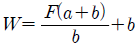
보일러 및 압력용기에 대한 방사선투과검사(ASME Sec.V Art2)의 이동방사선투과시험(In-Motion Radiography)에서 방사선 빔의 폭을 결정하는 식은? (단, W는 이동방향에서 측정된 시험체의 표면에서의 빔 폭 A는 다이아프램 slit의 이동방향으로의 폭, b 는 선원으로부터 다이아프램의 시험체쪽 표면까지의 거리, C는 다이아프램의 시험체쪽 표면으로부터 시험체까지의 거리, F는 선원의 크기이다.)
지금 시작하기 →

・・・ 문제은행 방사선비파괴검사기사(2017년 2회) 77번

방사선비파괴검사기사 2017년 09월 77번

보일러 및 압력용기에 대한 방사선투과검사(ASME Sec.V Art2)의 이동방사선투과시험(In-Motion Radiography)에서 방사선 빔의 폭을 결정하는 식은? (단, W는 이동방향에서 측정된 시험체의 표면에서의 빔 폭 A는 다이아프램 slit의 이동방향으로의 폭, b 는 선원으로부터 다이아프램의 시험체쪽 표면까지의 거리, C는 다이아프램의 시험체쪽 표면으로부터 시험체까지의 거리, F는 선원의 크기이다.)

1
2
3
4
단축키
이전 문제로 이동은 키를 누르고, 다음 문제로 이동은 키를 누르세요
이전 문제 , 다음 문제
문제(80)
25 콤프턴효과가 일어나기 전과 후에 X선의 광량자와 전자사이에 성립하는 법칙으로 옳은 것은? 26 상호법칙에서 광화학반응의 결과는 방사선의 강도와 노출시간의 곱으로 표현된다. 다음 중 상호법칙에 적용되지 않는 것은? 27 CO-60 방사성 원소의 붕괴 형식에 대한 설명으로 옳은 것은? 28 X선이 회절현상을 일으키는 데 필요한 X 선의 파장(λ), X선의 입사각(θ), 결정격자 간격(d) 사이의 관계를 나타내는 식 nλ=2dsinθ을 무엇이라고 하는가? (단, n은 정수이다.) 29 방사선투과검사에서 사용되는 Se-75에 대한 설명으로 옳은 것은? 30 방사선투과검사에서 M1ㆍT1=M2ㆍT2의 관계로부터 노출시간의 감소는 전류가 증가 하므로 보상된다. M1ㆍT1=M2ㆍT2=C 라 할 때 이를 무슨 법칙이라 하는가? (단, M1, M2는 전류, T1, T2는 노출시간 C는 상수이다.) 31 물리적 반감기에 대한 설명으로 옳은 것은? 32 γ선의 입자 광자수 4000개가 좁은 평행선 속으로 1.5cm 두께의 구리판을 투과한 후 2000개의 광자수로 감소하였다면 이 물질의 선흡수계수는(cm-1)는? 33 피사체 콘트라스트에 관한 설명으로 틀린 것은? 34 방사성 동위원소 중 일부만 방사선투과검사용 선원으로 이용되고 있는 이유로 틀린 것은? 35 전자쌍생성을 위하여 음전자와 양전자의 정지질량의 합에 해당하는 에너지는 얼마 이상이어야 하는가? 36 방사선 검출기의 종류 중 기체의 전리작용을 이용한 검출기가 아닌 것은?
61 원자력안전법 시행규칙에서 규정한 사용신고대상 방사선발생장치의 용량은 얼마인가? 62 원자력안전법에서 정하는 방사선의 운반종사자에 대한 연간 유효선량한도는? (문제 오류로 실제 시험에서는 모두 정답처리 되었습니다. 여기서는 1번을 누르면 정답 처리 됩니다.) 63 Ir-192 20Ci가 149일이 지나면 activity는 약 얼마인가? 64 방사선작업 경험이 없는 일반인 30세 남자의 경우 연간 유효선량한도는? 65 보일러 및 압력용기에 대한 방사선투과검사(ASME Sec.V Art2)에서 조건을 만족하는 필름과 밀착된 피시험체의 두께는? (단, 선원-시험체 표면간 거리= 40인치 선원크기= 0.5인치, 기하학적 불선명도(Ug)=0.019인치 이다.) 66 감마선이나 엑스선의 차폐 시 고려되어야 할 사항이 아닌것은? 67 보일러 및 압력용기에 대한 방사선투과검사(ASME Sec. V Art.2)에 따라 선형투과도계를 사용할 때 이 투과도계 내에는 몇 개의 바늘로 구성되어 있는가? 68 다음 중 방사선에 대한 반가층의 두께가 가장 얇은 차폐재는? 69 섬광검출기는 어느 현상을 이용하여 방사선을 측정하는가? 70 α선을 방출하는 방사선물질에 대하여 원자력안전법에서 허용하는 최대 표면오염도는 얼마인가? 71 강용접 이음부의 방사선투과 시험방법(KS B 0845)에 따라 모재두께가 30mm인 강용접부를 판독할 때 길이 9mm인 제2종 흠은 몇류로 분류하는가? 72 강용접 이음부의 방사선 투과시험방법(KS B 0845)에서 강판 맞대기 용접부의 모재 두께가 11mm이고, A급 상질을 요구하는 계조계의 값(농도차/농도)은 얼마인가?
73 주강품의 방사선 투과시험방법(KS D 0227)에서 항상 6류로 분류되는 결함은? 74 원자력안전법 시행규칙에 의해 방사선량을 측정하여야 하는 장소에 해당되지 않는 것은? 75 알루미늄의 T형 용접부 방사선투과시험방법(KS D 0245)에 따라 시험할 때 재료 두께가 20mm 미만인 곳을 검사하려면 계조계의 어느 형이 가장 적당한가? 76 강용접 이음부의 방사선투과 시험방법(KS B 0845)에 따라 시험 시 계조계의 관의 바깥지름이 얼마 이상인 경우 사용되는가? 77 보일러 및 압력용기에 대한 방사선투과검사(ASME Sec.V Art2)의 이동방사선투과시험(In-Motion Radiography)에서 방사선 빔의 폭을 결정하는 식은? (단, W는 이동방향에서 측정된 시험체의 표면에서의 빔 폭 A는 다이아프램 slit의 이동방향으로의 폭, b 는 선원으로부터 다이아프램의 시험체쪽 표면까지의 거리, C는 다이아프램의 시험체쪽 표면으로부터 시험체까지의 거리, F는 선원의 크기이다.) 78 Ir-192 선원으로 방사선투과시험 시 방사선 안전관리에 필요한 장비로만 조합된 것은? 79 보일러 및 압력용기에 대한 방사선투과검사(ASME Sec.V, Art.2)의 투과도계 1T,2T,4T에서 T의 의미는? 80 보일러 및 압력용기에 대한 방사선투과검사(ASME Sec.V, Art.2) 에 의거 내부 선원법에 의하여 전 원주 용접부를 동시에 촬영할 때 요구되는 최소 투과도계의 개수는?
App Store Google Play
오늘학습 예시 이미지

