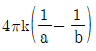
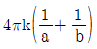
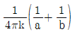
반지름이 a(m), b(m)인 두 개의 구 형상 도체 전극이 도전율 k인 매질 속에 거리 r(m)만큼 떨어져 있다. 양 전극 간의 저항 (Ω)은? (단, r ≫ a, r ≫ b 이다.)
지금 시작하기 →

・・・ 문제은행 전기기사(2020년 3회) 19번

전기기사 2020년 09월 19번

반지름이 a(m), b(m)인 두 개의 구 형상 도체 전극이 도전율 k인 매질 속에 거리 r(m)만큼 떨어져 있다. 양 전극 간의 저항 (Ω)은? (단, r ≫ a, r ≫ b 이다.)

1
2
3
4
단축키
이전 문제로 이동은 키를 누르고, 다음 문제로 이동은 키를 누르세요
이전 문제 , 다음 문제
문제(100)
1 서로 같은 2개의 구 도체에 동일양의 전하로 대전시킨 후 20㎝ 떨어뜨린 결과 구 도체에 서로 8.6 × 10-4N의 반발력이 작용하였다. 구 도체에 주어진 전하는 약 몇 C인가? 2 정전계 내 도체 표면에서 전계의 세기가 (V/m)일 때 도체 표면상의 전하 밀도 ρs(C/m2)를 구하면? 단, 자유공간이다. 3 영구자석 재료로 사용하기에 적합한 특성은? 4 자기회로와 전기회로에 대한 설명으로 틀린 것은? 5 저항의 크기가 1 Ω인 전선이 있다. 전선의 체적을 동일하게 유지하면서 길이를 2배로 늘였을 때 전선의 저항(Ω)은? 6 자속밀도가 10 ㏝/m2 인 자계 내에 길이 4㎝의 도체를 자계와 직각으로 놓고 이 도체를 0.4초 동안 1 m씩 균일하게 이동하였을 때 발생하는 기전력은 몇 V인가? 7 진공 중에서 전자파의 전파속도 (m/s)는? 8 유전율이 ε1, ε2 인 유전체 경계면에 수직으로 전계가 작용할 때 단위 면적당 수직으로 작용하는 힘 (N/m2)은? (단, E 는 전계 (V/m)이고, D는 전속밀도 (C/m2)이다.) 9 반지름이 3㎝인 원형 단면을 가지고 있는 환상 연철심에 코일을 감고 여기에 전류를 흘려서 철심 중의 자계 세기가 400 AT/m가 되도록 여자할 때, 철심 중의 자속 밀도는 약 몇 ㏝/m2인가? (단, 철심의 비투자율은 400이라고 한다.) 10 내부 원통의 반지름이 a, 외부 원통의 반지름이 b 인동축 원통 콘덴서의 내외 원통 사이에 공기를 넣었을 때 정전용량이 C1 이었다. 내외 반지름을 모두 3배로 증가시키고 공기 대신 비유전율이 3인 유전체를 넣었을 경우의 정전용량 C2 는? 11 변위전류와 관계가 가장 깊은 것은? 12 자기 인덕턴스(self inductance) L(H)을 나타낸 식은? (단, N은 권선수, I는 전류 (A), ø는 자속 (㏝), B는 자속밀도 (㏝/m2), A는 벡터 퍼텐셜 (㏝/m), J는 전류밀도 (A/m2)이다.)
13 환상 솔레노이드 철심 내부에서 자계의 세기 (AT/m)는? (단, N은 코일 권선수, r은 환상 철심의 평균 반지름, I는 코일에 흐르는 전류이다.) 14 임의의 형상의 도선에 전류 I(A)가 흐를 때, 거리 r(m)만큼 떨어진 점에서의 자계의 세기 H(AT/m)를 구하는 비오-사바르의 법칙에서, 자계의 세기 H(AT/m)와 거리 r(m)의 관계로 옳은 것은? 15 다음 정전계에 관한 식 중에서 틀린 것은? (단, D는 전속밀도, V는 전위, ρ는 공간(체적)전하밀도, ε은 유전율이다.) 16 길이가 ℓ(m), 단면적의 반지름이 a(m)인 원통이 길이 방향으로 균일하게 자화되어 자화의 세기가 J(㏝/m2)인 경우, 원통 양단에서의 자극의 세기 m(㏝)은? 17 질량 (m)이 10-10㎏이고, 전하량 (Q)이 10-8C인 전하가 전기장에 의해 가속되어 운동하고 있다. 가속도가 a=102i+102j(m/s2)일 때 전기장의 세기 E(V/m)는? 18 전류 I가 흐르는 무한 직선 도체가 있다. 이 도체로부터 수직으로 0.1 m 떨어진 점에서 자계의세기가 180 AT/m이다. 도체로부터 수직으로 0.3 m 떨어진 점에서 자계의 세기 (AT/m)는? 19 반지름이 a(m), b(m)인 두 개의 구 형상 도체 전극이 도전율 k인 매질 속에 거리 r(m)만큼 떨어져 있다. 양 전극 간의 저항 (Ω)은? (단, r ≫ a, r ≫ b 이다.) 20 진공 중에서 2m 떨어진 두 개의 무한 평행 도선에 단위 길이 당 10-7N의 반발력이 작용할 때 각 도선에 흐르는 전류의 크기와 방향은? (단, 각 도선에 흐르는 전류의 크기는 같다.) 21 전력원선도에서 구할 수 없는 것은? 22 송전전력, 송전거리, 전선로의 전력손실이 일정하고, 같은 재료의 전선을 사용한 경우 단상 2선식에 대한 3상 4선식의 1선당 전력비는 약 얼마인가? (단, 중성선은 외선과 같은 굵기이다.) 23 송배전선로의 고장전류 계산에서 영상 임피던스가 필요한 경우는? 24 3상용 차단기의 정격 차단용량은?
