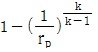
브레이턴사이클의 열효율을 구하는 식은? (단, : 압력비, : 비열비이다.)
지금 시작하기 →

・・・ 문제은행 항공기관정비기능사(2015년 2회) 58번

항공기관정비기능사 2015년 07월 58번

브레이턴사이클의 열효율을 구하는 식은? (단, : 압력비, : 비열비이다.)

1
2
3
4
단축키
이전 문제로 이동은 키를 누르고, 다음 문제로 이동은 키를 누르세요
이전 문제 , 다음 문제
문제(60)
1 고도 1000m 에서 공기의 밀도가 0.1kgfㆍs2/m4이고 비행기의 속도가 1018 km/h 일 때, 압력을 측정하는 비행기의 피토관 입구에 작용하는 동압은 약 몇 kgf/m2 인가? 2 무게가 W 인 활공기 또는 기관이 정지된 비행기가 일정한 속도(V)와 활공각 θ 로 활공 비행을 하고 있을 때의 양력(L)방향과 항력(D)방향으로 힘을 옳게 나타낸 것은? 3 비압축성 흐름에서의 형상항력, 압력항력 및 마찰항력의 관계를 옳게 나타낸 것은? 4 대기권에서 전리층이 존재하며 전파를 흡수,반사 하는 작용을 하여 통신에 영향을 끼치는 층은? 5 항공기의 상승률에 대한 설명으로 옳은 것은? 6 프로펠러에서 유효피치를 가장 옳게 설명한 것은? 7 공기에 압력을 가하면 공기의 체적이 감소되고, 체적에 반비례하는 밀도는 증가되는 성질의 관계식을 무엇이라 하는가? 8 대형 제트기에서 착륙시 스포일러를 사용하는 가장 큰 이유는? 9 항공기의 동안정성 중 세로면에서 진동에 따라 나타나는 현상은? 10 다음 중 항공기의 부조종면은? 11 비교적 두꺼운 날개를 사용한 비행기가 천음속영역에서 비행할 때 발생하는 가로 불안정의 특별한 현상은? 12 2개의 주회전 날개를 비행방향에 대하여 앞뒤로 배열시킨 것으로서 대형 헬리콥터에 적합하며, 회전날개의 회전방향은 서로 반대인 헬리콥터는?
49 가스터빈기관의 점화장치에서 유도형 점화장치가 아닌 것은? 50 다음 중 공기와 연료를 적당한 비율의 혼합가스로 만들어 주는 장치는? 51 플로트식 기화기에서 스로틀 밸브(Throttle valve)가 설치되는 위치는? 52 터빈 입구의 압력이 7, 터빈 출구의 압력이 3, 로터 입구의 압력이 4인 가스 터빈기관에서 축류형 터빈의 반동도는? (단, 공기의 비열비는 1.4이다) 53 가스터빈기관의 공기흡입도관으로 초음속의 공기가 흡입될 때 도관의 단면적과 공기속도와의 관계를 옳게 설명한 것은? 54 항공기 왕복기관의 실린더 압축시험에서 시험을 할 실린더의 피스톤 위치로 옳은 것은? 55 프로펠러 깃 버트(Butt)와 인접한 부분을 말하며 강도를 주기 위해 두껍게 되어 있고 허브 배럴레 꼭 맞게 되어 있는 부분의 명칭은? 56 항공용 왕복기관 연료계통의 구성중에서 기관을 시동 할 때 실린더 안에 직접 연료를 분사시켜 주는 장치는? 57 가스터빈기관에서 연료-오일냉각기(Fuel-Oil Cooler)의 기능으로 옳은 것은? 58 브레이턴사이클의 열효율을 구하는 식은? (단, : 압력비, : 비열비이다.) 59 항공기 왕복기관이 저속, 저출력으로 작동할 때 가장 농후한 혼합비를 사용하는 이유로 옳은 것은? 60 가스터빈기관의 추력에 영향을 미치는 요인 중 대기온도와 대기압력에 대한 설명으로 옳은 것은?
App Store Google Play
오늘학습 예시 이미지

시험에 합격하려면
복습을 제대로 해야 합니다.

오늘학습은 스스로 기억을 떠올리고 계획적으로 복습할 수 있도록 설계돼 있어요.
그것도, 가장 과학적인 방식으로요!

능동적 회상

능동적 회상
(Active Recall)

배운 내용을 단순 읽으며 반복하는 것이 아니라,
능동적으로 기억하고 있는지를
스스로 테스트하며
공부할 수 있는
학습 환경을 제공해 학습 효과를 높여요

간격 반복 학습

간격 반복 학습
(Spaced Repetition)

에빙하우스 망각곡선을 바탕으로
가장 최적의 시점에 복습을 제공하여
배운 내용이 잊히지 않도록 장기 기억화해요

Data 기반의
뇌과학적 복습 시스템

학습 결과 Data를 분석해, 문제별 최적화된
반복 학습량을
자동으로 분배해요.
학습에 소요되는 시간을 최소화하는
동시에
단기 기억을 장기 기억으로 전환해줘요.

36만 개 이상의
기출문제 무료 제공

공무원 및 약 300여종의 자격증 시험 기출문제
36만개
이상을 무료로 이용할 수 있어요.
여러 앱을 설치할 필요
없이, 오늘학습 하나로
모든 시험을 준비할 수 있어요.

다양한 문제 유형으로 만드는
나만의 단어장&문제집

기출 외에도 외워야 하는 내용은
객관식, 주관식, 카드, 빈칸
등 다양한 형식으로
직접 만들어 보세요. 내 학습 스타일에
맞게
나만의 단어장과 문제집을 만들 수 있어요.

시험별 체계적인
문제 관리

시험에 문제를 추가해 체계적으로
관리할 수 있어요.
주제나 단원별로
분류하고 싶다면,
시험에 챕터를 만들어
문제를 추가할 수도 있어요.

수십만 명이
오늘학습을 사랑합니다

앱 스토어 평점 4.9
구글 플레이 평점 4.8
누적 회원수 100,000+
지금 오늘학습을
시작해보세요
지금 시작하기
문제 선택