정전용량이 C1이고, V1의 전압에서 Qr의 무효전력을 발생하는 콘덴서가 있다. 정전용량을 변화시켜 2배로 승압된 전압(2V1)에서도 동일한 무효전력 Qr을 발생시키고자 할 때, 필요한 콘덴서의 정전용량 C2는?
지금 시작하기 →

・・・ 문제은행 전기기사(2021년 1회) 39번

전기기사 2021년 03월 39번

정전용량이 C1이고, V1의 전압에서 Qr의 무효전력을 발생하는 콘덴서가 있다. 정전용량을 변화시켜 2배로 승압된 전압(2V1)에서도 동일한 무효전력 Qr을 발생시키고자 할 때, 필요한 콘덴서의 정전용량 C2는?

1
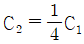
C2 = 4C1
2
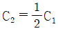
C2 = 2C1
3
4
단축키
이전 문제로 이동은 키를 누르고, 다음 문제로 이동은 키를 누르세요
이전 문제 , 다음 문제
문제(100)
1 평등 전계 중에 유전체 구에 의한 전속 분포가 그림과 같이 되었을 때 ε1과 ε2의 크기 관계는? 2 커패시터를 제조하는 데 4가지(A, B, C, D)의 유전재료가 있다. 커패시터 내의 전계를 일정하게 하였을 때, 단위체적당 가장 큰 에너지 밀도를 나타내는 재료부터 순서대로 나열한 것은? (단, 유전재료 A, B, C, D의 비유전율은 각각 εrA = 8, εrB = 10, εrC = 2, εrD = 4 이다.) 3 정상전류계에서 ∇ · i = 0에 대한 설명으로 틀린 것은? 4 진공 내의 점 (2, 2, 2)에 10-9의 전하가 놓여 있다. 점 (2, 5, 6)에서의 전계 E는 약 몇 [V/m]인가? (단, ay, az는 단위벡터이다.) 5 방송국 안테나 출력이 W[W]이고 이로부터 진공 중에 r[m] 떨어진 점에서 자계의 세기의 실효치는 약 몇 [A/m]인가? 6 반지름이 a[m]인 원형 도선 2개의 루프가 z축 상에 그림과 같이 놓인 경우 I[A]의 전류가 흐를 때 원형전류 중심축상의 자계 H[A/m]는? (단, az, aø는 단위벡터이다.) 7 직교하는 무한 평판도체와 점전하에 의한 영상전하는 몇 개 존재하는가? 8 전하 e[C], 질량 m[kg]인 전자가 전계 E[V/m] 내에 놓여 있을 때 최초에 정지하고 있었다면 t초 후에 전자의 속도[m/s]는? 9 그림과 같은 환상 솔레노이드 내의 철심 중심에서의 자계의 세기 H[AT/m]는? (단, 환상 철심의 평균 반지름은 r[m], 코일의 권수는 N회, 코일에 흐르는 전류는 I[A]이다.) 10 환상 솔레노이드 단면적이 S, 평균 반지름이 r, 권선수가 N이고 누설자속이 없는 경우 자기 인덕턴스의 크기는? 11 다음 중 비투자율(μr)이 가장 큰 것은? 12 한 변의 길이가 l[m]인 정사각형 도체에 전류 I[A]가 흐르고 있을 때 중심점 P에서의 자계의 세기는 몇 [A/m]인가?
13 간격이 3[cm]이고 면적이 30[cm2]인 평판의 공기 콘덴서에 220[V]의 전압을 가하면 두 판 사이에 작용하는 힘은 약 몇 [N]인가? 14 비유전율이 2이고, 비투자율이 2인 매질 내에서의 전자파의 전파속도 v[m/s]와 진공 중의 빛의 속도 v0[m/s] 사이 관계는? 15 영구자석의 재료로 적합한 것은? 16 전계 E[V/m], 전속밀도 D[C/m2], 유전율 ε = ε0εr [F/m], 분극의 세기 P[C/m2] 사이의 관계를 나타낸 것으로 옳은 것은? 17 동일한 금속 도선의 두 점 사이에 온도차를 주고 전류를 흘렸을 때 열의 발생 또는 흡수가 일어나는 현상은? 18 강자성체가 아닌 것은? 19 내구의 반지름이 2cm, 외구의 반지름이 3cm인 동심 구 도체 간의 고유저항이 1.884 ×102 Ω·m인 저항 물질로 채어져 있을 때, 내외구 간의 합성 저항은 약 몇 Ω인가? 20 비투자율 μr = 800, 원형 단면적이 S = 10cm2, 평균 자로 길이 