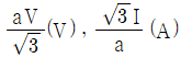
권수비가 a인 단상변압기 3대가 있다. 이것을 1차에 △, 2차에 Y로 결선하여 3상 교류 평형회로에 접속할 때 2차측의 단자전압을 V(V), 전류를 I(A)라고 하면 1차측의 단자전압 및 선전류는 얼마인가? (단, 변압기의 저항, 누설리액턴스, 여자전류는 무시한다.)
지금 시작하기 →

・・・ 문제은행 전기기사(2022년 2회) 52번

전기기사 2022년 04월 52번

권수비가 a인 단상변압기 3대가 있다. 이것을 1차에 △, 2차에 Y로 결선하여 3상 교류 평형회로에 접속할 때 2차측의 단자전압을 V(V), 전류를 I(A)라고 하면 1차측의 단자전압 및 선전류는 얼마인가? (단, 변압기의 저항, 누설리액턴스, 여자전류는 무시한다.)

1
2
3
4
단축키
이전 문제로 이동은 키를 누르고, 다음 문제로 이동은 키를 누르세요
이전 문제 , 다음 문제
문제(100)
1 εr = 81, μr = 1 인 매질의 고유 임피던스는 약 몇 Ω 인가? (단, εr은 비유전율이고, μr은 비투자율이다.) 2 강자성체의 B-H 곡선을 자세히 관찰하면 매끈한 곡선이 아니라 자속밀도가 어느 순간 급격히 계단적으로 증가 또는 감소하는 것을 알 수 있다. 이러한 현상을 무엇이라 하는가? 3 진공 중에 무한 평면도체와 d(m)만큼 떨어진 곳에 선전하밀도 λ(C/m)의 무한 직선도체가 평행하게 놓여 있는 경우 직선 도체의 단위 길이당 받는 힘은 몇 N/m 인가? 4 평행 극판 사이에 유전율이 각각 ε1, ε2 인 유전체를 그림과 같이 채우고, 극판 사이에 일정한 전압을 걸었을 때 두 유전체 사이에 작용하는 힘은? (단, ε1 > ε2) 5 정전용량이 20μF인 공기의 평행판 커패시터에 0.1C의 전하량을 충전하였다. 두 평행판 사이에 비유전율이 10인 유전체를 채웠을 때 유전체 표면에 나타나는 분극 전하량(C)은? 6 유전율이 ε1과 ε2인 두 유전체가 경계를 이루어 평행하게 접하고 있는 경우 유전율이 ε1인 영역에 전하 Q가 존재할 때 이 전하와 ε2인 유전체 사이에 작용하는 힘에 대한 설명으로 옳은 것은? 7 단면적이 균일한 환상철심에 권수 100회인 A코일과 권수 400회인 B코일이 있을 때 A코일의 자기 인덕턴스가 4H라면 두 코일의 상호 인덕턴스는 몇 H 인가? (단, 누설자속은 0 이다) 8 평균 자로의 길이가 10cm, 평균 단면적이 2cm2인 환상 솔레노이드의 자기 인덕턴스를 5.4mH 정도로 하고자 한다. 이때 필요한 코일의 권선수는 약 몇 회인가? (단, 철심의 비투자율은 15000 이다) 9 투자율이 μ(H/m), 단면적이 S(m2), 길이가 l(m)인 자성체에 권선을 N회 감아서 I(A)의 전류를 흘렸을 때 이 자성체의 단면적 S(m2)를 통과하는 자속(Wb)은? 10 그림은 커패시터의 유전체 내에 흐르는 변위전류를 보여준다. 커패시터의 전극 면적을 S(m2), 전극에 축적된 전하를 q(C), 전극의 표면전하 밀도를 σ(C/m2), 전극 사이의 전속밀도를 D(C/m2)라 하면 변위전류밀도 id(A/m2)는? 11 진공 중에서 점(1, 3)m의 위치에 -2×10-9C의 점전하가 있을 때 점(2, 1)m에 있는 1C의 점전하에 작용하는 힘은 몇 N 인가? (단, 는 단위벡터이다.) 12 정전용량이 C0(μF)인 평행판의 공기 커패시터가 있다. 두 극판 사이에 극판과 평행하게 절반을 비유전율이 εr인 유전체로 채우면 커패시터의 정전용량 (μF)은?
