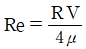
원형관 내의 흐름상태를 판단하기 위한 레이놀즈 수(Re)의 산출식으로 옳은 것은? (단, R은 경심, D는 관의 직경, V는 유속, μ는 점성계수, ν는 동점성계수, ρ는 밀도이다.)
지금 시작하기 →

・・・ 문제은행 정수시설운영관리사 2급 1차(2025년 2회) 62번

정수시설운영관리사 2급 1차 2025년 09월 62번

원형관 내의 흐름상태를 판단하기 위한 레이놀즈 수(Re)의 산출식으로 옳은 것은? (단, R은 경심, D는 관의 직경, V는 유속, μ는 점성계수, ν는 동점성계수, ρ는 밀도이다.)

1
2
3
4
단축키
이전 문제로 이동은 키를 누르고, 다음 문제로 이동은 키를 누르세요
이전 문제 , 다음 문제
문제(80)
25 시료 100 mL를 0.002 M 과망간산칼륨용액으로 적정하여 1.1 mL 소비되었다. 정제수를 사용하여 시료와 같은 방법으로 시험할 때 과망간산칼륨용액이 0.1 mL 소비되었다면 시료의 과망간산칼륨 소비량(mg/L)은 얼마인가? (단, 0.002 M 과망간산칼륨용액의 농도계수(f)는 1.0000이다.) 26 먹는물 수질감시항목 운영 등에 관한 고시상 랑게리아지수(Langelier Index, LI) 결정인자로 옳지 않은 것은? 27 수처리제의 기준과 규격 및 표시기준상 차아염소산나트륨에 관한 설명으로 옳지 않은 것은? 28 정수장에서 수질과 연동하여 응집제를 자동으로 투입하려 하는 경우 활용할 수 있는 측정기기로 옳지 않은 것은? 29 막여과 정수시설의 설치기준상 ( )에 들어갈 내용으로 옳은 것은? 30 불활성화비 계산방법 및 정수처리 인증 등에 관한 규정상 소독에 의해 요구되는지 아디아 포낭의 불활성화율에 관한 내용이다. 다음 중 옳은 것을 모두 고른 것은? 31 먹는물 수질감시항목 운영 등에 관한 고시상 과불화화합 물(PFCs) 측정방법과 관련하여 옳지 않은 것은? 32 정수처리기준 운영을 위한 추적자시험에 관한 설명으로 옳지 않은 것은? 33 상수원관리규칙상 광역 및 지방상수도에서 지하수가 상수원인 경우 원수의 수질 측정 횟수로 옳은 것은? 34 수도법령상 수도시설의 기술진단에 관한 설명으로 옳은 것은? 35 수도법상 일반수도사업자가 수도시설의 관리에 관한 교육을 받지 아니하거나 받지 아니하게 한 경우 벌칙 기준으로 옳은 것은? 36 환경정책기본법령상 약간의 오염물질은 있으나 용존산소가 많은 상태의 다소 좋은 생태계로 여과ㆍ침전ㆍ살균 등 일반적인 정수처리 후 생활용수 또는 수영용수로 사용할 수 있는 상태 등급은?
61 한계류(critical flow)에 관한 설명으로 옳은 것은? 62 원형관 내의 흐름상태를 판단하기 위한 레이놀즈 수(Re)의 산출식으로 옳은 것은? (단, R은 경심, D는 관의 직경, V는 유속, μ는 점성계수, ν는 동점성계수, ρ는 밀도이다.) 63 Manning 공식을 적용할 때 고려해야 할 인자로 옳지 않은 것은? 64 계획 정수량 1,000 m3/d인 여과지의 여과면적이 50 m2일 때, 여과속도(m/d)는 얼마인가? 65 펌프장에서 흡입구의 유속 1.6 m/s, 펌프의 양수량 0.02 m3/s일 때, 토출관의 지름(mm)은 약 얼마인가? 66 임펠러의 직경이 동일할 때, 펌프의 상사법칙에서 동력(P)과 분당 회전수(N)의 관계식으로 옳은 것은? (단, P1은 N1일 때 동력, P2는 N2일 때 동력이다.) 67 직경 200 mm의 관로가 직경 500 mm로 급확대될 때, 유량이 0.2 m3/s라면 단면 급확대로 인한 손실수두(m)는 약 얼마인가? (단, 중력가속도는 9.8 m/s2이다.) 68 단위중량의 차원을 [MLT]계로 표시한 것은? 69 길이 50 m, 폭 10 m, 유효수심 4 m의 제원을 갖는 장방형침전지를 이용하여 정수 처리하고 있다. 물속에 포함된 입자의 침강속도가 2 cm/min인 경우, 입자의 완전 제거를 위한 유량(m3/d)은? (단, 침전입자는 스토크스(Stokes) 법칙이 성립하는 제1형 독립침전을 따른다.) 70 단위가 없는 물리량을 모두 고른 것은? 71 지름 150 cm인 관에 3.0 m/s의 유속으로 물이 가득차서 흐르고 있다. 이 관로의 500 m 구간 마찰손실수두가 8 m일 때 마찰손실계수는 약 얼마인가? 72 급속여과지에 관한 설명으로 옳은 것은?
App Store Google Play
오늘학습 예시 이미지

시험에 합격하려면
복습을 제대로 해야 합니다.

오늘학습은 스스로 기억을 떠올리고 계획적으로 복습할 수 있도록 설계돼 있어요.
그것도, 가장 과학적인 방식으로요!

능동적 회상

능동적 회상
(Active Recall)

배운 내용을 단순 읽으며 반복하는 것이 아니라,
능동적으로 기억하고 있는지를
스스로 테스트하며
공부할 수 있는
학습 환경을 제공해 학습 효과를 높여요

간격 반복 학습

간격 반복 학습
(Spaced Repetition)

에빙하우스 망각곡선을 바탕으로
가장 최적의 시점에 복습을 제공하여
배운 내용이 잊히지 않도록 장기 기억화해요

Data 기반의
뇌과학적 복습 시스템

학습 결과 Data를 분석해, 문제별 최적화된
반복 학습량을
자동으로 분배해요.
학습에 소요되는 시간을 최소화하는
동시에
단기 기억을 장기 기억으로 전환해줘요.

36만 개 이상의
기출문제 무료 제공

공무원 및 약 300여종의 자격증 시험 기출문제
36만개
이상을 무료로 이용할 수 있어요.
여러 앱을 설치할 필요
없이, 오늘학습 하나로
모든 시험을 준비할 수 있어요.

다양한 문제 유형으로 만드는
나만의 단어장&문제집

기출 외에도 외워야 하는 내용은
객관식, 주관식, 카드, 빈칸
등 다양한 형식으로
직접 만들어 보세요. 내 학습 스타일에
맞게
나만의 단어장과 문제집을 만들 수 있어요.

시험별 체계적인
문제 관리

시험에 문제를 추가해 체계적으로
관리할 수 있어요.
주제나 단원별로
분류하고 싶다면,
시험에 챕터를 만들어
문제를 추가할 수도 있어요.

수십만 명이
오늘학습을 사랑합니다

앱 스토어 평점 4.9
구글 플레이 평점 4.8
누적 회원수 100,000+
지금 오늘학습을
시작해보세요
지금 시작하기
문제 선택