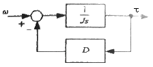
전동기의 기계방정식이 일 때, 이 식으로 그린 블록선도는? (단, J는 관성계수, D는 마찰계수, τ는 전동기에서 발생되는 토크, ω는 전동기의 회전속도이다.)
지금 시작하기 →

・・・ 문제은행 승강기기사(2022년 2회) 64번

승강기기사 2022년 04월 64번

전동기의 기계방정식이 일 때, 이 식으로 그린 블록선도는? (단, J는 관성계수, D는 마찰계수, τ는 전동기에서 발생되는 토크, ω는 전동기의 회전속도이다.)

1
2
3
4
단축키
이전 문제로 이동은 키를 누르고, 다음 문제로 이동은 키를 누르세요
이전 문제 , 다음 문제
문제(80)
1 기계실의 조명장치와 관련하여 다음 항목에 대한 조도 기준을 올바르게 나타낸 것은? 2 유압식 엘리베이터는 제약조건이 많아서 수요가 줄어들고 있는 추세인데, 다음 중 유압식 엘리베이터가 주로 이용되는 장소의 조건으로 거리가 먼 것은? 3 엘리베이터의 상승과속방지장치에 대한 설명으로 옳지 않은 것은? 4 다음 중 카를 지지하는 카 프레임(또는 카틀, car frame)의 주요 구성요소가 아닌 것은? 5 승강기 안전관리법령에 따라 승강기의 정격속도에 따라서 고속 승강기와 중저속 승강기로 구분하는데 이를 구분하는 정격속도의 크기는? 6 주로 1대의 엘리베이터를 운행할 경우 적용되는 방식으로 승강장의 누름 버튼을 상승용, 하강용의 양쪽 모두 동작이 가능한 방식이며, 상승 또는 하강으로의 진행방향에 승객이 합승을 원할 경우 합승 호출에 응답하면서 운전하는 방식은? 7 적절한 권상능력 또는 전동기의 동력을 확보하기 위해 매다는 로프의 무게에 대한 보상수단을 적용해야 하는데, 이러한 보상수단 중 하나인 튀어오름 방지장치를 설치해야 하는 엘리베이터 정격속도의 기준은? 8 카 자중 3500kg, 정격하중 2000kg, 승강행정 60m, 로프 6본, 균형추의 오버밸런스율이 40% 일 때 전부하시 카가 최상층에 있는 경우 트랙션비(권상비)는 약 얼마인가? (단, 로프는 1.2 kg/m 이고, 보상율이 90%가 되는 균형 체인을 설치한다.) 9 다음 로프 흠에 대한 설명으로 가장 옳지 않은 것은? 10 유압식 엘리베이터에서 한쪽 방향으로만 기름이 흐르도록 하는 밸브로서 상승 방향에는 흐르지만 약방향으로는 흐르지 않게 하는 밸브는? 11 엘리베이터 제어방식 중 카의 실속도와 지령속도를 비교하여 사이리스터 점호각을 바꿔 유도전동기의 속도를 제어하는 방식은? 12 에스컬레이터에 진입방지대가 설치되는 경우 그 설치요건에 관한 설명 중 옳지 않은 것은?
13 권동식(확동구동식)과 비교하여 트랙션식(마찰구동식) 권상기의 특징에 대한 설명으로 옳지 않은 것은? 14 하나의 승강로에 2대 이상의 엘리베이터가 있는 경우 카 벽에 비상구출문을 설치할 수 있다. 이 때 카 간의 수평거리는 몇 m를 초과하면 안되는가? 15 경사형 엘리베이터 안전기준에 따라 승강로 벽을 설계할 때 승강로 벽의 높이 기준은 경사 각도에 따라 달라지는데, 그 기준의 경계가 되는 경사각도는 약 몇 ° 인가? 16 승강기의 정격속도에 관계없이 사용할 수 있는 완충기로 옳은 것은? 17 에스컬레이터의 공칭속도에 대한 기준이다. 괄호 안의 내용이 옳게 짝지어진 것은? 18 권상식 엘리베이터에서 주 로프의 미끄러짐 현상을 줄이는 방법으로 옳지 않은 것은? 19 엘리베이터 도어를 작동시키는 도어머신(door machine) 장치가 갖추어야 할 조건으로 가장 거리가 먼 것은? 20 엘리베이터 안전기준에 따라 소방구조용 엘리베이터의 기본요건으로 틀린 것은? 21 정격속도 90m/min 인 엘리베이터 에너지분산형 완충기에 필요한 최소 행정거리는 약 몇 mm 인가? 22 카 추락방지안전장치가 작동될 때, 무부하 상태의 카 바닥 또는 정격하중이 균일하게 분포된 부하 상태의 카 바닥은 정상적인 위치에서 몇 %를 초과하여 기울어지지 않아야 하는가? 23 엘리베이터 설비계획과 관련한 설명으로 옳지 않은 것은? 24 비상통화장치에 대한 설명으로 옳지 않은 것은?