25 다음 중 송전선로의 역섬락을 방지하기 위한 대책으로 가장 알맞은 방법은? 26 반지름 0.6 ㎝인 경동선을 사용하는 3상 1회선 송전선에서 선간거리를 2 m로 정삼각형 배치할 경우, 각 선의 인덕턴스 (mH/km)는 약 얼마인가? 27 다음 중 그 값이 항상 1 이상인 것은? 28 개폐서지의 이상전압을 감쇄할 목적으로 설치하는 것은? 29 전원이 양단에 있는 환상선로의 단락보호에 사용되는 계전기는? 30 파동임피던스 Z1=500Ω인 선로에 파동임피던스 Z2=1500Ω인 변압기가 접속되어 있다. 선로로부터 600㎸의 전압파가 들어왔을 때, 접속점에서의 투과파 전압(㎸)은? 31 전력용콘덴서를 변전소에 설치할 때 직렬리액터를 설치하고자 한다. 직렬리액터의 용량을 결정하는 계산식은? (단, f0는 전원의 기본주파수, C는 역률 개선용 콘덴서의 용량, L은 직렬리액터의 용량이다.) 32 66/22 kV, 2000 kVA 단상변압기 3대를 1뱅크로 운전하는 변전소로부터 전력을 공급받는 어떤 수전점에서의 3상 단락전류는 약 몇 A인가? (단, 변압기의 %리액턴스는 7이고 선로의 임피던스는 0이다.) 33 부하의 역률을 개선할 경우 배전선로에 대한 설명으로 틀린 것은? (단, 다른 조건은 동일하다.) 34 한류리액터를 사용하는 가장 큰 목적은? 35 수력발전소의 형식을 취수방법, 운용방법에 따라 분류할 수 있다. 다음 중 취수방법에 따른 분류가 아닌 것은? 36 배전선로에 3상 3선식 비접지 방식을 채용할 경우 나타나는 현상은?
37 전력계통을 연계시켜서 얻는 이득이 아닌 것은? 38 원자력발전소에서 비등수형 원자로에 대한 설명으로 틀린 것은? 39 선간전압이 V(kV)이고 3상 정격용량이 P(kVA)인 전력계통에서 리액턴스가 X(ohm)라고 할 때, 이 리액턴스를 %리액턴스로 나타내면? 40 증기 사이클에 대한 설명 중 틀린 것은? 41 동기발전기 단절권의 특징이 아닌 것은? 42 전부하로 운전하고 있는 50 ㎐, 4극의 권선형 유도전동기가 있다. 전부하에서 속도를 1440 rpm에서 1000 rpm으로 변화시키자면 2차에 약 몇 Ω의 저항을 넣어야 하는가? (단, 2차 저항은 0.02 Ω이다.) 43 단면적 10 cm2인 철심에 200 회의 권선을 감고, 이 권선에 60 ㎐, 60 V인 교류전압을 인가하였을 때 철심의 최대자속 밀도는 약 몇 ㏝/m2인가? 44 동기기의 안정도를 증진시키는 방법이 아닌 것은? 45 직류발전기를 병렬운전할 때 균압모선이 필요한 직류기는? 46 4극, 중권, 총 도체 수 500, 극당 자속이 0.01 ㏝인 직류 발전기가 100 V의 기전력을 발생시키는데 필요한 회전수는 몇 rpm인가? 47 포화되지 않은 직류발전기의 회전수가 4배로 증가되었을 때 기전력을 전과 같은 값으로 하려면 자속을 속도 변화전에 비해 얼마로 하여야 하는가? 48 2상 교류 서브모터를 구동하는데 필요한 2상 전압을 얻는 방법으로 널리 쓰이는 방법은?
85 케이블 트레이공사에 사용하는 케이블 트레이에 대한 기준으로 틀린 것은?(관련 규정 개정전 문제로 여기서는 기존 정답인 2번을 누르면 정답 처리됩니다. 자세한 내용은 해설을 참고하세요.) 86 지중전선로에 사용하는 지중함의 시설기준으로 틀린 것은? 87 교량의 윗면에 시설하는 고압 전선로는 전선의 높이를 교량의 노면상 몇 m 이상으로 하여야 하는가? 88 목장에서 가축의 탈출을 방지하기 위하여 전기울타리를 시설하는 경우 전선은 인장강도가 몇 kN 이상의 것이어야 하는가? 89 저압의 전선로 중 절연부분의 전선과 대지간의 절연저항은 사용전압에 대한 누설전류가 최대 공급전류의 얼마를 넘지 않도록 유지하여야 하는가? 90 가공전선로의 지지물에 하중이 가하여지는 경우에 그 하중을 받는 지지물의 기초 안전율은 얼마 이상이어야 하는가? (단, 이상 시 상정 하중은 무관) 91 제2종 특고압 보안공사 시 지지물로 사용하는 철탑의 경간을 400 m 초과로 하려면 몇 mm2 이상의 경동연선을 사용하여야 하는가?(관련 규정 개정전 문제로 여기서는 기존 정답인 4번을 누르면 정답 처리됩니다. 자세한 내용은 해설을 참고하세요.) 92 금속제 외함을 가진 저압의 기계기구로서 사람이 쉽게 접촉될 우려가 있는 곳에 시설하는 경우 전기를 공급받는 전로에 지락이 생겼을 때 자동적으로 전로를 차단하는 장치를 설치하여야 하는 기계기구의 사용전압이 몇 V를 초과하는 경우인가? 93 사용전압이 35,000 V 이하인 특고압 가공전선과 가공약 전류 전선을 동일 지지물에 시설하는 경우, 특고압 가공전선로의 보안공사로 적합한 것은? 94 과전류차단기로 시설하는 퓨즈 중 고압전로에 사용하는 비포장 퓨즈는 정격전류 2배 전류 시 몇 분 안에 용단되어야 하는가? 95 버스 덕트 공사에 의한 저압 옥내배선 시설공사에 대한 설명으로 틀린 것은? 96 발전소에서 계측하는 장치를 시설하여야 하는 사항에 해당하지 않는 것은?
App Store Google Play
오늘학습 예시 이미지