13 그림과 같이 점 O를 중심으로 반지름이 a(m)인 구도체 1과 안쪽 반지름이 b(m)이고 바깥쪽 반지름이 C(m)인 구도체 2가 있다. 이 도체계에서 전위계수 P11(1/F)에 해당하는 것은? 14 자계의 세기를 나타내는 단위가 아닌 것은? 15 그림과 같이 평행한 무한장 직선의 두 도선에 I(A), 4I(A)인 전류가 각각 흐른다. 두 도선 사이 점 P에서의 자계의 세기가 0 이라면 a/b 는? 16 내압 및 정전용량이 각각 1000V –2μF, 700V –3μF, 600V –4μF, 300V -8μF인 4개의 커패시터가 있다. 이 커패시터들을 직렬로 연결하여 양단에 전압을 인가한 후, 전압을 상승시키면 가장 먼저 절연이 파괴되는 커패시터는? (단, 커패시터의 재질이나 형태는 동일하다.) 17 반지름이 2m이고, 권수가 120회인 원형코일 중심에서의 자계의 세기를 30 AT/m로 하려면 원형코일에 몇 A의 전류를 흘려야 하는가? 18 내구의 반지름이 a = 5cm, 외구의 반지름이 b = 10cm 이고, 공기로 채워진 동심구형 커패시터의 정전용량은 약 몇 pF 인가? 19 자성체의 종류에 대한 설명으로 옳은 것은? (단, χm는 자화율이고, μr는 비투자율이다.) 20 구좌표계에서 ∇2r 의 값은 얼마인가? (단, ) 21 피뢰기의 충격방전 개시전압은 무엇으로 표시하는가? 22 전력용 콘덴서에 비해 동기조상기의 이점으로 옳은 것은? 23 단락 보호방식에 관한 설명으로 틀린 것은? 24 밸런서의 설치가 가장 필요한 배전방식은?
25 부하전류가 흐르는 전로는 개폐할 수 없으나 기기의 점검이나 수리를 위하여 회로를 분리하거나, 계통의 접속을 바꾸는데 사용하는 것은? 26 정전용량 0.01μF/km, 길이 173.2km, 선간전압 60kV, 주파수 60Hz인 3상 송전선로의 충전전류는 약 몇 A 인가? 27 보호계전기의 반한시ㆍ정한시 특성은? 28 전력계통의 안정도에서 안정도의 종류에 해당하지 않는 것은? 29 배전선로의 역률 개선에 따른 효과로 적합하지 않은 것은? 30 저압뱅킹 배전방식에서 캐스케이딩현상을 방지하기 위하여 인접 변압기를 연락하는 저압선의 중간에 설치하는 것으로 알맞은 것은? 31 승압기에 의하여 전압 Ve에서 Vh로 승압할 때, 2차 정격전압 e, 자기용량 W인 단상 승압기가 공급할 수 있는 부하용량은? 32 배기가스의 여열을 이용해서 보일러에 공급되는 급수를 예열함으로써 연료 소비량을 줄이거나 증발량을 증가시키기 위해서 설치하는 여열회수 장치는? 33 직렬콘덴서를 선로에 삽입할 때의 이점이 아닌 것은? 34 전선의 굵기가 균일하고 부하가 균등하게 분산되어 있는 배전선로의 전력손실은 전체 부하가 선로 말단에 집중되어 있는 경우에 비하여 어느 정도가 되는가? 35 송전단 전압 161kV, 수전단 전압 154kV, 상차각 35°, 리액턴스 60Ω 일 때 선로 손실을 무시하면 전송전력(MW)은 약 얼마인가? 36 직접접지방식에 대한 설명으로 틀린 것은?
37 그림과 같이 지지점 A, B, C에는 고저차가 없으며, 경간 AB와 BC 사이에 전선이 가설되어 그 이도가 각각 12cm 이다. 지지점 B에서 전선이 떨어져 전선의 이도가 D로 되었다면 D의 길이(cm)는? (단, 지지점 B는 A와 C의 중점이며 지지점 B에서 전선이 떨어지기 전, 후의 길이는 같다.) 38 수차의 캐비테이션 방지책으로 틀린 것은? 39 송전선로에 매설지선을 설치하는 목적은? 40 1회선 송전선과 변압기의 조합에서 변압기의 여자 어드미턴스를 무시하였을 경우 송수전단의 관계를 나타내는 4단자 정수 C0는? (단, A0 = A + CZts, B0 = B + AZtr + DZts + CZtr Zts, D0 = D + CZtr 여기서, Zts 는 송전단변압기의 임피던스이며, Ztr 은 수전단변압기의 임피던스이다.) 