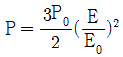
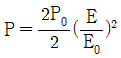
길이에 따라 비례하는 저항 값을 가진 어떤 전열선에 E0(V)의 전압을 인가하면 P0(W)의 전력이 소비된다. 이 전열선을 잘라 원래 길이의 2/3 로 만들고 E(V)의 전압을 가한다면 소비전력 P(W)는?
지금 시작하기 →

・・・ 문제은행 전기기사(2019년 2회) 71번

전기기사 2019년 04월 71번

길이에 따라 비례하는 저항 값을 가진 어떤 전열선에 E0(V)의 전압을 인가하면 P0(W)의 전력이 소비된다. 이 전열선을 잘라 원래 길이의 2/3 로 만들고 E(V)의 전압을 가한다면 소비전력 P(W)는?

1
2
3
4
단축키
이전 문제로 이동은 키를 누르고, 다음 문제로 이동은 키를 누르세요
이전 문제 , 다음 문제
문제(100)
1 어떤 환상 솔레노이드의 단면적이 S이고, 자로의 길이가 ℓ, 투자율이 μ라고 한다. 이 철심에 균등하게 코일을 N회 감고 전류를 흘렸을 때 자기 인덕턴스에 대한 설명으로 옳은 것은? 2 상이한 매질의 경계면에서 전자파가 만족해야 할 조건이 아닌 것은? (단, 경계면은 두 개의 무손실 매질 사이이다.) 3 유전율이 ε, 도전율이 σ, 반경이 r1, r2(r1 < r2) 길이가 l인 동축케이블에서 저항 R은 얼마인가? 4 단면적 S, 길이 l, 투자율 μ인 자성체의 자기회로에 권선을 N회 감아서 I의 전류를 흐르게 할 때 자속은? 5 30V/m의 전계내의 80V 되는 점에서 1C의 전하를 전계 방향으로 80cm 이동한 경우, 그 점의 전위(V)는? 6 도전율 σ인 도체에서 전장 E에 의해 전류밀도 J가 흘렀을 때 이 도체에서 소비되는 전력을 표시한 식은? 7 자극의 세기가 8×10-6Wb, 길이가 3cm인 막대자석을 120 AT/m의 평등자계 내에 자력선과 30°의 각도로 놓으면 이 막대자석이 받는 회전력은 몇 N ㆍ m인가? 8 정상전류계에서 옴의 법칙에 대한 미분형은? (단, i는 전류밀도, k는 도전율, ρ는 고유저항, E는 전계의 세기이다.) 9 자기인덕턴스의 성질을 옳게 표현한 것은? 10 4A전류가 흐르는 코일과 쇄교하는 자속수가 4Wb이다. 이 전류 회로에 축척되어 있는 자기 에너지(J)는? 11 진공 중에서 빛의 속도와 일치하는 전자파의 전파속도를 얻기 위한 조건으로 옳은 것은? 12 그림과 같이 평행한 무한장 직선도선에 I(A), 4I(A)인 전류가 흐른다. 두 선 사이의 점 P에서 자계의 세기가 0이라고 하면 a/b 는?
13 자기회로와 전기회로의 대응으로 틀린 것은? 14 자속밀도가 0.3 Wb/m2 인 평등자계 내에 5A의 전류가 흐르는 길이 2m인 직선도체가 있다 이 도체를 자계 방향에 대하여 60°의 각도로 놓았을 때 이 도체가 받는 힘은 약 몇 N 인가? 15 진공 중에서 한 변이 a(m) 인 정사각형 단일 코일이 있다. 코일에 I(A)의 전류를 흘릴 때 정사각형 중심에서 자계의 세기는 몇 AT/m 인가? 16 진공내의 점(3, 0, 0) (m)에 4×10-9 C의 전하가 있다. 이 때 점(6, 4, 0) (m)의 전계의 크기는 약 몇 V/m 이며,전계의 방향을 표시하는 단위벡터는 어떻게 표시되는가? 17 전속밀도 D=X2i+Y2j+Z2k (C/m2) 를 발생시키는 점(1, 2, 3)에서의 체적 전하밀도는 몇 C/m3 인가? 18 다음 식 중에서 틀린 것은? 19 어떤 대전체가 진공 중에서 전속이 Q(C) 이었다. 이 대전체를 비유전율 10인 유전체 속으로 가져갈 경우에 전속(C)은? 20 다음 중 스토크스(stokes)의 정리는? 21 직류 송전방식에 관한 설명으로 틀린 것은? 22 유효낙차 100m, 최대사용수량 20m3/s, 수차효율 70% 인 수력발전소의 연간 발전전력량은 약 몇 kWh 인가? (단, 발전기의 효율은 85%라고 한다.) 23 일반 회로정수가 A, B, C, D이고 송전단 전압이 ES 인 경우 무부하시 수전단 전압은? 24 한 대의 주상변압기에 역률(뒤짐) cosθ1, 유효전력 P1(kW)의 부하와 역률(뒤짐) cosθ2, 유효전력 P2(kW)의 부하가 병렬로 접속되어 있을 때 주상변압기 2차 측에서 본 부하의 종합역률은 어떻게 되는가?
