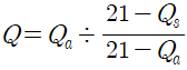
배출허용기준 중 표준산소농도를 적용받는 항목에 대한 배출가스량 보정식으로 옳은 것은? (단, Q: 배출가스유량(Sm3/일), Qa: 실측배출가스유량(Sm3/일), Os : 표준산소농도(%), Oa : 실측산소농도(%))
지금 시작하기 →

・・・ 문제은행 대기환경기사(2020년 1회) 74번

대기환경기사 2020년 06월 74번

배출허용기준 중 표준산소농도를 적용받는 항목에 대한 배출가스량 보정식으로 옳은 것은? (단, Q: 배출가스유량(Sm3/일), Qa: 실측배출가스유량(Sm3/일), Os : 표준산소농도(%), Oa : 실측산소농도(%))

1
2
3
4
단축키
이전 문제로 이동은 키를 누르고, 다음 문제로 이동은 키를 누르세요
이전 문제 , 다음 문제
문제(100)
37 옥탄(C8H18)을 완전연소 시킬 때의 AFR(Air Fuel Ratio)은? (단, 무게비 기준으로 한다.) 38 황화수소의 연소반응식이 다음 보기와 같을 때 황화수소 1Sm3의 이론연소공기량(Sm3)은? 39 어떤 액체연료를 보일러에서 완전연소시켜 그 배출가스를 Orsat 분석 장치로서 분석하여 CO2 15%, O2 5%의 결과를 얻었다면 이때 과잉공기계수는? (단, 일산화탄소 발생량은 없다.) 40 다음 연소의 종류 중 흑연, 코크스, 목탄 등과 같이 대부분 탄소만으로 되어있는 고체연료에서 관찰되는 연소형태는? 41 중력침전을 결정하는 중요 매개변수는 먼지입자의 침전속도이다. 다음 중 먼지의 침전속도 결정과 가장 관계가 깊은 것은? 42 처리가스량 25420 m3/h, 압력손실이 100mmH2O인 집진장치의 송풍기 소요동력(kW)은 약 얼마인가? (단, 송풍기 효율은 60%, 여유율율은 1.3이다.) 43 다음은 활성탄의 고온 활성화 재생방법으로 적용될 수 있는 다단로(multi-hearth furnace)와 회전로(rotary kiln)의 비교표이다. 비교 내용 중 옳지 않은 것은? 44 다음 악취물질 중 공기 중의 최소 감지 농도가 가장 낮은 것은? 45 환기 및 후드에 관한 설명으로 옳지 않은 것은? 46 접선유입식 원심력 집진장치의 특징에 관한 설명 중 옳은 것은? 47 A집진장치의 입구 및 출구의 배출가스 중 먼지의 농도가 각각 15g/Sm3, 150mg/Sm3이었다. 또한 입구 및 출구에서 채취한 먼지시료중에 포함된 0∼5μm의 입경분포의 중량 백분율이 각각 10%, 60%이었다면 이 집진장치의 0∼5μm의 입경범위의 먼지시료에 대한 부분집진율(%)은? 48 직경이 D인 구형입자의 비교면적(Sv, m2/m3)에 관한 설명으로 옳지 않은 것은? (단, p는 구형입자의 밀도이다.
61 배출가스 중 질소산화물 농도 측정방법으로 옳지 않은 것은? 62 적정법에 의한 배출가스 중 브롬화합물의 정량 시 과잉의 하이포아염소산염을 환원시키는데 사용하는 것은? 63 화학반응 공정 등에서 배출되는 굴뚝 배출가스 중 일산화탄소 분석방법에 따른 정량범위로 틀린 것은? 64 액의 농도에 관한 설명으로 옳지 않은 것은? 65 대기오염공정시험기준상 비분산적외선분광분석법에서 응답시간에 관한 설명이다. ( )안에 알맞은 것은? 66 대기 및 굴뚝 배출 기체중의 오염물질을 연속적으로 측정하는 비분산 정필터형 적외선 가스 분석계(고정형)의 성능 유지조건에 대한 설명으로 옳은 것은? 67 굴뚝 배출가스 유속을 피토우관으로 측정한 결과가 다음과 같을 때 배출가스 유속(m/s)는? 68 기체크로마토그래피의 장치구성에 관한 설명으로 옳지 않은 것은? 69 배출가스 중 가스상 물질의 시료 채취방법 중 다음 분석물질별 흡수액과의 연결이 옳지 않은 것은?(문제 오류로 가답안 발표시 3번으로 발표되었지만 최종정답 발표시 2, 3번이 정답 처리 되었습니다. 여기서는 가답안인 3번을 누르면 정답 처리 됩니다.) 70 다음 중 굴뚝에서 배출되는 가스의 유량을 측정하는 기기가 아닌 것은? 71 배출가스 중 암모니아를 인도페놀법으로 분석할 때 암모니아와 같은 양으로 공존하면 안 되는 물질은? 72 다음은 배출가스 중 입자상 아연화합물의 자외선가시선 분광법에 관한 설명이다. ( )안에 알맞은 것은?(관련 규정 개정전 문제로 여기서는 기존 정답인 2번을 누르면 정답 처리됩니다. 자세한 내용은 해설을 참고하세요.)
73 대기오염공정시험기준상 원자흡수분광광도법 분석 장치 중 시료원자화장치에 관한 설명으로 옳지 않은 것은? 74 배출허용기준 중 표준산소농도를 적용받는 항목에 대한 배출가스량 보정식으로 옳은 것은? (단, Q: 배출가스유량(Sm3/일), Qa: 실측배출가스유량(Sm3/일), Os : 표준산소농도(%), Oa : 실측산소농도(%)) 75 공정시험방법상 환경대기중의 탄화수소 농도를 측정하기 위한 주시험법은? 76 대기오염공정시험기준상 분석시험에 있어 기재 및 용어에 관한 설명으로 옳은 것은? 77 굴뚝배출가스 중 수분량이 체적백분율로 10%이고, 배출가스의 온도는 80℃, 시료채취량은 10L, 대기압은 0.6기압, 가스미터 게이지압은 25mmHg, 가스미터온도 80℃에서의 수증기포화압이 255mmHg라 할 때, 흡수된 수분량(g)은? 78 굴뚝배출가스 중 아황산가스의 자동연속 측정방법 중 자외선 흡수분석계에 관한 설명으로 옳지 않은 것은? 79 배출가스 중 이황화탄소를 자외선가시선분광법으로 정량할 때 흡수액으로 옳은 것은? 80 원자흡광분석에서 발생하는 간섭 중 분석에 사용하는 스펙트럼의 불꽃 중에서 생성되는 목적원소의 원자증기 이외의 물질에 의하여 흡수되는 경우에 발생되는 것은? 81 대기환경보전법령상 기본부과금 산정기준 중 “수산자원보호구역”의 지역별 부과계수는? (단, 지역구분은 국토의 계획 및 이용에 관한 법률에 의한다.) 82 대기환경보전법규상 사업자는 자가측정 시 측정한 여과지 및 시료채취기록지는 환경오염공정시험기준에 따라 측정한 날부터 얼마동안 보존(기준)하여야 하는가? 83 환경정책기본법령상 각 항목별 대기환경기준으로 옳지 않은 것은? (단, 기준치는 24시간 평균치이다.) 84 대기환경보전법령상 초과부과금의 부과대상이 되는 오염물질이 아닌 것은?
85 실내공기질 관리법규상 “영화상영관”의 실내공기질 유지기준(μg/m3)은? (단, 항목은 미세먼지 (PM-10)(μg/m3)이다.) 86 대기환경보전법규상 한국환경공단이 환경부장관에게 행하는 위탁업무 보고사항 중 “자동차배출가스 인증생략 현황”의 보고 횟수 기준은? 87 대기환경보전법규상 수도권대기환경청장, 국립환경과학원장 또는 한국환경공단이 설치하는 대기오염 측정망에 해당하는 것은? 88 악취방지법상 악취검사를 위한 관계 공무원의 출입·채취 및 검사를 거부 또는 방해하거나 기피한 자에 대한 벌칙기준은? 89 다음은 대기환경보전법령상 시·도지사가 배출시설의 설치를 제한할 수 있는 경우이다. ( )안에 알맞은 것은? 90 다음은 대기환경보전법규상 비산먼지 발생을 억제하기 위한 시설의 설치 및 필요한 조치에 관한 엄격한 기준이다. ( )안에 알맞은 것은? 91 실내공기질 관리법규상 “산후조리원”의 현행 실내공기질 권고기준으로 옳지 않은 것은? 92 실내공기질 관리법규상 신축 공동주택의 오염물질 항목별 실내공기질 권고기준으로 옳지 않은 것은? 93 다음은 대기환경보전법규상 미세먼지(PM-10)의 “주의보” 발령기준 및 해제기준이다. ( )안에 알맞은 것은? 94 다음은 대기환경보전법규상 고체연료 사용시설 설치기준 이다. ( )안에 가장 적합한 것은? 95 대기환경보전법상 제작차배출허용기준에 맞지 아니하게 자동차를 제작한 자에 대한 벌칙기준은? 96 대기환경보전법령상 인증을 생략할 수 있는 자동차에 해당하지 않는 것은?
App Store Google Play
오늘학습 예시 이미지

