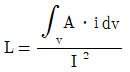
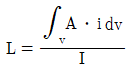
자기유도계수 L의 계산 방법이 아닌 것은? (단, N : 권수, ø : 자속(Wb), I : 전류(A), A : 벡터퍼텐셜(Wb/m), i : 전류밀도(A/m2), B(Wb/m2), H : 자계의 세기(AT/m)이다.
지금 시작하기 →

・・・ 문제은행 전기기사(2020년 1회) 17번

전기기사 2020년 06월 17번

자기유도계수 L의 계산 방법이 아닌 것은? (단, N : 권수, ø : 자속(Wb), I : 전류(A), A : 벡터퍼텐셜(Wb/m), i : 전류밀도(A/m2), B(Wb/m2), H : 자계의 세기(AT/m)이다.

1
2
3
4
단축키
이전 문제로 이동은 키를 누르고, 다음 문제로 이동은 키를 누르세요
이전 문제 , 다음 문제
문제(100)
13 면적이 매우 넓은 두 개의 도체판을 d(m) 간격으로 수평하게 평행 배치하고, 이 평행 도체 판 사이에 놓인 전자가 정지하고 있기 위해서 그 도체 판 사이에 가하여야할 전위차(V)는? (단, g는 중력 가속도이고, m은 전자의 질량이고, e는 전자의 전하량이다.) 14 진공 중 3m 간격으로 두 개의 평행판 무한평판 도체에 각각 +4C/m2, -4C/m2의 전하를 주었을 때, 두 도체 간의 전위차는 약 몇 V인가? 15 평등자계 내에 전자가 수직으로 입사하였을 때 전자의 운동에 대한 설명으로 옳은 것은? 16 자속밀도 B(Wb/m2)의 평등 자계 내에서 길이 ℓ(m) 인 도체 ab가 속도 v(m/s)로 그림과 같이 도선을 따라서 자계와 수직으로 이동할 때, 도체 ab에 의해 유기된 기전력의 크기 e(V)와 폐회로 abcd 내 저항 R에 흐르는 전류의 방향은? (단, 폐회로 abcd 내 도선 및 도체의 저항은 무시한다.) 17 자기유도계수 L의 계산 방법이 아닌 것은? (단, N : 권수, ø : 자속(Wb), I : 전류(A), A : 벡터퍼텐셜(Wb/m), i : 전류밀도(A/m2), B(Wb/m2), H : 자계의 세기(AT/m)이다. 18 면적이 S(m2)이고 극간의 거리가 d(m)인 평행판 콘덴서에 비유전율이 εr인 유전체를 채울 때 정전용량 (F)은? (단, ε0는 진공의 유전율이다.) 19 그림에서 N=1000회, l=100㎝, S=10cm2인 환상 철심의 자기 회로에 전류 I=10(A)를 흘렸을 때 축적되는 자계 에너지는 몇 J인가? (단, 비투자율 μr=100이다.) 20 20℃에서 저항의 온도계수가 0.002인 니크롬선의 저항이 100Ω이다. 온도가 60℃로 상승되면 저항은 몇 Ω이 되겠는가? 21 송배전 선로에서 선택지락계전기(SGR)의 용도는? 22 3상 3선식에서 전선 한 가닥에 흐르는 전류는 단상 2선식의 경우의 몇 배가 되는가? (단, 송전전력, 부하역률, 송전 거리, 전력손실 및 선간전압이 같다.) 23 단로기에 대한 설명으로 틀린 것은? 24 중성점 직접접지방식의 발전기가 있다. 1선 지락 사고 시지락전류는? (단, Z1, Z2, Z3는 각각 정상, 역상, 영상 임피던스이며, Ea는 지락된 상의 무부하 기전력이다.
37 3상 배전선로의 말단에 역률 60%(늦음), 60kW의 평형 3상 부하가 있다. 부하점에 부하와 병렬로 전력용콘덴서를 접속하여 선로손실을 최소로 하고자 할 때 콘덴서 용량(kVA)은? (단, 부하단의 전압은 일정하다.) 38 화력발전소에서 절탄기의 용도는? 39 변전소에서 비접지 선로의 접지보호용으로 사용되는 계전기에 영상전류를 공급하는 것은? 40 사고, 정전 등의 중대한 영향을 받는 지역에서 정전과 동시에 자동적으로 예비전원용 배전선로로 전환하는 장치는? 41 3상 20,000kVA인 동기발전기가 있다. 이 발전기는 60㎐일 때는 200rpm, 50㎐일 때는 약 167rpm으로 회전한 다. 이 동기발전기의 극수는? 42 전원전압이 100V인 단상 전파정류제어에서 점호각이 30°일 때 직류 평균전압은 약 몇 V인가? 43 단자전압 110V, 전기자 전류 15 A, 전기자 회로의 저항 2Ω, 정격속도 1800rpm으로 전부하에서 운전하고 있는 직류 분권전동기의 토크는 약 몇 Nㆍm인가? 