37 변전소에서 접지를 하는 목적으로 적절하지 않은 것은? 38 그림과 같은 2기 계통에 있어서 발전기에서 전동기로 전달되는 전력 P는? (단, X=XG+XL+XM 이고 EG, EM은 각각 발전기및 전동기의 유기기전력, δ는 EG와 EM간의 상차각이다.) 39 변전소, 발전소 등에 설치하는 피뢰기에 대한 설명 중 틀린 것은? 40 부하역률이 cosθ 인 경우 배전선로의 전력손실은 같은 크기의 부하전력으로 역률이 1인 경우의 전력손실에 비하여 어떻게 되는가? 41 100V, 10A, 1500rpm인 직류 분권발전기의 정격 시의 계자전류는 2A이다. 이 때 계자 회로에는 10Ω의 외부저항이 삽입되어 있다. 계자권선의 저항(Ω)은? 42 직류발전기의 외부 특성곡선에서 나타내는 관계로 옳은 것은? 43 가정용 재봉틀, 소형공구, 영사기, 치과의료용, 엔진 등에 사용하고 있으며, 교류, 직류 양쪽 모두에 사용되는 만능전동기는? 44 동기발전기에 회전계자형을 사용하는 경우에 대한 이유로 틀린 것은? 45 전력용 변압기에서 1차에 정현파 전압을 인가하였을 때, 2차에 정현파 전압이 유기되기 위해서는 1차에 흘러 들어가는 여자전류는 기본파 전류 외에 주로 몇 고조파 전류가 포함되는가? 46 동기발전기의 병렬 운전 중 위상차가 생기면 어떤 현상이 발생하는가? 47 변압기에서 사용되는 변압기유의 구비 조건으로 틀린 것은? 48 상전압 200V의 3상 반파정류회로의 각 상에 SCR을 사용하여 정류제어 할 때 위상각을 π/6 로 하면 순 저항부하에서 얻을 수 있는 직류전압(V)은?
49 그림은 전원전압 및 주파수가 일정할 때의 다상 유도전동기의 특성을 표시하는 곡선이다. 1차 전류를 나타내는 곡선은 몇 번 곡선인가? 50 동기전동기가 무부하 운전 중에 부하가 걸리면 동기전동기의 속도는? 51 직류기발전기에서 양호한 정류(整流)를 얻는 조건으로 틀린 것은? 52 스텝각이 2°, 스테핑주파수(pulse rate)가 1800pps인 스테핑모터의 축속도(rps)는? 53 직류기에 관련된 사항으로 잘못 짝지어진 것은? 54 단상 변압기의 병렬운전 시 요구사항으로 틀린 것은? 55 변압기의 누설리액턴스를 나타낸 것은? (단, N은 권수이다.) 56 3상 동기발전기의 매극 매상의 슬롯수를 3이라 할 때 분포권 계수는? 57 정격전압 220V, 무부하 단자전압 230V, 정격출력이 40kW인 직류 분권발전기의 계자저항이 22Ω, 전기자 반작용에 의한 전압강하가 5V라면 전기자 회로의 저항(Ω)은 약 얼마인가? 58 유도전동기로 동기전동기를 기동하는 경우, 유도전동기의 극수는 동기전동기의 극수보다 2극 적은 것은 사용하는 이유로 옳은 것은? (단, s는 슬립이며 NS는 동기속도이다.) 59 50Hz로 설계된 3상 유도전동기를 60Hz에 사용하는 경우 단자전압을 110%로 높일 때 일어나는 현상으로 틀린 것은? 60 단상 유도전동기의 토크에 대한 2차 저항을 어느 정도 이상으로 증가시킬 때 나타나는 현상으로 옳은 것은?(문제 오류로 가답안 발표시 1번으로 발표되었지만 확정답안 발표시 모두 정답 처리 되었습니다. 여기서는 1번을 누르면 정답 처리 됩니다.)
85 전기집진장치에 특고압을 공급하기 위한 전기설비로서 변압기로부터 정류기에 이르는 케이블을 넣는 방호장치의 금속제 부분에 사람이 접촉할 우려가 없도록 시설하는 경우 제 몇 종 접지공사로 할 수 있는가?(관련 규정 개정전 문제로 여기서는 기존 정답인 3번을 누르면 정답 처리됩니다. 자세한 내용은 해설을 참고하세요.) 86 가공전선로의 지지물에 취급자가 오르고 내리는데 사용하는 발판 볼트 등은 지표상 몇 m 미만에 시설하여서는 아니되는가? 87 특고압 가공전선로의 지지물로 사용하는 B종 철주에서 각도형은 전선로 중 몇 도를 넘는 수평 각도를 이루는 곳에 사용되는가? 88 빙설의 정도에 따라 풍압하중을 적용하도록 규정하고 있는 내용 중 옳은 것은? (단, 빙설이 많은 지방 중 해안지방 기타 저온계절에 최대풍압이 생기는 지방은 제외한다.) 89 조상설비의 조상기(調相機) 내부에 고장이 생긴 경우에 자동적으로 전로로부터 차단하는 장치를 시설해야 하는 뱅크용량(kVA)으로 옳은 것은? 90 고압 가공전선로에 사용하는 가공지선으로 나경동선을 사용할 때의 최소 굵기(mm)는? 91 440V용 전동기의 외함을 접지할 때 접지저항 값은 몇 Ω 이하로 유지하여야 하는가?(관련 규정 개정전 문제로 여기서는 기존 정답인 1번을 누르면 정답 처리됩니다. 자세한 내용은 해설을 참고하세요.) 92 전로에 시설하는 고압용 기계기구의 철대 및 금속제외함에는 제 몇 종 접지공사를 하여야 하는가?(관련 규정 개정전 문제로 여기서는 기존 정답인 1번을 누르면 정답 처리됩니다. 자세한 내용은 해설을 참고하세요.) 93 차량 기타 중량물의 압력을 받을 우려가 있는 장소에 지중 전선로를 직접 매설식으로 시설하는 경우 매설깊이는 몇 m 이상이어야 하는가?(2021년 개정된 KEC 규정 적용됨) 94 저압 옥내배선의 사용전압이 400V 미만인 경우 버스덕트 공사는 몇 종 접지공사를 하여야 하는가?(관련 규정 개정전 문제로 여기서는 기존 정답인 3번을 누르면 정답 처리됩니다. 자세한 내용은 해설을 참고하세요.) 95 고압용 기계기구를 시설하여서는 안 되는 경우는? 96 특고압용 변압기의 보호장치인 냉각장치에 고장이 생긴 경우 변압기의 온도가 현저하게 상승한 경우에 이를 경보하는 장치를 반드시 하지 않아도 되는 경우는?
App Store Google Play
오늘학습 예시 이미지