41 단상 변압기의 무부하 상태에서 V1 = 200sin(ωt+30°)(V) 의 전압이 인가되었을 때 Io = 3sin(ωt+60°) + 0.7sin(3ωt+180°)(A) 의 전류가 흘렀다. 이때 무부하손은 약 몇 W 인가? 42 단상 직권 정류자 전동기의 전기자 권선과 계자 권선에 대한 설명으로 틀린 것은? 43 전부하시의 단자전압이 무부하시의 단자전압보다 높은 직류발전기는? 44 직류기의 다중 중권 권선법에서 전기자 병렬회로 수 a와 극수 P 사이의 관계로 옳은 것은? (단, m은 다중도이다.) 45 슬립 st에서 최대 토크를 발생하는 3상 유도전동기에 2차측 한상의 저항을 r2라 하면 최대 토크로 기동하기 위한 2차측 한 상에 외부로부터 가해 주어야 할 저항(Ω)은? 46 단상 변압기를 병렬 운전할 경우 부하전류의 분담은? 47 스텝 모터(step motor)의 장점으로 틀린 것은? 48 380V, 60Hz, 4극, 10kW인 3상 유도전동기의 전부하 슬립이 4%이다. 전원 전압을 10% 낮추는 경우 전부하 슬립은 약 몇 % 인가?
49 3상 권선형 유도전동기의 기동 시 2차측 저항을 2배로 하면 최대토크 값은 어떻게 되는가? 50 직류 분권전동기에서 정출력 가변속도의 용도에 적합한 속도제어법은? 51 직류 분권전동기의 전기자전류가 10A일 때 5Nㆍm의 토크가 발생하였다. 이 전동기의 계자의 자속이 80%로 감소되고, 전기자전류가 12A로 되면 토크는 약 Nㆍm 인가? 52 권수비가 a인 단상변압기 3대가 있다. 이것을 1차에 △, 2차에 Y로 결선하여 3상 교류 평형회로에 접속할 때 2차측의 단자전압을 V(V), 전류를 I(A)라고 하면 1차측의 단자전압 및 선전류는 얼마인가? (단, 변압기의 저항, 누설리액턴스, 여자전류는 무시한다.) 53 3상 전원전압 220V를 3상 반파정류회로의 각 상에 SCR을 사용하여 정류제어 할 때 위상각을 60°로 하면 순 저항부하에서 얻을 수 있는 출력전압 평균값은 약 몇 V 인가?(문제 오류로 가답안 발표시 2번이 답안으로 발표되었으나, 확정답안 발표시 전항 정답 처리 되었습니다. 여기서는 가답안인 2번을 누르면 정답 처리 됩니다.) 54 유도자형 동기발전기의 설명으로 옳은 것은? 55 3상 동기발전기의 여자전류 10A에 대한 단자전압이 1000√3 V, 3상 단락전류가 50A 인 경우 동기임피던스는 몇 Ω 인가? 56 동기발전기에서 무부하 정격전압일 때의 여자전류를 Ifo, 정격부하 정격전압일 때의 여자전류를 If1, 3상 단락 정격전류에 대한 여자전류를 Ifs라 하면 정격속도에서의 단락비 K는? 57 변압기의 습기를 제거하여 절연을 향상시키는 건조법이 아닌 것은? 58 극수 20, 주파수 60Hz인 3상 동기발전기의 전기자권선이 2층 중권, 전기자 전 슬롯 수 180, 각 슬롯 내의 도체 수 10, 코일피치 7슬롯인 2중 성형결선으로 되어 있다. 선간전압 3300V를 유도하는데 필요한 기본파 유효자속은 약 몇 Wb인가? (단, 코일피치와 자극피치의 비 β = 7/9 이다) 59 2방향성 3단자 사이리스터는 어느 것인가? 60 일반적인 3상 유도전동기에 대한 설명으로 틀린 것은?
