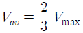
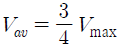
나란히 놓인 두 개의 무한한 평판 사이의 층류 유동에서 속도 분포는 포물선 형태를 보인다. 이 때 유동의 평균 속도(Vau)와 중심에서의 최대 속도(Vmax)의 관계는?
지금 시작하기 →

・・・ 문제은행 건설기계설비기사(2017년 1회) 52번

건설기계설비기사 2017년 05월 52번

나란히 놓인 두 개의 무한한 평판 사이의 층류 유동에서 속도 분포는 포물선 형태를 보인다. 이 때 유동의 평균 속도(Vau)와 중심에서의 최대 속도(Vmax)의 관계는?

1
2
3
4
단축키
이전 문제로 이동은 키를 누르고, 다음 문제로 이동은 키를 누르세요
이전 문제 , 다음 문제
문제(100)
1 그림과 같이 한변의 길이가 d인 정사각형 단면의 Z-Z 축에 관한 단면계수는? 2 세로탄성계수가 210 GPa인 재료에 200MPa의 인장응력을 가했을 때 재료 내부에 저장되는 단위 체적당 탄성변형에너지는 약 몇 Nㆍm/m3인가? 3 오일러의 좌굴 응력에 대한 설명으로 틀린 것은? 4 공칭응력(nominal stress : σn)과 진응력(true stress : σt) 사이의 관계식으로 옳은 것은? (단, εn은 공칭변형율(nominal strain), εt는 진변형율(true strain)이다.) 5 다음 막대의 z방향으로 80kN의 인장력이 작용할 때 x 방향의 변형량은 몇 μm인가? (단, 탄성계수 E=200 GPa, 포아송 비 v=0.32, 막대크기 x=100mm, y=50mm, z=1.5m이다.) 6 직경 d, 길이 l인 봉의 양단을 고정하고 단면 m-n의 위치에 비틀림모멘트 T를 작용시킬 때 봉의 A부분에 작용하는 비틀림모멘트는? 7 그림과 같은 일단고정 타단지지보의 중앙에 P=4800N의 하중이 작용하면 지지점의 반력(RB)은 약 몇 kN인가? 8 그림과 같은 부정정보의 전 길이에 균일 분포하중이 작용할 때 전단력이 0이 되고 최대 굽힘모멘트가 작용하는 단면은 B단에서 얼마나 떨어져 있는가? 9 길이 15m, 봉의 지름 10mm인 강봉에 P=8kN을 작용시킬 때 이 봉의 길이방향 변형량은 약 몇 cm인가? (단, 이 재료의 세로탄성계수는 210 GPa이다.) 10 그림과 같이 강선이 천정에 매달려 100kN의 무게를 지탱하고 있을 때, AC 강선이 받고 있는 힘은 약 몇 kN인가? 11 그림과 같은 직사각형 단면을 갖는 단순지지보에 3kN/m의 균일 분포하중과 축방향으로 50kN의 인장력이 작용할 때 단면에 발생하는 최대 인장 응력은 약 몇 MPa인가? 12 J를 극단면 2차 모멘트, G를 전단탄성계수, l을 축의 길이, T를 비틀림모멘트라 할 때 비틀림각을 나타내는 식은?
13 그림과 같은 단순보(단면 8cm X 6cm)에 작용하는 최대 전단응력은 몇 kPa인가? 14 동일한 전단력이 작용할 때 원형 단면 보의 지름을 d에서 3d로 하면 최대 전단응력의 크기는? (단, τmax는 지름이 d일 때의 최대전단응력이다.) 15 정사각형의 단면을 가진 기둥에 P=80kN의 압축하중이 작용할 때 6MPa의 압축응력이 발생하였다면 단면의 한 변의 길이는 몇 cm인가? 16 그림과 같이 단순화한 길이 1m의 차축 중심에 집중하중 100kN이 작용하고, 100rpm으로 400kW의 동력을 전달할 때 필요한 차축의 지름은 최소 몇 cm인가? (단, 축의 허용 굽힘 응력은 85MPa로 한다.) 17 그림과 같은 직사각형 단면의 보에 P=4kN의 하중이 10° 경사진 방향으로 작용한다. A점에서의 길이 방향의 수직응력을 구하면 약 몇 MPa인가? 18 그림과 같은 단순보에서 전단력이 0이 되는 위치는 A지점에서 몇 m 거리에 있는가? 19 그림과 같이 전체 길이가 3L인 외팔보에 하중 P가 B점과 C점에 작용할 때 자유단 B에서의 처짐량은? (단, 보의 굽힘강성 EI는 일정하고, 자중은 무시한다.) 20 두께가 1cm, 지름 25cm의 원통형 보일러에 내압이 작용하고 있을 때, 면내 최대 전단응력이 –62.5MPa이었다면 내압 P는 몇 MPa인가? 