시험에 합격하려면
복습을 제대로 해야 합니다.

오늘학습은 스스로 기억을 떠올리고 계획적으로 복습할 수 있도록 설계돼 있어요.
그것도, 가장 과학적인 방식으로요!

능동적 회상

능동적 회상
(Active Recall)

배운 내용을 단순 읽으며 반복하는 것이 아니라,
능동적으로 기억하고 있는지를
스스로 테스트하며
공부할 수 있는
학습 환경을 제공해 학습 효과를 높여요

간격 반복 학습

간격 반복 학습
(Spaced Repetition)

에빙하우스 망각곡선을 바탕으로
가장 최적의 시점에 복습을 제공하여
배운 내용이 잊히지 않도록 장기 기억화해요

Data 기반의
뇌과학적 복습 시스템

학습 결과 Data를 분석해, 문제별 최적화된
반복 학습량을
자동으로 분배해요.
학습에 소요되는 시간을 최소화하는
동시에
단기 기억을 장기 기억으로 전환해줘요.

36만 개 이상의
기출문제 무료 제공

공무원 및 약 300여종의 자격증 시험 기출문제
36만개
이상을 무료로 이용할 수 있어요.
여러 앱을 설치할 필요
없이, 오늘학습 하나로
모든 시험을 준비할 수 있어요.

다양한 문제 유형으로 만드는
나만의 단어장&문제집

기출 외에도 외워야 하는 내용은
객관식, 주관식, 카드, 빈칸
등 다양한 형식으로
직접 만들어 보세요. 내 학습 스타일에
맞게
나만의 단어장과 문제집을 만들 수 있어요.

시험별 체계적인
문제 관리

시험에 문제를 추가해 체계적으로
관리할 수 있어요.
주제나 단원별로
분류하고 싶다면,
시험에 챕터를 만들어
문제를 추가할 수도 있어요.

수십만 명이
오늘학습을 사랑합니다

앱 스토어 평점 4.9
구글 플레이 평점 4.8
누적 회원수 100,000+
지금 오늘학습을
시작해보세요
지금 시작하기
문제 선택