m/s인가? 52 지름이 5cm인 원형관에 비중이 0.7인 오일이 3m/s의 속도로 흐를 때, 체적유량(Q)과 질량유량(m)은 각각 얼마인가? 53 그림과 같은 밀폐된 탱크 용기에 압축공기와 물이 담겨있다. 비중 13.6인 수은을 사용한 마노미터가 대기 중에 노출되어 있으며 대기압이 100kPa이고, 압축공기의 절대압력이 114kPa 이라면 수은의 높이 h는 약 몇 cm인가? 54 밀도 890kg/m3, 점성계수 2.3kg/(m·s)인 오일이 지름 40cm, 길이 100m인 수평 원관내를 평균속도 0.5m/s로 흐른다. 입구의 영향을 무시하고 압력강하를 이길 수 있는 펌프 소요동력은 약 몇 kW인가? 55 다음 중 수력 기울기선(Hydraulic Grade Line)이란? 56 항구의 모형을 400:1로 축소 제작하려고 한다. 조수 간만의 주기가 12시간이면 모형항구의 조수 간만의 주기는 몇 시간이 되어야 하는가? 57 그림과 같이 속도 V인 유체가 곡면에 부딪혀 θ에 각도로 유동방향이 바뀌어 같은 속도로 분출된다. 이때 유체가 곡면에 가하는 힘의 크기를 θ에 대함 함수로 옳게 나타낸 것은? (단, 유동단면적은 일정하고, θ 의 각도는 0°≤θ≤180°이내에 있다고 가정한다. 또한 Q는 유량, ρ는 유체밀도이다.) 58 그림과 같이 직각으로 된 유리관을 수면으로부터 3cm 아래에 놓았을 때 수면으로부터 올라온 물의 높이가 10cm이다. 이곳에서 흐르는 물의 평균 속도는 약 몇 m/s인가? 59 원통 좌표계(r, θ, z)에서 무차원 속도 포텐셜이 ø=2r일 때, r=2에서의 반지름 방향(r방향) 속도 성분의 크기는? 60 다음 중 이상기체에 대한 음속(acoustic velocity)의 식으로 거리가 먼 것은? (단, ρ는 밀도, P는 력, k는 비열비, R은 기체상수, T는 절대온도, s는 엔트로피이다.)
61 펌프에서 캐비테이션을 방지하기 위한 방법으로 거리가 먼 것은? 62 유체 커플링에 대한 일반적인 설명 중 옳지 않은 것은? 63 다음 중 왕복 펌프의 양수량 Q[m3/min]를 구하는 식으로 옳은 것은? (단, 실린더 지름을 D[m], 행정을 L[m], 크랭크 회전수를 n[rpm], 체적효율을 ηv, 크랭크 각속도를 ω[s-1]라 한다.) 64 용적형과 비교해서 터보형 압축기의 일반적인 특징으로 거리가 먼 것은? 65 프란시스 수차의 형식 중 그림과 같은 구조를 가진 형식은? 66 다음 중 펌프의 비속도(specific speed)를 나타낸 것은? (단, Q는 유량, H는 양정, N는 회전수이다.) 67 유효낙차 40m, 유량 50m3/s 하천을 이용하여 정미 출력 1.5×104kW를 발생하는 수차의 효율은 약 몇 %인가? 68 반동수차의 회전차에서 나온 물의 속도 수두와 방수면 사이의 낙차를 유효하게 이용하기 위하여 설치하는 것은? 69 다음 중 진공펌프의 종류가 아닌 것은? 70 유체기계의 에너지 교환 방식은 크게 유체로부터 에너지를 받아 동력을 생산하는 방식과 외부로부터 에너지를 받아서 유체를 운송하거나 압력을 발생하는 등의 방식으로 나눌 수 있다. 다음 유체기계 중 에너지 교환 방식이 나머지 셋과 다른 하나는? 71 다음 중 실린더에 배압이 걸리므로 끌어당기는 힘이 작용해도 자주할 염려가 없어서 밀링이나 보링머신 등에 사용하는 회로는? 72 피스톤 면적비를 이용하여 큰 압력을 얻을 수 있는 유압기기의 특성은 다음 중 어떠한 원리와 관계가 있는가?
73 실린더 입구 분기 회로에 유량 제어 밸브를 설치하여 실린더 입구측의 불필요한 압유를 배출시켜 작동효율을 증진시키는 회로는? 74 다음 중 유압기기에서 유량제어 밸브에 속하는 것은? 75 유압장치에서 펌프의 무부하 운전 시 특징으로 옳지 않은 것은? 76 유압회로에서 정규 조작방법에 우선하여 조작할 수 있는 대체 조작수단으로 정의되는 에너지 제어·조작방식 일반에 관한 용어는? 77 유압모터 한 회전당 배출유량이 50cc인 베인 모터가 있다. 이 모터에 압력 7MPa의 압유를 공급할 때 발생되는 최대 토크는 몇 N·m인가? 78 실린더를 임의의 위치에서 고정시킬 수 있고, 펌프를 무부하 운전시킬 수 있는 탠덤 센터형 방향전환 밸브는? 79 작동유가 가지고 있는 에너지를 잠시 저축 하였다가 이것을 이용하여 완충 작용도 할 수 있는 부품은? 80 다음 중 베인펌프의 특징으로 옳지 않은 것은? 81 다음 중 모터 그레이더에서 앞바퀴를 좌우로 경사시켜 회전 반지름을 작게 하기 위해 설치하는 것은? 82 공기 압축기에서 압축 공기의 수분을 제거하여 공기 압축기의 부식을 방지하는 역할을 하는 장치는 무엇인가? 83 다음 중 벨트 컨베이어의 운반 능력 계산에서 고려할 필요가 없는 것은? 84 다음 중 수동변속기가 장착된 덤프트럭(dump truck)의 동력전달계통이 아닌 것은?
App Store Google Play
오늘학습 예시 이미지

