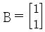
제어시스템의 상태방정식이 , , 일 때, 특성방정식을 구하면?
지금 시작하기 →

・・・ 문제은행 전기기사(2020년 2회) 66번

전기기사 2020년 08월 66번

제어시스템의 상태방정식이 , , 일 때, 특성방정식을 구하면?

1
s2-4s-3=0
2
s2-4s+3=0
3
s2+4s+3=0
4
s2+4s-3=0
단축키
이전 문제로 이동은 키를 누르고, 다음 문제로 이동은 키를 누르세요
이전 문제 , 다음 문제
문제(100)
1 분극의 세기 P, 전계 E, 전속밀도 D의 관계를 나타낸 것으로 옳은 것은? (단, ε0는 진공의 유전율이고, εr은 유전체의 비유전율이고, ε은 유전체의 유전율이다.) 2 그림과 같은 직사각형의 평면 코일이 인 자계에 위치하고 있다. 이 코일에 흐르는 전류가 5A일 때 z축에 있는 코일에서의 토크는 약 몇 N·m 인가? 3 내부 장치 또는 공간을 물질로 포위시켜 외부 자계의 영향을 차폐시키는 방식을 자기차폐라 한다. 다음 중 자기차폐에 가장 적합한 것은? 4 주파수가 100MHz 일 때 구리의 표피두께(skin depth)는 약 몇 mm 인가? (단, 구리의 도전율은 5.9×107 ℧/m 이고, 비투자율은 0.99 이다.) 5 압전기 현상에서 전기 분극이 기계적 응력에 수직한 방향으로 발생하는 현상은? 6 구리의 고유저항은 20℃에서 1.69×10-8 Ω·m 이고 온도계수는 0.00393 이다. 단면적이 2mm2 이고 100m 인 구리선의 저항값은 40℃에서 약 몇 Ω 인가? 7 전위경도 V와 전계 E의 관계식은? 8 정전계에서 도체에 정(+)의 전하를 주었을 때의 설명으로 틀린 것은? 9 평행 도선에 같은 크기의 왕복 전류가 흐를 때 두 도선 사이에 작용하는 힘에 대한 설명으로 옳은 것은? 10 비유전율 3, 비투자율 3인 매질에서 전자기파의 진행속도 v(m/s)와 진공에서의 속도 v0(m/s)의 관계는? 11 대지의 고유저항이 ρ(Ω·m)일 때 반지름이 a(m)인 그림과 같은 반구 접지극의 접지저항(Ω)은? 12 공기 중에서 2V/m의 전계의 세기에 의한 변위전류밀도의 크기를 2A/m2으로 흐르게 하려면 전계의 주파수는 약 몇 MHz가 되어야 하는가?
13 2장의 무한 평판 도체를 4cm의 간격으로 놓은 후 평판 도체 간에 일정한 전계를 인가하였더니 평판 도체 표면에 2μC/m2의 전하밀도가 생겼다. 이 때 평행 도체 표면에 작용하는 정전응력은 약 몇 N/m2 인가? 14 자성체 내의 자계의 세기가 H(AT/m)이고 자속밀도가 B(Wb/m2)일 때, 자계 에너지 밀도(J/m3)는? 15 임의의 방향으로 배열되었던 강자성체의 자구가 외부 자기장의 힘이 일정치 이상이 되는 순간에 급격히 회전하여 자기장의 방향으로 배열되고 자속밀도가 증가하는 현상을 무엇이라 하는가? 16 반지름이 5mm, 길이가 15mm, 비투자율이 50인 자성체 막대에 코일을 감고 전류를 흘려서 자성체 내의 자속밀도를 50 Wb/m2으로 하였을 때 자성체 내에서의 자계의 세기는 몇 A/m 인가? 17 반지름이 30cm인 원판 전극의 평행판 콘덴서가 있다. 전극의 간격이 0.1cm 이며 전극 사이 유전체의 비유전율이 4.0 이라 한다. 