시험에 합격하려면
복습을 제대로 해야 합니다.

오늘학습은 스스로 기억을 떠올리고 계획적으로 복습할 수 있도록 설계돼 있어요.
그것도, 가장 과학적인 방식으로요!

능동적 회상

능동적 회상
(Active Recall)

배운 내용을 단순 읽으며 반복하는 것이 아니라,
능동적으로 기억하고 있는지를
스스로 테스트하며
공부할 수 있는
학습 환경을 제공해 학습 효과를 높여요

간격 반복 학습

간격 반복 학습
(Spaced Repetition)

에빙하우스 망각곡선을 바탕으로
가장 최적의 시점에 복습을 제공하여
배운 내용이 잊히지 않도록 장기 기억화해요

Data 기반의
뇌과학적 복습 시스템

학습 결과 Data를 분석해, 문제별 최적화된
반복 학습량을
자동으로 분배해요.
학습에 소요되는 시간을 최소화하는
동시에
단기 기억을 장기 기억으로 전환해줘요.

36만 개 이상의
기출문제 무료 제공

공무원 및 약 300여종의 자격증 시험 기출문제
36만개
이상을 무료로 이용할 수 있어요.
여러 앱을 설치할 필요
없이, 오늘학습 하나로
모든 시험을 준비할 수 있어요.

다양한 문제 유형으로 만드는
나만의 단어장&문제집

기출 외에도 외워야 하는 내용은
객관식, 주관식, 카드, 빈칸
등 다양한 형식으로
직접 만들어 보세요. 내 학습 스타일에
맞게
나만의 단어장과 문제집을 만들 수 있어요.

시험별 체계적인
문제 관리

시험에 문제를 추가해 체계적으로
관리할 수 있어요.
주제나 단원별로
분류하고 싶다면,
시험에 챕터를 만들어
문제를 추가할 수도 있어요.

수십만 명이
오늘학습을 사랑합니다

앱 스토어 평점 4.9
구글 플레이 평점 4.8
누적 회원수 100,000+
지금 오늘학습을
시작해보세요
지금 시작하기
문제 선택