44 단상 유도전동기의 분상 기동형에 대한 설명으로 틀린 것은? 45 직류발전기에 P(Nㆍm/s)의 기계적 동력을 주면 전력은 몇 W로 변환되는가? (단, 손실은 없으며, Ia는 전기자 도체의 전류, e는 전기자 도체의 유기기전력, Z는 총도체수이다.) 46 용량 1kVA, 3000/200V의 단상변압기를 단권변압기로 결선해서 3000/3200V의 승압기로 사용할 때 그 부하 용량(kVA)은? 47 유도전동기를 정격상태로 사용 중, 전압이 10 % 상승할 때 특성변화로 틀린 것은? (단, 부하는 일정토크라고 가정 한다.) 48 단상 유도전동기의 기동 시 브러시를 필요로 하는 것은?
73 선로의 단위 길이 당 인덕턴스, 저항, 정전용량, 누설 컨덕턴스를 각각 L, R, C, G라 하면 전파정수는? 74 v(t)=3+5√2sinωt+10√2sin(3ωt-π/3)(V)의 실효값 크기는 약 몇 V인가? 75 회로에서 0.5Ω 양단 전압(V)은 약 몇 V인가? 76 그림은 회로에서 영상임피던스 Z01이 6Ω일 때, 저항 R의 값은 몇 Ω인가? 77 8+j6(Ω)인 임피던스에 13+j20 (V)의 전압을 인가할 때 복소전력은 약 몇 VA인가? 78 그림과 같이 결선된 회로의 단자 (a, b, c)에 선간전압 V(V)인 평형 3상 전압을 인가할 때 상전류 I(A)의 크기는? 79 Y 결선의 평형 3상 회로에서 선간전압 Vab와 상전압 Van의 관계로 옳은 것은? (단, ) 80 RLC 직렬회로의 파라미터가 의 관계를 가진다면, 이 회로에 직류 전압을 인가하는 경우 과도 응답특성은? 81 백열전등 또는 방전등에 전기를 공급하는 옥내전로의 대지전압은 몇 V 이하이어야 하는가? (단, 백열전등 또는 방전등 및 이에 부속하는 전선은 사람이 접촉할 우려가 없도록 시설한 경우이다.) 82 연료전지 및 태양전지 모듈의 절연내력시험을 하는 경우 충전부분과 대지 사이에 인가하는 시험전압은 얼마인가? (단, 연속하여 10분간 가하여 견디는 것이어야 한다.) 83 저압 수상전선로에 사용되는 전선은? 84 교류 전차선 등과 삭도 또는 그 지주 사이에 이격거리를 몇 m 이상 이격하여야 하는가?(오류 신고가 접수된 문제입니다. 반드시 정답과 해설을 확인하시기 바랍니다.)
85 출퇴표시등 회로에 전기를 공급하기 위한 변압기는 1차측 전로의 대지전압이 300V 이하, 2차측 전로의 사용전압은 몇 V 이하인 절연변압기이어야 하는가?(관련 규정 개정전 문제로 여기서는 기존 정답인 1번을 누르면 정답 처리됩니다. 자세한 내용은 해설을 참고하세요.) 86 수소 냉각식 발전기 등의 시설기준으로 틀린 것은? 87 전개된 장소에서 저압 옥상전선로의 시설기준으로 적합하지 않은 것은? 88 케이블 트레이 공사에 사용하는 케이블 트레이에 적합하지 않은 것은? 89 가공전선로의 지지물의 강도계산에 적용하는 풍압하중은 빙설이 많은 지방 이외의 지방에서 저온계절에는 어떤 풍압하중을 적용하는가? (단, 인가가 연접되어 있지 않다고 한다.) 90 전개된 건조한 장소에서 400V 이상의 저압옥내배선을할 때 특별히 정해진 경우를 제외하고는 시공할 수 없는 공사는? 91 가공전선로의 지지물에 시설하는 지선으로 연선을 사용할 경우 소선은 최소 몇 가닥 이상이어야 하는가? 92 440V 옥내 배선에 연결된 전동기 회로의 절연저항 최소값은 몇 MΩ인가?(2021년 변경된 KEC 규정 적용됨) 93 태양전지 발전소에 시설하는 태양전지 모듈, 전선 및 개폐기 기타 기구의 시설기준에 대한 내용으로 틀린 것은? 94 지중 전선로를 직접 매설식에 의하여 시설할 때, 중량물의 압력을 받을 우려가 있는 장소에 저압 또는 고압의 지중전선을 견고한 트라프 기타 방호물에 넣지 않고도 부설할 수 있는 케이블은? 95 중성점 직접 접지식 전로에 접속되는 최대사용전압 161kV 인 3상 변압기 권선(성형결선)의 절연내력시험을 할 때접지시켜서는 안 되는 것은? 96 저압 가공전선로 또는 고압 가공전선로의 기설 가공 약전류 전선로가 병행하는 경우에는 유도작용에 의한 통신상의 장해가 생기지 아니하도록 전선과 기설 약전류 전선간의 이격거리는 몇 m 이상이어야 하는가? (단, 전기철도용 급전선로는 제외한다.)
App Store Google Play
오늘학습 예시 이미지