73 상의 순서가 a-b-c인 불평형 3상 교류회로에서 각 상의 전류가 Ia = 7.28∠15.95°(A), Ib = 12.81∠-128.66°(A), Ic = 7.21∠123.69°(A) 일 때 역상분 전류는 약 몇 A 인가? 74 그림과 같은 T형 4단자 회로의 임피던스 파라미터 Z22는? 75 그림과 같은 부하에 선간전압이 Vab = 100∠30°(V)인 평형 3상 전압을 가했을 때 선전류 Ia(A)는? 76 분포정수로 표현된 선로의 단위 길이당 저항이 0.5Ω/km, 인덕턴스가 1μH/km, 커패시스턴스가 6μF/km일 때 일그러짐이 없는 조건(무왜형 조건)을 만족하기 위한 단위 길이당 컨덕턴스(℧/m)는?(문제 오류로 가답안 발표시 3번이 답안으로 발표되었으나, 확정답안 발표시 전항 정답 처리 되었습니다. 여기서는 가답안인 3번을 누르면 정답 처리 됩니다.) 77 그림 (a)의 Y결선 회로를 그림 (b)의 △결선회로로 등가 변환했을 때 Rab, Rbc, Rca는 각각 몇 Ω 인가? (단, Ra = 2Ω, Rb = 3Ω, Rc = 4Ω) 78 다음과 같은 비정현파 교류 전압 v(t)와 전류 i(t)에 의한 평균전력은 약 몇 W 인가? 79 회로에서 , I3= 5.0(A), Z3 = 1.0Ω 일 때 부하(Z1, Z2, Z3) 전체에 대한 복소 전력은 약 몇 VA 인가? 80 는? 81 풍력터빈의 피뢰설비 시설기준에 대한 설명으로 틀린 것은? 82 샤워시설이 있는 욕실 등 인체가 물에 젖어있는 상태에서 전기를 사용하는 장소에 콘센트를 시설할 경우 인체감전보호용 누전차단기의 정격감도전류는 몇 mA 이하인가? 83 강관으로 구성된 철탑의 갑종 풍압하중은 수직 투영면적 1m2에 대한 풍압을 기초로 하여 계산한 값이 몇 Pa 인가? (단, 단주는 제외한다.) 84 한국전기설비규정에 따른 용어의 정의에서 감전에 대한 보호 등 안전을 위해 제공되는 도체를 말하는 것은?
85 통신상의 유도 장해방지 시설에 대한 설명이다. 다음 ( )에 들어갈 내용으로 옳은 것은? 86 주택의 전기저장장치의 축전지에 접속하는 부하 측 옥내배선을 사람이 접촉할 우려가 없도록 케이블배선에 의하여 시설하고 전선에 적당한 방호장치를 시설한 경우 주택의 옥내전로의 대지전압은 직류 몇 V 까지 적용할 수 있는가? (단, 전로에 지락이 생겼을 때 자동적으로 전로를 차단하는 장치를 시설한 경우이다.) 87 전압의 구분에 대한 설명으로 옳은 것은? 88 고압 가공전선로의 가공지선으로 나경동선을 사용할 때의 최소 굵기는 지름 몇 mm 이상인가? 89 특고압용 변압기의 내부에 고장이 생겼을 경우에 자동차단장치 또는 경보장치를 하여야 하는 최소 뱅크용량은 몇 kVA 인가? 90 합성수지관 및 부속품의 시설에 대한 설명으로 틀린 것은? 91 사용전압이 22.9kV인 가공전선이 철도를 횡단하는 경우, 전선의 레일면상의 높이는 몇 m 이상인가? 92 가공전선로의 지지물에 시설하는 통신선 또는 이에 직접 접속하는 가공 통신선이 철도 또는 궤도를 횡단하는 경우 그 높이는 레일면상 몇 m 이상으로 하여야 하는가? 93 전력보안통신설비의 조가선은 단면적 몇 mm2 이상의 아연도강연선을 사용하여야 하는가? 94 가요전선관 및 부속품의 시설에 대한 내용이다. 다음 ( )에 들어갈 내용으로 옳은 것은? 95 사용전압이 154kV인 전선로를 제1종 특고압 보안공사로 시설할 경우, 여기에 사용되는 경동연선의 단면적은 몇 mm2 이상이어야 하는가? 96 사용전압이 400V 이하인 저압 옥측전선로를 애자공사에 의해 시설하는 경우 전선 상호 간의 간격은 몇 m 이상이어야 하는가? (단, 비나 이슬에 젖지 않는 장소에 사람이 쉽게 접촉될 우려가 없도록 시설한 경우이다.)
App Store Google Play
오늘학습 예시 이미지