시험에 합격하려면
복습을 제대로 해야 합니다.

오늘학습은 스스로 기억을 떠올리고 계획적으로 복습할 수 있도록 설계돼 있어요.
그것도, 가장 과학적인 방식으로요!

능동적 회상

능동적 회상
(Active Recall)

배운 내용을 단순 읽으며 반복하는 것이 아니라,
능동적으로 기억하고 있는지를
스스로 테스트하며
공부할 수 있는
학습 환경을 제공해 학습 효과를 높여요

간격 반복 학습

간격 반복 학습
(Spaced Repetition)

에빙하우스 망각곡선을 바탕으로
가장 최적의 시점에 복습을 제공하여
배운 내용이 잊히지 않도록 장기 기억화해요

Data 기반의
뇌과학적 복습 시스템

학습 결과 Data를 분석해, 문제별 최적화된
반복 학습량을
자동으로 분배해요.
학습에 소요되는 시간을 최소화하는
동시에
단기 기억을 장기 기억으로 전환해줘요.

36만 개 이상의
기출문제 무료 제공

공무원 및 약 300여종의 자격증 시험 기출문제
36만개
이상을 무료로 이용할 수 있어요.
여러 앱을 설치할 필요
없이, 오늘학습 하나로
모든 시험을 준비할 수 있어요.

다양한 문제 유형으로 만드는
나만의 단어장&문제집

기출 외에도 외워야 하는 내용은
객관식, 주관식, 카드, 빈칸
등 다양한 형식으로
직접 만들어 보세요. 내 학습 스타일에
맞게
나만의 단어장과 문제집을 만들 수 있어요.

시험별 체계적인
문제 관리

시험에 문제를 추가해 체계적으로
관리할 수 있어요.
주제나 단원별로
분류하고 싶다면,
시험에 챕터를 만들어
문제를 추가할 수도 있어요.

수십만 명이
오늘학습을 사랑합니다

앱 스토어 평점 4.9
구글 플레이 평점 4.8
누적 회원수 100,000+
지금 오늘학습을
시작해보세요
지금 시작하기
문제 선택