시험에 합격하려면
복습을 제대로 해야 합니다.

오늘학습은 스스로 기억을 떠올리고 계획적으로 복습할 수 있도록 설계돼 있어요.
그것도, 가장 과학적인 방식으로요!

능동적 회상

능동적 회상
(Active Recall)

배운 내용을 단순 읽으며 반복하는 것이 아니라,
능동적으로 기억하고 있는지를
스스로 테스트하며
공부할 수 있는
학습 환경을 제공해 학습 효과를 높여요

간격 반복 학습

간격 반복 학습
(Spaced Repetition)

에빙하우스 망각곡선을 바탕으로
가장 최적의 시점에 복습을 제공하여
배운 내용이 잊히지 않도록 장기 기억화해요

Data 기반의
뇌과학적 복습 시스템

학습 결과 Data를 분석해, 문제별 최적화된
반복 학습량을
자동으로 분배해요.
학습에 소요되는 시간을 최소화하는
동시에
단기 기억을 장기 기억으로 전환해줘요.

36만 개 이상의
기출문제 무료 제공

공무원 및 약 300여종의 자격증 시험 기출문제
36만개
이상을 무료로 이용할 수 있어요.
여러 앱을 설치할 필요
없이, 오늘학습 하나로
모든 시험을 준비할 수 있어요.

다양한 문제 유형으로 만드는
나만의 단어장&문제집

기출 외에도 외워야 하는 내용은
객관식, 주관식, 카드, 빈칸
등 다양한 형식으로
직접 만들어 보세요. 내 학습 스타일에
맞게
나만의 단어장과 문제집을 만들 수 있어요.

시험별 체계적인
문제 관리

시험에 문제를 추가해 체계적으로
관리할 수 있어요.
주제나 단원별로
분류하고 싶다면,
시험에 챕터를 만들어
문제를 추가할 수도 있어요.

수십만 명이
오늘학습을 사랑합니다

앱 스토어 평점 4.9
구글 플레이 평점 4.8
누적 회원수 100,000+
지금 오늘학습을
시작해보세요
지금 시작하기
문제 선택