l = 16π × 10-2(m)의 환상 철심에 600회의 코일을 감고 이 코일에 1A의 전류를 흘리면 환상 철심 내부의 자속은 몇 Wb인가? 21 그림과 같은 유황곡선을 가진 수력지점에서 최대사용수량 0C로 1년간 계속 발전하는 데 필요한 저수지의 용량은? 22 고장전류의 크기가 커질수록 동작시간이 짧게 되는 특성을 가진 계전기는? 23 접지봉으로 탑각의 접지저항값을 희망하는 접지저항 값까지 줄일 수 없을 때 사용하는 것은? 24 3상 3선식 송전선에서 한 선의 저항이 10Ω, 리액턴스가 20Ω이며, 수전단의 선간전압이 60kV, 부하역률이 0.8인 경우에 전압강하율이 10%라 하면 이송전선로로는 약 몇 kW 까지 수전할 수 있는가?
25 배전선로의 주상변압기에서 고압측-저압측에 주로 사용되는 보호장치의 조합으로 적합한 것은? 26 % 임피던스에 대한 설명으로 틀린 것은? 27 연료의 발열량이 430kcal/kg일 때, 화력발전소의 열효율(%)은? (단, 발전기 출력은 PG [kW], 시간당 연료의 소비량은 B[kg/h]이다.) 28 수용가의 수용률을 나타낸 식은? 29 화력발전소에서 증기 및 급수가 흐르는 순서는? 30 역률 0.8, 출력 320[kW]인 부하에 전력을 공급하는 변전소에 역률 개선을 위해 전력용 콘덴서 140[kVA]를 설치했을 때 합성역률은? 31 용량 20[kVA]인 단상 주상 변압기에 걸리는 하루 동안의 부하가 처음 14시간 동안은 20[kW], 다음 10시간 동안은 10[kW]일 때, 이 변압기에 의한 하루 동안의 손실량[Wh]은? (단, 부하의 역률은 1로 가정하고, 변압기의 전 부하동손은 300[W], 철손은 100[W]이다.) 32 통신선과 평행인 주파수 60[Hz]의 3상 1회선 송전선이 있다. 1선 지락 때문에 영상전류가 100[A] 흐르고 있다면 통신선에 유도되는 전자유도전압[V]은 약 얼마인가? (단, 영상전류는 전 전선에 걸쳐서 같으며, 송전선과 통신선과의 상호 인덕턴스는 0.06[mH/km], 그 평행 길이는 40[km]이다.) 33 케이블 단선사고에 의한 고장점까지의 거리를 정전용량 측정법으로 구하는 경우, 건전상의 정전용량이 C, 고장점까지의 정전용량이 Cx, 케이블의 길이가 l일 때 고장점까지의 거리를 나타내는 식으로 알맞은 것은? 34 전력 퓨즈(Power Fuse)는 고압, 특고압기기의 주로 어떤 전류의 차단을 목적으로 설치하는가? 35 송전선로에서 1선 지락 시에 건전상의 전압 상승이 가장 적은 접지방식은? 36 기준 선간전압 23[kV], 기준 3상 용량 5,000[kVA], 1선의 유도 리액턴스가 15[Ω]일 때 % 리액턴스는?
37 전력원선도의 가로축과 세로축을 나타내는 것은? 38 송전선로에서의 고장 또는 발전기 탈락과 같은 큰 외란에 대하여 계통에 연결된 각 동기기가 동기를 유지하면서 계속 안정적으로 운전할 수 있는지를 판별하는 안정도는? 39 정전용량이 C1이고, V1의 전압에서 Qr의 무효전력을 발생하는 콘덴서가 있다. 정전용량을 변화시켜 2배로 승압된 전압(2V1)에서도 동일한 무효전력 Qr을 발생시키고자 할 때, 필요한 콘덴서의 정전용량 C2는? 40 송전선로의 고장전류 계산에 영상 임피던스가 필요한 경우는? 41 3,300/220[V]의 단상 변압기 3대를 △-Y결선하고 2차측 선간에 15[kW]의 단상 전열기를 접속하여 사용하고 있다. 결선을 △-△로 변경하는 경우 이 전열기의 소비전력은 몇 [kW]로 되는가? 42 히스테리시스 전동기에 대한 설명으로 틀린 것은? 43 직류기에서 계자자속을 만들기 위하여 전자석의 권선에 전류를 흘리는 것을 무엇이라 하는가? 44 사이클로 컨버터(Cyclo Converter)에 대한 설명으로 틀린 것은? 45 1차 전압은 3,300[V]이고 1차측 무부하 전류는 0.15[A], 철손은 330[W]인 단상 변압기의 자화전류는 약 몇 [A]인가? 46 유도전동기의 안정 운전의 조건은? (단, Tm : 전동기 토크, TL : 부하 토크, n : 회전수) 47 3상 권선형 유도전동기 기동 시 2차측에 외부 가변저항을 넣는 이유는? 48 극수 4이며 전기자 권선은 파권, 전기자 도체수가 250인 직류발전기가 있다. 이 발전기가 1,200[rpm]으로 회전할 때 600[V]의 기전력을 유기하려면 1극당 자속은 몇 [Wb]인가?