시험에 합격하려면
복습을 제대로 해야 합니다.

오늘학습은 스스로 기억을 떠올리고 계획적으로 복습할 수 있도록 설계돼 있어요.
그것도, 가장 과학적인 방식으로요!

능동적 회상

능동적 회상
(Active Recall)

배운 내용을 단순 읽으며 반복하는 것이 아니라,
능동적으로 기억하고 있는지를
스스로 테스트하며
공부할 수 있는
학습 환경을 제공해 학습 효과를 높여요

간격 반복 학습

간격 반복 학습
(Spaced Repetition)

에빙하우스 망각곡선을 바탕으로
가장 최적의 시점에 복습을 제공하여
배운 내용이 잊히지 않도록 장기 기억화해요

Data 기반의
뇌과학적 복습 시스템

학습 결과 Data를 분석해, 문제별 최적화된
반복 학습량을
자동으로 분배해요.
학습에 소요되는 시간을 최소화하는
동시에
단기 기억을 장기 기억으로 전환해줘요.

36만 개 이상의
기출문제 무료 제공

공무원 및 약 300여종의 자격증 시험 기출문제
36만개
이상을 무료로 이용할 수 있어요.
여러 앱을 설치할 필요
없이, 오늘학습 하나로
모든 시험을 준비할 수 있어요.

다양한 문제 유형으로 만드는
나만의 단어장&문제집

기출 외에도 외워야 하는 내용은
객관식, 주관식, 카드, 빈칸
등 다양한 형식으로
직접 만들어 보세요. 내 학습 스타일에
맞게
나만의 단어장과 문제집을 만들 수 있어요.

시험별 체계적인
문제 관리

시험에 문제를 추가해 체계적으로
관리할 수 있어요.
주제나 단원별로
분류하고 싶다면,
시험에 챕터를 만들어
문제를 추가할 수도 있어요.

수십만 명이
오늘학습을 사랑합니다

앱 스토어 평점 4.9
구글 플레이 평점 4.8
누적 회원수 100,000+
지금 오늘학습을
시작해보세요
지금 시작하기
문제 선택