이 콘덴서의 정전용량은 약 몇 μF 인가? 18 한 변의 길이가 l(m)인 정사각형 도체 회로에 전류 I(A)를 흘릴 때 회로의 중심점에서의 자계의 세기는 몇 AT/m 인가? 19 정전용량이 각각 C1=1μF, C2=2μF인 도체에 전하 Q1=-5μC, Q2=2μC을 각각 주고 각 도체를 가는 철사로 연결하였을 때 C1에서 C2로 이동하는 전하 Q(μC)는? 20 정전용량이 0.03μF인 평행판 공기 콘덴서의 두 극판 사이에 절반 두께의 비유전율 10인 유리판을 극판과 평행하게 넣었다면 이 콘덴서의 정전용량은 약 몇 μF이 되는가? 21 3상 전원에 접속된 △결선의 커패시터를 Y결선으로 바꾸면 진상 용량 QY(kVA)는? (단, Q△는 △결선된 커패시터의 진상 용량이고, QY는 Y결선된 커패시터의 진상 용량이다.) 22 교류 배전선로에서 전압강하 계산식은 Vd = k(Rcosθ+Xsinθ)I로 표현된다. 3상 3선식 배전선로인 경우에 k는? 23 송전선에서 뇌격에 대한 차폐 등을 위해 가선하는 가공지선에 대한 설명으로 옳은 것은? 24 배전선의 전력손실 경감 대책이 아닌 것은?
25 그림과 같은 이상 변압기에서 2차 측에 5Ω의 저항부하를 연결하였을 때 1차 측에 흐르는 전류(I)는 약 몇 A 인가? 26 전압과 유효전력이 일정할 경우 부하 역률이 70%인 선로에서의 저항 손실(P70%)은 역률이 90%인 선로에서의 저항 손실(P90%)과 비교하면 약 얼마인가? 27 3상 3선식 송전선에서 L을 작용 인턱턴스라 하고, Le 및 Lm은 대지를 귀로로 하는 1선의 자기 인덕턴스 및 상호 인덕턴스라고 할 때 이들 사이의 관계식은? 28 표피효과에 대한 설명으로 옳은 것은? 29 배전선로의 전압을 3kV에서 6kV로 승압하면 전압강하율(δ)은 어떻게 되는가? (단, δ3kV는 전압이 3kV일 때 전압강하율이고, δ6kV는 전압이 6kV일 때 전압강하율이고, 부하는 일정하다고 한다.) 30 계통의 안정도 증진대책이 아닌 것은? 31 1상의 대지 정전용량이 0.5㎌, 주파수가 60Hz인 3상 송전선이 있다. 이 선로에 소호리액터를 설치한다면, 소호리액터의 공진 리액턴스는 약 몇 Ω이면 되는가? 32 배전선로의 고장 또는 보수 점검 시 정전구간을 축소하기 위하여 사용되는 것은? 33 수전단 전력 원선도의 전력 방정식이 Pr2+(Qr+400)2=250000으로 표현되는 전력계통에서 가능한 최대로 공급할 수 있는 부하전력(Pr)과 이때 전압을 일정하게 유지하는데 필요한 무효전력(Qr)은 각각 얼마인가? 34 수전용 변전설비의 1차측 차단기의 차단용량은 주로 어느 것에 의하여 정해지는가? 35 프란시스 수차의 특유속도(m·kW)의 한계를 나타내는 식은? (단, H(m)는 유효낙차이다.) 36 정격전압 6600V, Y결선, 3상 발전기의 중성점을 1선 지락 시 지락전류를 100A로 제한하는 저항기로 접지하려고 한다. 저항기의 저항 값은 약 몇 Ω 인가?
37 송전 철탑에서 역섬락을 방지하기 위한 대책은? 38 조속기의 폐쇄시간이 짧을수록 나타나는 현상으로 옳은 것은? 39 주변압기 등에서 발생하는 제5고조파를 줄이는 방법으로 옳은 것은? 40 복도체에서 2본의 전선이 서로 충돌하는 것을 방지하기 위하여 2본의 전선 사이에 적당한 간격을 두어 설치하는 것은? 41 정격전압 120V, 60Hz인 변압기의 무부하 입력 80W, 무부하 전류 1.4A 이다. 이 변압기의 여자 리액턴스는 약 몇 Ω 인가? 42 서보모터의 특징에 대한 설명으로 틀린 것은? 43 3상 변압기 2차측의 EW 상만을 반대로 하고, Y-Y 결선을 한 경우, 2차 상전압이 EU = 70V, EV = 70V, EW = 70V 라면 2차 선간전압은 약 몇 V 인가? 44 극수 8, 중권 직류기의 전기자 총 도체 수 960, 매극 자속 0.04Wb, 회전수 400 rpm 이라면 유기기전력은 몇 V 인가? 45 3상 유도전동기에서 2차측 저항을 2배로 하면 그 최대토크는 어떻게 변하는가? 46 동기전동기에 일정한 부하를 걸고 계자전류를 0A에서부터 계속 증가시킬 때 관련 설명으로 옳은 것은? (단, Ia는 전기자전류이다.) 47 3kVA, 3000/200V의 변압기의 단락시험에서 임피던스전압 120V, 동손 150W라 하면 %저항 강하는 몇 % 인가? 48 정격출력 50kW, 4극 220V, 60Hz인 3상 유도전동기가 전부하 슬립 0.04, 효율 90%로 운전되고 있을 때 다음 중 틀린 것은?