시험에 합격하려면
복습을 제대로 해야 합니다.

오늘학습은 스스로 기억을 떠올리고 계획적으로 복습할 수 있도록 설계돼 있어요.
그것도, 가장 과학적인 방식으로요!

능동적 회상

능동적 회상
(Active Recall)

배운 내용을 단순 읽으며 반복하는 것이 아니라,
능동적으로 기억하고 있는지를
스스로 테스트하며
공부할 수 있는
학습 환경을 제공해 학습 효과를 높여요

간격 반복 학습

간격 반복 학습
(Spaced Repetition)

에빙하우스 망각곡선을 바탕으로
가장 최적의 시점에 복습을 제공하여
배운 내용이 잊히지 않도록 장기 기억화해요

Data 기반의
뇌과학적 복습 시스템

학습 결과 Data를 분석해, 문제별 최적화된
반복 학습량을
자동으로 분배해요.
학습에 소요되는 시간을 최소화하는
동시에
단기 기억을 장기 기억으로 전환해줘요.

36만 개 이상의
기출문제 무료 제공

공무원 및 약 300여종의 자격증 시험 기출문제
36만개
이상을 무료로 이용할 수 있어요.
여러 앱을 설치할 필요
없이, 오늘학습 하나로
모든 시험을 준비할 수 있어요.

다양한 문제 유형으로 만드는
나만의 단어장&문제집

기출 외에도 외워야 하는 내용은
객관식, 주관식, 카드, 빈칸
등 다양한 형식으로
직접 만들어 보세요. 내 학습 스타일에
맞게
나만의 단어장과 문제집을 만들 수 있어요.

시험별 체계적인
문제 관리

시험에 문제를 추가해 체계적으로
관리할 수 있어요.
주제나 단원별로
분류하고 싶다면,
시험에 챕터를 만들어
문제를 추가할 수도 있어요.

수십만 명이
오늘학습을 사랑합니다

앱 스토어 평점 4.9
구글 플레이 평점 4.8
누적 회원수 100,000+
지금 오늘학습을
시작해보세요
지금 시작하기
문제 선택