시험에 합격하려면
복습을 제대로 해야 합니다.

오늘학습은 스스로 기억을 떠올리고 계획적으로 복습할 수 있도록 설계돼 있어요.
그것도, 가장 과학적인 방식으로요!

능동적 회상

능동적 회상
(Active Recall)

배운 내용을 단순 읽으며 반복하는 것이 아니라,
능동적으로 기억하고 있는지를
스스로 테스트하며
공부할 수 있는
학습 환경을 제공해 학습 효과를 높여요

간격 반복 학습

간격 반복 학습
(Spaced Repetition)

에빙하우스 망각곡선을 바탕으로
가장 최적의 시점에 복습을 제공하여
배운 내용이 잊히지 않도록 장기 기억화해요

Data 기반의
뇌과학적 복습 시스템

학습 결과 Data를 분석해, 문제별 최적화된
반복 학습량을
자동으로 분배해요.
학습에 소요되는 시간을 최소화하는
동시에
단기 기억을 장기 기억으로 전환해줘요.

36만 개 이상의
기출문제 무료 제공

공무원 및 약 300여종의 자격증 시험 기출문제
36만개
이상을 무료로 이용할 수 있어요.
여러 앱을 설치할 필요
없이, 오늘학습 하나로
모든 시험을 준비할 수 있어요.

다양한 문제 유형으로 만드는
나만의 단어장&문제집

기출 외에도 외워야 하는 내용은
객관식, 주관식, 카드, 빈칸
등 다양한 형식으로
직접 만들어 보세요. 내 학습 스타일에
맞게
나만의 단어장과 문제집을 만들 수 있어요.

시험별 체계적인
문제 관리

시험에 문제를 추가해 체계적으로
관리할 수 있어요.
주제나 단원별로
분류하고 싶다면,
시험에 챕터를 만들어
문제를 추가할 수도 있어요.

수십만 명이
오늘학습을 사랑합니다

앱 스토어 평점 4.9
구글 플레이 평점 4.8
누적 회원수 100,000+
지금 오늘학습을
시작해보세요
지금 시작하기
문제 선택