25 점차 작동형 추락방지안전장치를 사용하는 엘리베이터의 정격속도가 150m/min 일 때 다음 중 과속조절기가 작동해야 하는 엘리베이터의 속도로 적절한 것은? 26 전동기의 공칭회로 전압이 380V일 때 시험전압 500V 기준으로 절연 저항은 몇 MΩ 이상이어야 하는가? 27 엘리베이터용 전동기의 토크는 전동기의 속도가 증가함에 따라 차차 커지다가 최대 토크에 도달하면 그 이후 급격히 토크가 작아져 동기속도가 0이 된다. 이 과정에서 발생한 최대 토크를 무엇이라고 하는가? 28 엘리베이터에서 카의 자중 및 카에 의해 지지되는 부품의 중량은 1850kg, 정격하중은 1500kg이다. 전 부하 상태의 카가 완충기에 작용하였을 때 피트 바닥에 지지해야 하는 전체 수직력의 최소값은 약 몇 kN 인가? 29 감아 걸기 전동장치에 대한 설명 중 틀린 것은? 30 자세 유형에 따른 피트 피난공간 크기의 최소 기준에 대한 설명 중 틀린 것은? (단, 주택용 엘리베이터는 제외한다.) 31 기어 전동의 특징을 벨트 및 로프 전동과 비교한 설명으로 옳은 것은? 32 엘리베이터용 전동기를 선정할 때 고려해야 할 조건으로 옳지 않은 것은? 33 그림과 같은 가이드레일에서 x방향 수평하중(Fx)이 12kN 작용할 때 x방향 처짐량은 약 몇 mm 인가? (단, 가이드 브래킷 사이 최대 거리는 250cm 이고, y축 단면 2차 모멘트는 26.48cm4 이며, 재료의 세로탄성계수는 210 GPa 이다. 그리고, 건물 구조의 처짐량은 무시하고, 처짐 공식은 엘리베이터 안전기준에 따른다.) 34 카 내부에 있는 사람에 의한 카문의 개방을 제한하기 위해 카가 운행 중일 때, 카문의 개방은 몇 N 이상의 힘이 요구되어야 하는가? (단, 잠금해제구간 밖에 있을 때는 제외한다.) 35 엘리베이터 안전기준에 따라 기계실의 크기 및 치수의 기준에 관한 설명으로 옳은 것은? 36 엘리베이터에 사용되는 로프의 공칭지름이 18mm일 때 풀리의 피치원 지름은 몇 mm 이상이어야 하는가? (단, 해당 건물은 상업용 건물이다.)
49 호칭 지름이 50mm, 피치가 2mm인 미터 가는 나사가 2줄 왼나사로 암나사 등급이 6일 때 KS 나사 표시방법으로 옳은 것은? 50 코일의 유효권수 12, 코일의 평균지름 40mm, 소선의 지름 6mm인 압축 코일 스프링에 30N의 외력이 작용할 때, 변위(mm)는 약 얼마인가? (단, 코일 스프링 재질의 전단탄성계수는 8×103N/mm2 이다.) 51 리벳이음에서 리벳의 지름이 d, 피치가 p 일 때 판 효율을 구하는 식으로 옳은 것은? 52 다음 중 나사산을 가공하는데 적합한 가공법은? 53 유압기기 요소에서 길이가 단면 치수에 비해서 비교적 긴 죔구를 의미하는 용어는? 54 그림과 같은 균일분포하중이 작용하는 보의 최대 처짐량을 구하는 식으로 옳은 것은? (단, W : 균일분포하중, L : 보의 길이, E : 세로탄성계수, I : 단면 2차 모멘트이다.) 55 지름이 100mm인 유압 실린더의 이론 송출량이 830 cm3/s, 추력이 3kgf 일 때 이 유압실린더의 속도(cm/s)는 얼마인가? (단, 펌프의 용적효율은 90% 이다.) 56 비틀림을 받는 원형 단면 봉에서 발생하는 비틀림 각에 대한 설명으로 옳은 것은? 57 축에 직각인 하중을 지지하는 베어링은? 58 다음 중 버니어 캘리퍼스로 측정할 수 없는 것은? 59 지름 8cm, 길이 200cm인 연강봉에 7000N 인장하중이 작용하였을 때 변형량은? (단, 탄성한도 내에서 있다고 가정하며, 세로탄성계수는 2.1×106 N/cm2 이다.) 60 유압 회로 구성에 사용되는 어큐뮬레이터의 용도가 아닌 것은?
App Store Google Play
오늘학습 예시 이미지