49 발전기 회전자에 유도자를 주로 사용하는 발전기는? 50 BJT에 대한 설명으로 틀린 것은? 51 3상 유도전동기에서 회전자가 슬립 s로 회전하고 있을 때 2차 유기전압 E2s 및 2차 주파수 f2s 와 s와의 관계는? (단, E2는 회전자가 정지하고 있을 때 2차 유기기전력이며 f1은 1차 주파수이다.) 52 전류계를 교체하기 위해 우선 변류기 2차측을 단락시켜야 하는 이유는? 53 단자전압 220[V], 부하전류 50[A]인 분권발전기의 유도 기전력은 몇 [V]인가? (단, 여기서 전기자 저항은 0.2[Ω]이며, 계자전류 및 전기자 반작용은 무시한다.) 54 기전력(1상)이 Eo이고 동기임피던스(1상)가 Zs인 2대의 3상 동기발전기를 무부하로 병렬 운전시킬 때 각 발전기의 기전력 사이에 δs의 위상차가 있으면 한쪽발전기에서 다른 쪽 발전기로 공급되는 1상당의 전력[W]은? 55 전압이 일정한 모선에 접속되어 역률 1로 운전하고 있는 동기전동기를 동기조상기로 사용하는 경우 여자전류를 증가시키면 이 전동기는 어떻게 되는가? 56 직류발전기의 전기자 반작용에 대한 설명으로 틀린 것은? 57 단상 변압기 2대를 병렬 운전할 경우, 각 변압기의 부하전류를 Ia, Ib, 1차측으로 환산한 임피던스를 Za, Zb, 백분율 임피던스 강하를 za, zb, 정격용량을 Pan, Pbn 이라 한다. 이때 부하 분담에 대한 관계로 옳은 것은? 58 단상 유도전압조정기에서 단락권선의 역할은? 59 동기리액턴스 Xs = 10[Ω], 전기자 권선저항 ra = 0.1[Ω], 3상 중 1상의 유도기전력 E = 6,400[V], 단자전압 V = 4,000[V], 부하각 δ = 30°이다. 비철극기인 3상 동기발전기의 출력은 약 몇 [kW]인가? 60 60[Hz], 6극의 3상 권선형 유도전동기가 있다. 이 전동기의 정격 부하 시 회전수는 1,140[rpm]이다. 이 전동기를 같은 공급전압에서 전부하 토크로 기동하기 위한 외부저항은 몇 [Ω]인가? (단, 회전자 권선은 Y결선이며 슬립링 간의 저항은 0.1[Ω]이다.)
61 개루프 전달함수 G(s)H(s)로부터 근궤적을 작성할 때 실수축에서의 점근선의 교차점은? 62 특성 방정식이 2s4 + 10s3 + 11s2 + 5s + K = 0으로 주어진 제어시스템이 안정하기 위한 조건은? 63 신호흐름선도에서 전달함수 는? 64 적분 시간 3[sec], 비례 감도가 3인 비례적분동작을 하는 제어 요소가 있다. 이 제어 요소에 동작신호 x(t) = 2t 를 주었을 때 조작량은 얼마인가? (단, 초기 조작량 y(t)는 0으로 한다.) 65 와 등가인 논리식은? 66 블록선도와 같은 단위 피드백 제어시스템의 상태방정식은? (단, 상태변수는 x1(t) = c(t), 로 한다.) 67 2차 제어시스템의 감쇠율(Damping Ratio, ζ)이 ζ<0 인 경우 제어시스템의 과도응답 특성은? 68 e(t)의 z변환을 E(z)라고 했을 때 e(t)의 최종값 e(∞)은? 69 블록선도의 제어시스템은 단위 램프 입력에 대한 정상상태 오차(정상편차)가 0.01이다. 이 제어시스템의 제어요소인 GC1(s)의 k는? 70 블록선도의 전달함수 는? 71 특성 임피던스가 400[Ω]인 회로 말단에 1,200[Ω]의 부하가 연결되어 있다. 전원 측에 20[kV]의 전압을 인가할 때 반사파의 크기[kV]는? (단, 선로에서의 전압감쇠는 없는 것으로 간주한다.) 72 그림과 같은 H형 4단자 회로망에서 4단자 정수(전송파라미터) A는? (단, V1은 입력전압이고, V2는 출력전압이고, A는 출력 개방 시 회로망의 전압 이득 이다.)
