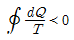
임의의 사이클에서 클라우지우스의 적분을 나타내는 식은?
지금 시작하기 →

・・・ 문제은행 에너지관리산업기사(2020년 2회) 12번

에너지관리산업기사 2020년 08월 12번

임의의 사이클에서 클라우지우스의 적분을 나타내는 식은?

1
2
3
4
단축키
이전 문제로 이동은 키를 누르고, 다음 문제로 이동은 키를 누르세요
이전 문제 , 다음 문제
문제(80)
49 그림과 같이 노벽에 깊이 10cm의 구멍을 뚫고 온도를 재었더니 250℃이었다. 바깥표면의 온도는 200℃이고, 노벽재료의 열전도율이 0.814W/m·℃일 때 바깥 표면 1m2에서 전열량은 약 몇 W인가? 50 다음 중 연관식 보일러에 해당되는 것은? 51 캐스터블 내화물에 대한 설명으로 틀린 것은? 52 중심선의 길이가 600mm이 되도록 25A의 관에서 90°와 45°의 엘보를 이음할 때 파이프의 실제 절단 길이(mm)는? 53 에너지이용 합리화법령에 따라 검사의 종류 중 개조검사 적용 대상이 아닌 것은? 54 크롬마그네시아계 내화물에 대한 설명으로 옳은 것은? 55 주로 보일러 전열면이나 절탄기에 고정 설치해 두며, 분사관은 다수의 작은 구멍이 뚫려 있고 이곳에서 분사되는 증기로 매연을 제거하는 것으로서 분사관은 구조상 고온가스의 접촉을 고려해야 하는 매연 분출장치는? 56 에너지이용 합리화법령상 검사대상기기관리자의 선임을 하여야 하는 자는? 57 글로브 밸브의 디스크 형상 종류에 속하지 않는 것은? 58 에너지이용 합리화법령상 검사대상기기의 계속사용검사신청서는 검사유효기간 만료 며칠전까지 한국에너지공단이사장에게 제출하여야 하는가? 59 연도나 매연 속에 복사광선을 통과시켜 광도변화에 따른 매연농도가 지시 기록된다. 이 농도계의 명칭은? 60 원통형 보일러와 비교할 때 수관식 보일러의 장점에 해당되지 않는 것은?
61 보일러 청관제 중 슬러지 조정제가 아닌 것은? 62 환수관이 고장을 일으켰을 때 보일러의 물이 유출하는 것을 막기 위하여 하는 배관방법은? 63 수트 블로워를 실시할 때 주의사항으로 틀린 것은? 64 온수난방에서 방열기의 평균온도 80℃, 실내온도 18℃, 방열계수 8.1W/m2·℃의 측정 결과를 얻었다. 방열기의 방열량(W/m2)은 약 얼마인가? 65 노통이나 화실 등과 같이 외압을 받는 원통 또는 구체의 부분이 과열이나 좌굴에 의해 외압에 견디지 못하고 내부로 들어가는 현상은? 66 다음 보일러 운전 중 압력초과의 직접적인 원인이 아닌 것은? 67 연도 내에서 가스폭발이 일어나는 원인으로 가장 옳은 것은? 68 가마울림 현상의 방지 대책이 아닌 것은? 69 에너지이용 합리화법령에 따라 산업통상자원부장관이 에너지저장의 무를 부과할 수 있는 대상자는? (단, 연간 2만 티오이 이상의 에너지를 사용하는 자는 제외한다.) 70 에너지이용 합리화법령에서 정한 효율관리기자재에 속하지 않는 것은? (단, 산업통상자원부장관이 그 효율의 향상이 특히 필요하다고 인정하여 따로 고시하는 기자재 및 설비는 제외한다.) 71 다음 중 에너지이용 합리화법령상 매년 1월31일까지 그 에너지사용시설이 있는 지역을 관할하는 시·도지사에게 전년도 분기별 에너지사용량을 신고를 하여야 하는 자에 대한 기준으로 옳은 것은? 72 보일러의 장기 보존 시 만수보존법에 사용되는 약품은?
App Store Google Play
오늘학습 예시 이미지

시험에 합격하려면
복습을 제대로 해야 합니다.

오늘학습은 스스로 기억을 떠올리고 계획적으로 복습할 수 있도록 설계돼 있어요.
그것도, 가장 과학적인 방식으로요!

능동적 회상

능동적 회상
(Active Recall)

배운 내용을 단순 읽으며 반복하는 것이 아니라,
능동적으로 기억하고 있는지를
스스로 테스트하며
공부할 수 있는
학습 환경을 제공해 학습 효과를 높여요

간격 반복 학습

간격 반복 학습
(Spaced Repetition)

에빙하우스 망각곡선을 바탕으로
가장 최적의 시점에 복습을 제공하여
배운 내용이 잊히지 않도록 장기 기억화해요

Data 기반의
뇌과학적 복습 시스템

학습 결과 Data를 분석해, 문제별 최적화된
반복 학습량을
자동으로 분배해요.
학습에 소요되는 시간을 최소화하는
동시에
단기 기억을 장기 기억으로 전환해줘요.

36만 개 이상의
기출문제 무료 제공

공무원 및 약 300여종의 자격증 시험 기출문제
36만개
이상을 무료로 이용할 수 있어요.
여러 앱을 설치할 필요
없이, 오늘학습 하나로
모든 시험을 준비할 수 있어요.

다양한 문제 유형으로 만드는
나만의 단어장&문제집

기출 외에도 외워야 하는 내용은
객관식, 주관식, 카드, 빈칸
등 다양한 형식으로
직접 만들어 보세요. 내 학습 스타일에
맞게
나만의 단어장과 문제집을 만들 수 있어요.

시험별 체계적인
문제 관리

시험에 문제를 추가해 체계적으로
관리할 수 있어요.
주제나 단원별로
분류하고 싶다면,
시험에 챕터를 만들어
문제를 추가할 수도 있어요.

수십만 명이
오늘학습을 사랑합니다

앱 스토어 평점 4.9
구글 플레이 평점 4.8
누적 회원수 100,000+
지금 오늘학습을
시작해보세요
지금 시작하기
문제 선택