73 회로에서 20Ω의 저항이 소비하는 전력은 몇 W 인가? 74 RC 직렬회로에서 직류전압 V(V)가 인가되었을 때, 전류 i(t)에 대한 전압 방정식(KVL)이 이다. 전류 i(t)의 라플라스 변환인 I(s)는? (단, C에는 초기 전하가 없다.) 75 선간 전압이 100V 이고, 역률이 0.6인 평형 3상 부하에서 무효전력이 Q=10kvar 일 때, 선전류의 크기는 약 몇 A 인가? 76 그림과 같은 T형 4단자 회로망에서 4단자 정수 A와 C는? (단, Z1=1/Y1, Z2=1/Y2, Z3=1/Y3) 77 어떤 회로의 유효전력이 300W, 무효전력이 400var 이다. 이 회로의 복소전력의 크기(VA)는? 78 R=4Ω, ωL=3Ω의 직렬회로의 e=100√2 sinωt + 50√2 sin3ωt를 인가할 때 이 회로의 소비전력은 약 몇 W 인가? 79 단위 길이 당 인덕턴스가 L(H/m)이고, 단위 길이 당 정전용량이 C(F/m)인 무손실 선로에서의 진행파 속도(m/s)는? 80 t=0에서 스위치(S)를 닫았을 때 t=0+ 에서의 i(t)는 몇 A 인가? (단, 커패시터에 초기 전하는 없다.) 81 345kV 송전선을 사람이 쉽게 들어가지 않는 산지에 시설할 때 전선의 지표상 높이는 몇 m 이상으로 하여야 하는가? 82 변전소에서 오접속을 방지하기 위하여 특고압 전로의 보기 쉬운 곳에 반드시 표시해야 하는 것은? 83 전력 보안 가공통신선의 시설 높이에 대한 기준으로 옳은 것은? 84 가반형의 용접전극을 사용하는 아크 용접장치의 용접변압기의 1차측 전로의 대지전압은 몇 V 이하이어야 하는가?
85 전기온상용 발열선은 그 온도가 몇 ℃를 넘지 않도록 시설하여야 하는가? 86 사용전압이 154kV인 가공전선로를 제1종 특고압 보안공사로 시설할 때 사용되는 경동연선의 단면적은 몇 mm2 이상이어야 하는가? 87 고압용 기계기구를 시가지에 시설할 때 지표상 몇 m 이상의 높이에 시설하고, 또한 사람이 쉽게 접촉할 우려가 없도록 하여야 하는가? 88 발전기, 전동기, 조상기, 기타 회전기(회전변류기 제외)의 절연내력 시험전압은 어느 곳에 가하는가? 89 특고압 지중전선이 지중 약전류전선 등과 접근하거나 교차하는 경우에 상호 간의 이격거리가 몇 cm 이하인 때에만 두 전선이 직접 접촉하지 아니하도록 하여야 하는가? 90 고압 옥내배선의 공사방법으로 틀린 것은? 91 조상설비 내부고장, 과전류 또는 과전압이 생긴 경우 자동적으로 차단되는 장치를 해야하는 전력용 커패시터의 최소 뱅크용량은 몇 kVA 인가? 92 사용전압이 440V인 이동기중기용 접촉전선을 애자사용 공사에 의하여 옥내의 전개된 장소에 시설하는 경우 사용하는 전선으로 옳은 것은? 93 옥내에 시설하는 사용 전압이 400V 이상 1000V 이하인 전개된 장소로서 건조한 장소가 아닌 기타의 장소의 관등회로 배선공사로서 적합한 것은? 94 가공 직류 절연 귀선은 특별한 경우를 제외하고 어느 전선에 준하여 시설하여야 하는가?(오류 신고가 접수된 문제입니다. 반드시 정답과 해설을 확인하시기 바랍니다.)(관련 규정 개정전 문제로 여기서는 기존 정답인 1번을 누르면 정답 처리됩니다. 자세한 내용은 해설을 참고하세요.) 95 저압 가공전선으로 사용할 수 없는 것은?(문제 오류로 가답안 발표시 4번으로 발표되었지만 확정답안 발표시 3, 4번이 정답처리 되었습니다. 여기서는 가답안인 4번을 누르시면 정답 처리 됩니다.) 96 가공전선로의 지지물에 시설하는 지선의 시설기준으로 틀린 것은?
App Store Google Play
오늘학습 예시 이미지