73 의 라플라스 역변환은? 74 △결선된 평형 3상 부하로 흐르는 선전류가 Ia, Ib, Ic 일 때, 이 부하로 흐르는 영상분 전류 I0[A]는? 75 저항 R = 15[Ω]과 인덕턴스 L = 3[mH]를 병렬로 접속한 회로의 서셉턴스의 크기는 약 몇 [℧]인가? (단, ω = 2π × 105) 76 그림과 같이 △회로를 Y회로로 등가 변환하였을 때 임피던스 Za[Ω]는? 77 회로에서 t = 0초일 때 닫혀 있는 스위치 S를 열었다. 이때 의 값은? (단, C의 초기 전압은 0[V]이다.) 78 회로에서 전압 Vab[V]는? 79 전압 및 전류가 다음과 같을 때 유효전력[W] 및 역률[%]은 각각 약 얼마인가? 80 △결선된 대칭 3상 부하가 0.5[Ω]인 저항만의 선로를 통해 평형 3상 전압원에 연결되어 있다. 이 부하의 소비전력이 1,800[W]이고 역률이 0.8(지상)일 때, 선로에서 발생하는 손실이 50[W]이면 부하의 단자전압[V]의 크기는? 81 사용전압이 22.9[kV]인 가공전선로의 다중접지한 중성선과 첨가 통신선의 이격거리는 몇 [cm] 이상이어야 하는가? (단, 특고압 가공전선로는 중성선 다중접지식의 것으로 전로에 지락이 생긴 경우 2초 이내에 자동적으로 이를 전로로부터 차단하는 장치가 되어 있는 것으로 한다.) 82 다음 ( )에 들어갈 내용으로 옳은 것은? 83 전격살충기의 전격격자는 지표 또는 바닥에서 몇 [m] 이상의 높은 곳에 시설하여야 하는가? 84 사용전압이 154[kV]인 모선에 접속되는 전력용 커패시터에 울타리를 시설하는 경우 울타리의 높이와 울타리로부터 충전부분까지 거리의 합계는 몇 [m] 이상 되어야 하는가?
85 사용전압이 22.9[kV]인 가공전선이 삭도와 제1차 접근상태로 시설되는 경우, 가공전선과 삭도 또는 삭도용 지주 사이의 이격거리는 몇 [m] 이상으로 하여야 하는가? (단, 전선으로는 특고압 절연전선을 사용한다.) 86 사용전압이 22.9[kV]인 가공전선로를 시가지에 시설하는 경우 전선의 지표상 높이는 몇 [m] 이상인가? (단, 전선은 특고압 절연전선을 사용한다) 87 저압 옥내배선에 사용하는 연동선의 최소 굵기는 몇 mm2인가? 88 “리플프리(Ripple-free)직류”란 교류를 직류로 변환할 때 리플성분의 실효값이 몇 [%] 이하로 포함된 직류를 말하는가? 89 저압 전로에서 정전이 어려운 경우 등 절연저항 측정이 곤란한 경우 저항성분의 누설전류가 몇 [mA] 이하이면 그 전로의 절연성능은 적합한 것으로 보는가? 90 수소냉각식 발전기 및 이에 부속하는 수소냉각장치에 대한 시설기준으로 틀린 것은? 91 저압 절연전선으로 전기용품 및 생활용품 안전관리법의 적용을 받는 것 이외에 KS에 적합한 것으로서 사용할 수 없는 것은? 92 전기철도차량에 전력을 공급하는 전차선의 가선방식에 포함되지 않는 것은? 93 금속제 가요전선관 공사에 의한 저압 옥내배선의 시설기준으로 틀린 것은? 94 터널 안의 전선로의 저압전선이 그 터널 안의 다른 저압전선(관등회로의 배선은 제외한다)⋅약전류전선 등 또는 수관⋅가스관이나 이와 유사한 것과 접근하거나 교차하는 경우, 저압전선을 애자공사에 의하여 시설하는 때에는 이격거리가 몇 [cm] 이상이어야 하는가? (단, 전선이 나전선이 아닌 경우이다) 95 전기철도의 설비를 보호하기 위해 시설하는 피뢰기의 시설기준으로 틀린 것은? 96 전선의 단면적이 38mm2인 경동연선을 사용하고 지지물로는 B종 철주 또는 B종 철근 콘크리트주를 사용하는 특고압 가공전선로를 제3종 특고압 보안공사에 의하여 시설하는 경우 경간은 몇 [m] 이하이어야 하는가?
App Store Google Play
오늘학습 예시 이미지