21 그림과 같이 상태 1, 2 사이에 계가 1→A→2→B→1과 같은 사이클을 이루고 있을 때, 열역학 제1법칙에 가장 적합한 표현은? (단, 여기서 Q는 열량, W는 계가 하는 일, U는 내부에너지를 나타낸다.) 22 8°C의 이상기체를 가역단열 압축하여 그 체적을 1/5로 하였을 때 기체의 온도는 약 몇 °C인가? (단, 이 기체의 비열비는 1.4 이다.) 23 다음 중 정확하게 표기된 SI 기본단위(7가지)의 개수가 가장 많은 것은? (단, SI 유도단위 및 그 외 단위는 제외한다.) 24 그림의 랭킨 사이클(온도(T)-엔트로피(s)선도)에서 각각의 지점에서 엔탈피는 표와 같을 때 이 사이클의 효율은 약 몇 % 인가?
25 오토(Otto) 사이클에 관한 일반적인 설명 중 틀린 것은? 26 열교환기를 흐름 배열(flow arrangement)에 따라 분류할 때 그림과 같은 형식은? 27 압력이 106N2, 체적이 1m3인 공기가 압력이 일정한 상태에서 400kJ의 일을 하였다. 변화 후의 체적은 약 몇 m3인가? 28 어느 증기터빈에 0.4kg/s로 증기가 공급되어 260kW의 출력을 낸다. 입구의 증기 엔탈피 및 속도는 각각 3000kJ/kg, 720m/s, 출구의 증기 엔탈피 및 속도는 각각 2500kJ/kg, 120m/s이면, 이 터빈의 열손실은 약 몇 kW가 되는가? 29 열역학 제2법칙과 관련된 설명으로 옳지 않은 것은? 30 출력 10000kW의 터빈 플랜트의 시간당 연료소비량이 5000kg/h이다. 이 플랜트의 열효율은 약 몇 %인가? (단, 연료의 발열량은 33440kJ/kg이다.) 31 저열원 20℃와 고열원 700℃ 사이에서 작동하는 카르노 열기관의 열효율은 약 몇 %인가? 32 100kPa, 25℃ 상태의 공기가 있다. 이 공기의 엔탈피가 298.615kJ/kg이라면 내부에너지는 약 몇 kJ/kg인가? (단, 공기는 분자량 28.97인 이상기체로 가정한다.) 33 보일러 입구의 압력이 9800 kN/m2 이고, 응축기의 압력이 4900 N/m2 일 때 펌프가 수행한 일은 약 몇 kJ/kg 인가? (단, 물의 비체적은 0.001m3/kg 이다.) 34 온도 15℃, 압력 100kPa 상태의 체적이 일정한 용기 안에 어떤 이상 기체 5kg이 들어있다. 이 기체가 50℃가 될 때까지 가열되는 동안의 엔트로피 증가량은 약 몇 kJ/K 인가? (단, 이 기체의 정압비열과 정적비열은 각각 1.001KJ/kgㆍK , 0.7171KJ/kgㆍK 이다.) 35 10 kg의 증기가 온도 50℃, 압력 38kPa, 체적 7.5m3일 때 총 내부에너지는 6700kJ이다. 이와 같은 상태의 증기가 가지고 있는 엔탈피는 약 몇 kJ인가? 36 역 Carnot cycle로 300K와 240K사이에서 작동하고 있는 냉동기가 있다. 이 냉동기의 성능계수는?
37 다음 중 비가역 과정으로 볼 수 없는 것은? 38 압력이 일정할 때 공기 5kg을 0℃에서 100℃까지 가열하는데 필요한 열량은 약 몇 kJ인가? (단, 비열(Cp)은 온도 T(℃)에 관계한 함수로 Cp(kJ/(kg*℃))=1.01+0.000046*T이다.) 39 밀폐계에서 기체의 압력이 100kPa으로 일정하게 유지되면서 체적이 1m3 에서 2m3으로 증가되었을 때 옳은 설명은? 40 다음 온도에 관한 설명 중 틀린 것은? 41 유효 낙차가 100m인 댐의 유량이 10m3/s일 때 효율 90%인 수력터빈의 출력은 약 몇 MW인가? 42 높이 1.5m의 자동차가 108km/h의 속도로 주행할 때의 공기흐름 상태를 높이 1m의 모형을 사용해서 풍동 실험하여 알아보고자 한다. 여기서 상사법칙을 만족시키기 위한 풍동의 공기 속도는 약 몇 m/s인가? (단, 그 외 조건은 동일하다고 가정한다.) 43 그림과 같은 수압기에서 피스톤의 지름이 d1=300mm, 이것과 연결된 램(ram)의 지름이 d2=200mm이다. 