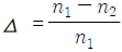
광케이블에서 비굴절률 차(?)를 나타내는 식은? (단, n1 : 코어 굴절률, n2 : 클래드 굴절률, α: 코어의 반지름)
지금 시작하기 →

・・・ 문제은행 통신설비기능장(2019년 1회) 36번

통신설비기능장 2019년 03월 36번

광케이블에서 비굴절률 차(?)를 나타내는 식은? (단, n1 : 코어 굴절률, n2 : 클래드 굴절률, α: 코어의 반지름)

1
2
3
4
단축키
이전 문제로 이동은 키를 누르고, 다음 문제로 이동은 키를 누르세요
이전 문제 , 다음 문제
문제(60)
1 자동식 전화기의 단속비를 전류계법에 의하여 측정하였더니 평상시에 흐르는 전류는 120[mA] 이고, 전화기에 의한 임펄스 송출시에 흐르는 전류는40[mA] 이었다. 이 경우 브레이크(Break)율은 약 몇[%] 인가? 2 다음 중 NO.7 신호방식에 대한 설명으로 적합하지 않은 것은? 3 전자교환기에서 시스템의 총괄적인 유지보수 및 관리기능을 수행하는 서브시스템은? 4 다음 중 에러를 검출하여 정정까지 할 수 있는 코드는? 5 8진 PSK의 위상차는 얼마인가? 6 펄스 변조방식 중 디지털형 펄스 변조방식으로 옳은 것은? 7 다음 중 Nyquist 비를 만족하지 않았을 때 일어나는 사항이 아닌 것은? 8 다중화 방식 중에서 보내고자 하는 신호를 그 주파수 대역보다 넓은 주파수 대역으로 확산시켜 전송하는 Spread Spectrum 방식을 사용하고, 각 사용자에게 서로 직교(Orthogonal)하는 고유의 코드를 부여하여 하나의 주파수 대역을 통해 여러 신호를 동시에 전송하는 방식은 무엇인가? 9 다음 중 전송 부호가 갖추어야 할 요건이 아닌 것은? 10 다음 중 데이터 전송제어에 관한 설명으로 알맞지 않은 것은? 11 AM 송신기의 발진기 다음단에 설치하여 부하 변동에 따른 발진 주파수의 변동을 방지하기 위하여 사용하는 증폭 방식은 무엇인가? 12 다음 중 무선통신에서 변조를 행하는 이유로 옳지 않는 것은?
25 다음 LAN의 분류 중 네트워크 접속 형태에 의한 분류에 해당하지 않는 것은? 26 다음 중 일반적인 TCP/IP 프로토콜의 응용 서비스와 포트 번호의 연결이 적합하지 않은 것은? 27 다음은 BcN의 킬러 어플리케이션으로 주목받는 IPTV에 관한 설명이다. IPTV의 서비스 형태와 거리가 먼 것은? 28 다음 중 유비쿼터스 네트워크에서 주변 상황 정보를 획득, 전달하는 기반기술은? 29 다음 중 소프트스위치(Softswitch)의 기능에 속하지 않는 것은? 30 IPv4 네트워크 주소 체계의 범위가 옳게 나열된 것은? 31 192.168.55.0의 네트워크 ID를 가지고 있다. 각 서브넷은 25개의 호스트 ID가 필요하며 가장 많은 서브네트를 가져야 한다. 어떤 서브넷 마스크가 알맞은가? 32 일반 전화선이나 랜(LAN)의 환경을 이어주는 신호선의 한 종류이며 절연된 2개의 구리선을 서로 꼬아 만든 여러 개의 쌍 케이블로 외피를 플라스틱으로 절연시킨 케이블은 무엇인가? 33 시외 통신케이블의 심선수가 500회선(Pair)일 때, 이 케이블의 심선은 어떤 구조로 구성되어 있는가? 34 비굴절률차에 대한 설명으로 옳은 것은? 35 광섬유 코어 직경이 50[μm]인 계단형 광섬유가 갖는 모드 수는 약 몇 개인가? (단, 광파이버의 코어의 굴절률 n1=1.48, 클래드의 굴절률 n2=1.46일 때 파장 λ= 0.82[μm]이라 가정한다.) 36 광케이블에서 비굴절률 차(?)를 나타내는 식은? (단, n1 : 코어 굴절률, n2 : 클래드 굴절률, α: 코어의 반지름)
37 다음 중 광섬유의 종류에 대한 설명으로 틀린 것은? 38 다음 설명에서 괄호 안에 들어갈 알맞은 값은? 39 음성 주파수 대역(300~3,400[Hz])을 완전히 전송하기 위해서는 최소한 몇 초 간격의 표본이 되어야 하는가? 40 광섬유케이블의 접속손실이 상부국(A) → 하부국(B) 방향으로 측정한 값이 0.05[dB], 하부국(B) → 상부국(A) 방향으로 측정한 값이 0.15[dB]이다. 이 때 광섬유 케이블 접속점의 상, 하부측의 평균 접속손실은 몇 [dB]인가? 41 다음 중 통신 선로에서 펄스 시험기로 측정할 수 있는 것은? 42 특성임피던스가 200[Ω]인 동축케이블의 무손실 선로에서 50[Ω]의 부하를 접속할 때 이 선로의 정재파비는? 43 도시권 이더넷 망으로 광케이블을 통해 직접 연결되어 있어 광 네트워크의 속도 서비스를 빠르게 이용할 수 있는 개선된 망구조는? 44 다음 중 “초고속정보통신건물 인증업무”의 광섬유 케이블 링크성능 기준으로 틀린 것은? (문제 오류로 실제 시험에서는 1, 3, 4번이 정답처리 되었습니다. 여기서는 1번을 누르면 정답 처리 됩니다.) 45 광섬유는 입사단에 고출력의 광 펄스를 입사시키며 입사된 광 펄스의 일부가 산란되어 입사단 쪽으로 되돌아오는데 이 빛을 이용하여 광섬유의 길이를 구할 수 있다. 굴절률 n=1.48, t=1 [μsec]라고 할 때 광섬유의 길이는 약 얼마인가? 46 어느 전송 선로의 입력측 전압이 9[V], 출력측 전압이 0.09[V]였다면 선로의 감쇄량은? 47 다음 중 용역업자가 해당 공사 전반에 관한 감리업무를 총괄하는 자를 배치하는 기준으로 잘못된 것은? 48 다음 중 정보통신공사업자의 시공능력 평가방법으로 잘못된 것은?
49 다음 중 “접지설비구내통신설비선로설비 및 통신공동구등에 대한 기술기준”에서 정하는 '중간단자항 또는 세대단자함'의 요건에 대한 설명으로 틀린 것은? 50 다음 중 홈네트워크 설비 중 폐쇄회로텔레비전장비의 설치에 대한 설명이 틀린 것은? 51 다음 중 공동주택에서 지능형 홈네트워크 설치하는 경우에 갖추어야 할 설비에 해당되지 않는 것은? 52 다음 중 방재실에 관한 설명으로 틀린 것은? 53 타인에게 등록증이나 등록수첩을 빌려 준 자 또는 타인의 등록증이나 등록수첩을 빌려서 사용한 자에 대한 벌칙은? 54 옥내통신선의 이격거리에 대한 설명이다. 다음 괄호 안에 들어갈 알맞은 값은? 55 정보통신공사업법에서 설계도서의 보관의무에 대한 설명으로 틀린 것은? 56 규격에 정의된 합격품질기준(AQL) 표에 따라 샘플의 개수 및 검사 방법을 결정하는 샘플링 방법은? 57 모집단이 서브 로트로 구성되어 있는 경우, 일부 로트를 랜덤 샘플링 한 후 샘플링된 로트에서 다시 최종 샘플을 몇 개씩 샘플링하는 방법은? 58 다음 중 계량형 관리도에 속하는 것은? 59 특수용도의 통신단말기를 대량으로 제조하고자 한다. 해당 제품은 표준화가 이루어져 있고, 원활한 원자재 공급이 가능하다. 따라서 컨베이어라인을 구성한 계획이다. 이것은 어떠한 설비배치 형태인가? 60 다음 중 공정의 개선 활동을 위해 사용되는 ECRS의 원칙이 아닌 것은?
App Store Google Play
오늘학습 예시 이미지