시험에 합격하려면
복습을 제대로 해야 합니다.

오늘학습은 스스로 기억을 떠올리고 계획적으로 복습할 수 있도록 설계돼 있어요.
그것도, 가장 과학적인 방식으로요!

능동적 회상

능동적 회상
(Active Recall)

배운 내용을 단순 읽으며 반복하는 것이 아니라,
능동적으로 기억하고 있는지를
스스로 테스트하며
공부할 수 있는
학습 환경을 제공해 학습 효과를 높여요

간격 반복 학습

간격 반복 학습
(Spaced Repetition)

에빙하우스 망각곡선을 바탕으로
가장 최적의 시점에 복습을 제공하여
배운 내용이 잊히지 않도록 장기 기억화해요

Data 기반의
뇌과학적 복습 시스템

학습 결과 Data를 분석해, 문제별 최적화된
반복 학습량을
자동으로 분배해요.
학습에 소요되는 시간을 최소화하는
동시에
단기 기억을 장기 기억으로 전환해줘요.

36만 개 이상의
기출문제 무료 제공

공무원 및 약 300여종의 자격증 시험 기출문제
36만개
이상을 무료로 이용할 수 있어요.
여러 앱을 설치할 필요
없이, 오늘학습 하나로
모든 시험을 준비할 수 있어요.

다양한 문제 유형으로 만드는
나만의 단어장&문제집

기출 외에도 외워야 하는 내용은
객관식, 주관식, 카드, 빈칸
등 다양한 형식으로
직접 만들어 보세요. 내 학습 스타일에
맞게
나만의 단어장과 문제집을 만들 수 있어요.

시험별 체계적인
문제 관리

시험에 문제를 추가해 체계적으로
관리할 수 있어요.
주제나 단원별로
분류하고 싶다면,
시험에 챕터를 만들어
문제를 추가할 수도 있어요.

수십만 명이
오늘학습을 사랑합니다

앱 스토어 평점 4.9
구글 플레이 평점 4.8
누적 회원수 100,000+
지금 오늘학습을
시작해보세요
지금 시작하기
문제 선택