압력 P1이 1MPa의 압력을 피스톤에 작용시킬 때 주램의 지름이 d3=400mm이면 주램에서 발생하는 힘(W)은 약 몇 kN인가? 44 2m/s의 속도로 물이 흐를 때 피토관 수두 높이 h는? 45 동점성계수가 0.1×10-5m2/s인 유체가 안지름 10cm인 원관 내에 1m/s로 흐르고 있다. 관마찰계수가 0.022이며 관의 길이가 200m일 때의 손실수두는 약 몇 m인가? (단, 유체의 비중량은 9800N/m3이다.) 46 평판 위의 경계층 내에서의 속도분포(u)가 일 때 경계층 배제두께(boundary layer displacement thickness)는 얼마인가? (단, y는 평판에서 수직한 방향으로의 거리이며, U는 자유유동의 속도, δ는 경계층의 두께이다.) 47 밀도가 ρ인 액체와 접촉하고 있는 기체 사이의 표면장력이 σ라고 할 때 그림과 같은 지름 d의 원통 모세관에서 액주의 높이 h를 구하는 식은? (단, g는 중력가속도이다.) 48 다음 변수 중에서 무차원 수는 어느 것인가?
49 그림과 같이 반지름 R인 원추와 평판으로 구성된 점도측정기(cone and plate viscometer)를 사용하여 액체시료의 점성계수를 측정하는 장치가 있다. 위쪽의 원추는 아래쪽 원판과의 각도를 0.5˚ 미만으로 유지하고 일정한 각속도 로 회전하고 있으며 갭 사이를 채운 유체의 점도는 위 평판을 정상적으로 돌리는데 필요한 토크를 측정하여 계산한다. 여기서 갭 사이의 속도 분포가 반지름 방향 길이에 선형적일 때, 원추의 밑면에 작용하는 전단응력의 크기에 관한 설명으로 옳은 것은? 50 그림과 같이 폭이 2m, 길이가 3m인 평판이 물속에 수직으로 잠겨있다. 이 평판의 한쪽면에 작용하는 전체 압력에 의한 힘은 약 얼마인가? 51 유량 측정 장치 중 관의 단면에 축소부분이 있어서 유체를 그 단면에서 가속시킴으로써 생기는 압력강하를 이용하여 측정하는 것이 있다. 다음 중 이러한 방식을 사용한 측정장치가 아닌 것은? 52 나란히 놓인 두 개의 무한한 평판 사이의 층류 유동에서 속도 분포는 포물선 형태를 보인다. 이 때 유동의 평균 속도(Vau)와 중심에서의 최대 속도(Vmax)의 관계는? 53 안지름 10cm인 파이프에 물이 평균속도 1.5cm/s로 흐를 때(경우ⓐ)와 비중이 0.6이고 점성계수가 물의 1/5인 유체 A가 물과 같은 평균속도로 동일한 관에 흐를 때(경우ⓑ), 파이프 중심에서 최고속도는 어느 경우가 더 빠른가? (단, 물의 점성계수는 0.001kg/(m*s)이다.) 54 무게가 1000N인 물체를 지름 5m인 낙하산에 매달아 낙하할 때 종속도는 몇 m/s가 되는가? (단, 낙하산의 항력계수는 0.8, 공기의 밀도는 1.2kg/m3이다.) 55 점성계수의 차원으로 옳은 것은? (단, F는 힘, L은 길이, T는 시간의 차원이다.) 56 스프링클러의 중심축을 통해 공급되는 유량은 총 3L/s이고 네 개의 회전이 가능한 관을 통해 유출된다. 출구 부분은 접선 방향과 30˚의 경사를 이루고 있고 회전 반지름은 0.3m이고 각 출구 지름은 1.5cm로 동일하다. 작동 과정에서 스프링클러의 회전에 대한 저항토크가 없을 때 회전 각속도느 약 몇 rad/s인가? (단, 회전축상의 마찰은 무시한다.) 57 5℃의 물(밀도 1000kg/m3, 점성계수 1.5×10-3kg/(mㆍs))이 안지름 3mm, 길이 9m인 수평파이프 내부를 평균속도 0.9m/s로 흐르게 하는데 필요한 동력은 약 몇 W인가? 58 정상 2차원 속도장 내의 한 점(2,3)에서 유선의 기울기 는? 59 압력 용기에 장착된 게이지 압력계의 눈금이 400kPa를 나타내고 있다. 이 때 실험실에 놓여진 수은 기압계에서 수은의 높이는 750mm이었다면 압력 용기의 절대압력은 약 몇 kPa인가? (단, 수은의 비중은 13.6이다.) 60 다음 중 2차원 비압축성 유동이 가능한 유동은 어떤 것인가? (단, u는 x방향 속도 성분이고, v는 y방향 속도 성분이다.)
App Store Google Play
오늘학습 예시 이미지