시험에 합격하려면
복습을 제대로 해야 합니다.

오늘학습은 스스로 기억을 떠올리고 계획적으로 복습할 수 있도록 설계돼 있어요.
그것도, 가장 과학적인 방식으로요!

능동적 회상

능동적 회상
(Active Recall)

배운 내용을 단순 읽으며 반복하는 것이 아니라,
능동적으로 기억하고 있는지를
스스로 테스트하며
공부할 수 있는
학습 환경을 제공해 학습 효과를 높여요

간격 반복 학습

간격 반복 학습
(Spaced Repetition)

에빙하우스 망각곡선을 바탕으로
가장 최적의 시점에 복습을 제공하여
배운 내용이 잊히지 않도록 장기 기억화해요

Data 기반의
뇌과학적 복습 시스템

학습 결과 Data를 분석해, 문제별 최적화된
반복 학습량을
자동으로 분배해요.
학습에 소요되는 시간을 최소화하는
동시에
단기 기억을 장기 기억으로 전환해줘요.

36만 개 이상의
기출문제 무료 제공

공무원 및 약 300여종의 자격증 시험 기출문제
36만개
이상을 무료로 이용할 수 있어요.
여러 앱을 설치할 필요
없이, 오늘학습 하나로
모든 시험을 준비할 수 있어요.

다양한 문제 유형으로 만드는
나만의 단어장&문제집

기출 외에도 외워야 하는 내용은
객관식, 주관식, 카드, 빈칸
등 다양한 형식으로
직접 만들어 보세요. 내 학습 스타일에
맞게
나만의 단어장과 문제집을 만들 수 있어요.

시험별 체계적인
문제 관리

시험에 문제를 추가해 체계적으로
관리할 수 있어요.
주제나 단원별로
분류하고 싶다면,
시험에 챕터를 만들어
문제를 추가할 수도 있어요.

수십만 명이
오늘학습을 사랑합니다

앱 스토어 평점 4.9
구글 플레이 평점 4.8
누적 회원수 100,000+
지금 오늘학습을
시작해보세요
지금 시작하기
문제 선택