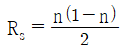
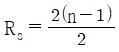
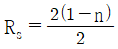
전자교환기를 망형(Mesh Type)으로 네트워크 구성시 중계선 구하는 식은?
지금 시작하기 →

・・・ 문제은행 통신설비기능장(2022년 2회) 2번

통신설비기능장 2022년 10월 2번

전자교환기를 망형(Mesh Type)으로 네트워크 구성시 중계선 구하는 식은?

1
2
3
4
단축키
이전 문제로 이동은 키를 누르고, 다음 문제로 이동은 키를 누르세요
이전 문제 , 다음 문제
문제(60)
13 다음 중 나이퀴스트(Nyquist) 표본화 주파수는? (단, fs : 표본화 주파수, fm : 신호의 최고 주파수) 14 다음 중 무선 주파수를 전송하기 위한 송신용 급전선의 필요한 조건으로 볼 수 없는 것은? 15 야기안테나의 소자 중 길이가 가장 짧고 용량성을 갖는 소자는? 16 송신국 A의 안테나의 높이는 980[m]이고, 수신국 B의 높이는 420[m]일 때 직접파가 전달될 수 있는 거리 약 몇 [km]인가? 17 위성지구국에 사용되는 비선형 증폭기에 입력되는 신호의 주파수가 3.5[GHz], 4.5[GHz]일 때 출력 가능한 신호의 주파수가 아닌 것은? 18 다음의 이동통신 기지국의 형태중에서 통화량이 많은 도심지역과 과밀지역 및 In-Building 지역에 설치되는 기지국의 형태는 어떤 것인가? 19 무선채널에서 집중에러(Burst Error)를 분산시켜 에러 정정능력을 효율적으로 유지시켜 주기 위한 것은? 20 다음 중 이동통신의 무선망 설계시 고려사항이 아닌 것은? 21 각 노드에서 데이터 송수신을 제어하기 위해 토큰(Token)을 사용하는 네트워크 토폴로지(Topology)는? 22 다음 중 IEEE 802.15 표준에 해당하는 WPAN 기술의 대표적인 것으로 틀린 것은? 23 전화통신망(PSTN) 구성요소 중 통신 채널을 상호 연결시키는 기능을 하는 것은? 24 기가(Giga) 이상의 인터넷 전송속도를 제공하기 위해서는 어떤 케이블 카테고리를 사용하는가?
37 광파이버를 굴절률 분포에 따라 분류할 때 다음 중에서 해당하지 않은 것은? 38 다음 보기에서 제시한 광섬유 특성 측정법은 무엇인가? 39 다음 그림과 같이 임피던스가 각각 400[Ω], 600[Ω]을 갖는 접속점에서의 반사계수는? 40 단상 전파 정류기의 DC출력 전력은 단상 반파 정류기 DC출력 전력의 몇 배인가? 41 다음 중 전기통신설비에 대한 접지저항 측정법으로 맞지 않는 것은? 42 다음 중 LTE 서비스를 위한 주파수 대역으로 사용되지 않는 주파수는? 43 주파수가 5[MHz]의 전파에 사용하는 λ/4수직접지 안테나의 길이는? 44 LTE 신호에서 상향과 하향링크를 서로 다른 주파수로 구현한 방식은? 45 광섬유케이블을 A방향에서 B방향으로 측정한 접속손실 값이 0.05[dB], B방향에서 A방향으로 측정한 접속손실 값이 0.1[dB]이었다면 이 접속지점의 평균접속손실 값은 몇 [dB] 인가? 46 다음 중 과학기술정보통신부장관이 방송통신 전문인력을 양성하기 위한 계획을 수립·시행하도록 「방송통신발전 기본법」으로 정하는 사항이 아닌 것은? 47 정보통신공사업법에 따르면 방송통신시설물의 시공 품질의 적정성을 확보하기 위하여 건축물 준공 전에 설치된 구내통신설비가 기술기준 등에 적합하게 시공되었는지를 확인받는 검사는? 48 다음 중 용역업자가 해당 공사 전반에 관한 감리업무를 총괄하는 자를 배치하는 기준으로 정보통신 감리원의 배치기준으로 잘못된 것은?
App Store Google Play
오늘학습 예시 이미지

시험에 합격하려면
복습을 제대로 해야 합니다.

오늘학습은 스스로 기억을 떠올리고 계획적으로 복습할 수 있도록 설계돼 있어요.
그것도, 가장 과학적인 방식으로요!

능동적 회상

능동적 회상
(Active Recall)

배운 내용을 단순 읽으며 반복하는 것이 아니라,
능동적으로 기억하고 있는지를
스스로 테스트하며
공부할 수 있는
학습 환경을 제공해 학습 효과를 높여요

간격 반복 학습

간격 반복 학습
(Spaced Repetition)

에빙하우스 망각곡선을 바탕으로
가장 최적의 시점에 복습을 제공하여
배운 내용이 잊히지 않도록 장기 기억화해요

Data 기반의
뇌과학적 복습 시스템

학습 결과 Data를 분석해, 문제별 최적화된
반복 학습량을
자동으로 분배해요.
학습에 소요되는 시간을 최소화하는
동시에
단기 기억을 장기 기억으로 전환해줘요.

36만 개 이상의
기출문제 무료 제공

공무원 및 약 300여종의 자격증 시험 기출문제
36만개
이상을 무료로 이용할 수 있어요.
여러 앱을 설치할 필요
없이, 오늘학습 하나로
모든 시험을 준비할 수 있어요.

다양한 문제 유형으로 만드는
나만의 단어장&문제집

기출 외에도 외워야 하는 내용은
객관식, 주관식, 카드, 빈칸
등 다양한 형식으로
직접 만들어 보세요. 내 학습 스타일에
맞게
나만의 단어장과 문제집을 만들 수 있어요.

시험별 체계적인
문제 관리

시험에 문제를 추가해 체계적으로
관리할 수 있어요.
주제나 단원별로
분류하고 싶다면,
시험에 챕터를 만들어
문제를 추가할 수도 있어요.

수십만 명이
오늘학습을 사랑합니다

앱 스토어 평점 4.9
구글 플레이 평점 4.8
누적 회원수 100,000+
지금 오늘학습을
시작해보세요
지금 시작하기
문제 선택