시험에 합격하려면
복습을 제대로 해야 합니다.

오늘학습은 스스로 기억을 떠올리고 계획적으로 복습할 수 있도록 설계돼 있어요.
그것도, 가장 과학적인 방식으로요!

능동적 회상

능동적 회상
(Active Recall)

배운 내용을 단순 읽으며 반복하는 것이 아니라,
능동적으로 기억하고 있는지를
스스로 테스트하며
공부할 수 있는
학습 환경을 제공해 학습 효과를 높여요

간격 반복 학습

간격 반복 학습
(Spaced Repetition)

에빙하우스 망각곡선을 바탕으로
가장 최적의 시점에 복습을 제공하여
배운 내용이 잊히지 않도록 장기 기억화해요

Data 기반의
뇌과학적 복습 시스템

학습 결과 Data를 분석해, 문제별 최적화된
반복 학습량을
자동으로 분배해요.
학습에 소요되는 시간을 최소화하는
동시에
단기 기억을 장기 기억으로 전환해줘요.

36만 개 이상의
기출문제 무료 제공

공무원 및 약 300여종의 자격증 시험 기출문제
36만개
이상을 무료로 이용할 수 있어요.
여러 앱을 설치할 필요
없이, 오늘학습 하나로
모든 시험을 준비할 수 있어요.

다양한 문제 유형으로 만드는
나만의 단어장&문제집

기출 외에도 외워야 하는 내용은
객관식, 주관식, 카드, 빈칸
등 다양한 형식으로
직접 만들어 보세요. 내 학습 스타일에
맞게
나만의 단어장과 문제집을 만들 수 있어요.

시험별 체계적인
문제 관리

시험에 문제를 추가해 체계적으로
관리할 수 있어요.
주제나 단원별로
분류하고 싶다면,
시험에 챕터를 만들어
문제를 추가할 수도 있어요.

수십만 명이
오늘학습을 사랑합니다

앱 스토어 평점 4.9
구글 플레이 평점 4.8
누적 회원수 100,000+
지금 오늘학습을
시작해보세요
지금 시작하기
문제 선택