시험에 합격하려면
복습을 제대로 해야 합니다.

오늘학습은 스스로 기억을 떠올리고 계획적으로 복습할 수 있도록 설계돼 있어요.
그것도, 가장 과학적인 방식으로요!

능동적 회상

능동적 회상
(Active Recall)

배운 내용을 단순 읽으며 반복하는 것이 아니라,
능동적으로 기억하고 있는지를
스스로 테스트하며
공부할 수 있는
학습 환경을 제공해 학습 효과를 높여요

간격 반복 학습

간격 반복 학습
(Spaced Repetition)

에빙하우스 망각곡선을 바탕으로
가장 최적의 시점에 복습을 제공하여
배운 내용이 잊히지 않도록 장기 기억화해요

Data 기반의
뇌과학적 복습 시스템

학습 결과 Data를 분석해, 문제별 최적화된
반복 학습량을
자동으로 분배해요.
학습에 소요되는 시간을 최소화하는
동시에
단기 기억을 장기 기억으로 전환해줘요.

36만 개 이상의
기출문제 무료 제공

공무원 및 약 300여종의 자격증 시험 기출문제
36만개
이상을 무료로 이용할 수 있어요.
여러 앱을 설치할 필요
없이, 오늘학습 하나로
모든 시험을 준비할 수 있어요.

다양한 문제 유형으로 만드는
나만의 단어장&문제집

기출 외에도 외워야 하는 내용은
객관식, 주관식, 카드, 빈칸
등 다양한 형식으로
직접 만들어 보세요. 내 학습 스타일에
맞게
나만의 단어장과 문제집을 만들 수 있어요.

시험별 체계적인
문제 관리

시험에 문제를 추가해 체계적으로
관리할 수 있어요.
주제나 단원별로
분류하고 싶다면,
시험에 챕터를 만들어
문제를 추가할 수도 있어요.

수십만 명이
오늘학습을 사랑합니다

앱 스토어 평점 4.9
구글 플레이 평점 4.8
누적 회원수 100,000+
지금 오늘학습을
시작해보세요
지금 시작하기
문제 선택