시험에 합격하려면
복습을 제대로 해야 합니다.

오늘학습은 스스로 기억을 떠올리고 계획적으로 복습할 수 있도록 설계돼 있어요.
그것도, 가장 과학적인 방식으로요!

능동적 회상

능동적 회상
(Active Recall)

배운 내용을 단순 읽으며 반복하는 것이 아니라,
능동적으로 기억하고 있는지를
스스로 테스트하며
공부할 수 있는
학습 환경을 제공해 학습 효과를 높여요

간격 반복 학습

간격 반복 학습
(Spaced Repetition)

에빙하우스 망각곡선을 바탕으로
가장 최적의 시점에 복습을 제공하여
배운 내용이 잊히지 않도록 장기 기억화해요

Data 기반의
뇌과학적 복습 시스템

학습 결과 Data를 분석해, 문제별 최적화된
반복 학습량을
자동으로 분배해요.
학습에 소요되는 시간을 최소화하는
동시에
단기 기억을 장기 기억으로 전환해줘요.

36만 개 이상의
기출문제 무료 제공

공무원 및 약 300여종의 자격증 시험 기출문제
36만개
이상을 무료로 이용할 수 있어요.
여러 앱을 설치할 필요
없이, 오늘학습 하나로
모든 시험을 준비할 수 있어요.

다양한 문제 유형으로 만드는
나만의 단어장&문제집

기출 외에도 외워야 하는 내용은
객관식, 주관식, 카드, 빈칸
등 다양한 형식으로
직접 만들어 보세요. 내 학습 스타일에
맞게
나만의 단어장과 문제집을 만들 수 있어요.

시험별 체계적인
문제 관리

시험에 문제를 추가해 체계적으로
관리할 수 있어요.
주제나 단원별로
분류하고 싶다면,
시험에 챕터를 만들어
문제를 추가할 수도 있어요.

수십만 명이
오늘학습을 사랑합니다

앱 스토어 평점 4.9
구글 플레이 평점 4.8
누적 회원수 100,000+
지금 오늘학습을
시작해보세요
지금 시작하기
문제 선택