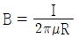
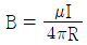
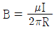
무한장 직선형 도선에 I(A)의 전류가 흐를 경우 도선으로부터 R(m) 떨어진 점의 자속밀도 B(Wb/m2)는?
지금 시작하기 →

・・・ 문제은행 전기기사(2019년 3회) 7번

전기기사 2019년 08월 7번

무한장 직선형 도선에 I(A)의 전류가 흐를 경우 도선으로부터 R(m) 떨어진 점의 자속밀도 B(Wb/m2)는?

1
2
3
4
단축키
이전 문제로 이동은 키를 누르고, 다음 문제로 이동은 키를 누르세요
이전 문제 , 다음 문제
문제(100)
1 도전도 k=6×1017℧m, 투자율 인 평면도체 표면에 10kHz의 전류가 흐를 때, 침투깊이 δ(m)은? 2 강자성체의 세 가지 특성에 포함되지 않는 것은? 3 송전선의 전류가 0.01초 사이에 10kA 변화될 때 이 송전선에 나란한 통신선에 유도되는 유도 전압은 몇 V인가? (단, 송전선과 통신선 간의 상호유도계수는 0.3mH이다.) 4 단면적 15cm2의 자석 근처에 같은 단면적을 가진 철편을 놓을 때 그 곳을 통하는 자속이 3×10-4Wb이면 철편에 작용하는 흡인력은 약 몇 N 인가? 5 단면적이 s(m2), 단위 길이에 대한 권수가 n(회/m)인 무한히 긴 솔레노이드의 단위 길이당 자기인덕턴스(H/m)는? 6 다음 금속 중 저항률이 가장 작은 것은? 7 무한장 직선형 도선에 I(A)의 전류가 흐를 경우 도선으로부터 R(m) 떨어진 점의 자속밀도 B(Wb/m2)는? 8 전하 q(C)가 진공 중의 자계 H(AT/m)에 수직방향으로 v(m/s)의 속도로 움직일 때 받는 힘은 몇 N인가? (단, 진공 중의 투자율은 μo이다.) 9 원통 좌표계에서 일반적으로 벡터가 A = 5r sinøaz로 표현될 때 점 에서 curlA를 구하면? 10 전기 저항에 대한 설명으로 틀린 것은? 11 자계의 벡터포텐셜을 A라 할 때 자계의 시간적 변화에 의하여 생기는 전계의 세기 E는? 12 환상철심의 평균 자계의 세기가 3000AT/m이고, 비투자율이 600인 철심 중의 자화의 세기는 약 몇 Wb/m2 인가?
13 평행판 콘덴서의 극간 전압이 일정한 상태에서 극간에 공기가 있을 때의 흡인력을 F1, 극판 사이에 극판 간격의 2/3 두께의 유리판(εr=10)을 삽입할 때의 흡인력을 F2라 하면 는? 14 전자파의 특성에 대한 설명으로 틀린 것은? 15 진공 중에서 점 P(1, 2, 3) 및 점 Q(2, 0, 5)에 각각 300μC, -100μC인 점전하가 놓여 있을 때 점전하 -100μC에 작용하는 힘은 몇 N인가? 16 반지름 a(m)의 구 도체에 전하 Q(C)가 주어질 때 구 도체 표면에 작용하는 정전응력은 몇 N/m2인가? 17 정전용량이 각각 C1, C2, 그 사이의 상호 유도계수가 M인 절연된 두 도체가 있다. 두 도체를 가는 선으로 연결할 경우, 정전용량은 어떻게 표현되는가? 18 길이 ℓ(m)인 동축 원통 도체의 내외원통에 각각 +λ, -λ(C/m)의 전하가 분포되어 있다. 내외원통 사이에 유전율 ε인 유전체가 채워져 있을 때, 전계의 세기(V/m)은? (단, V는 내외원통 간의 전위차, D는 전속밀도이고, a, b는 내외원통의 반지름이며, 원통 중심에서의 거리 r은 a < r < b인 경우이다.) 19 정전용량이 1μF 이고 판의 간격이 d인 공기콘덴서가 있다. 두께 , 비유전율 εr=2 유전체를 그 콘덴서의 한 전극면에 접촉하여 넣었을 때 전체의 정전용량(μF)은? 20 변위전류와 가장 관계가 깊은 것은? 21 역률 80%, 500kVA의 부하설비에 100kVA의 진상용 콘덴서를 설치하여 역률을 개선하면 수전점에서의 부하는 약 몇 kVA가 되는가? 22 가공지선에 대한 설명 중 틀린 것은? 23 부하전류의 차단에 사용되지 않는 것은? 24 플리커 경감을 위한 전력 공급측의 방안이 아닌 것은?
37 송전선의 특성임피던스는 저항과 누설 컨덕턴스를 무시하면 어떻게 표현되는가? (단, L은 선로의 인덕턴스, C는 선로의 정전용량이다.) 38 다음 중 송전선로의 코로나 임계전압이 높아지는 경우가 아닌 것은? 39 어느 수용가의 부하설비는 전등설비가 500W, 전열설비가 600W, 전동기 설비가 400W, 기타설비가 100W 이다. 이 수용가의 최대수용전력이 1200W이면 수용률은 몇 %인가? 40 케이블의 전력 손실과 관계가 없는 것은? 41 동기발전기의 돌발 단락 시 발생되는 현상으로 틀린 것은? 42 SCR의 특징으로 틀린 것은? 43 터빈 발전기의 냉각을 수소냉각방식으로 하는 이유로 틀린 것은? 44 단상 유도전동기의 특징을 설명한 것으로 옳은 것은? 45 몰드변압기의 특징으로 틀린 것은?(문제 오류로 가답안 발표시 4번으로 발표되었지만 확정답안 발표시 모두 정답처리 되었습니다. 여기서는 가답안인 4번을 누르면 정답 처리 됩니다.) 46 유도전동기의 회전속도를 N(rpm), 동기속도를 Ns(rpm)이라하고 순방향 회전자계의 슬립을 s라고 하면, 역방향 회전자계에 대한 회전자 슬립은? 47 직류발전기에 직결한 3상 유도전동기가 있다. 발전기의 부하 100kW, 효율 90%이며 전동기 단자전압 3300V, 효율 90%, 역률 90%이다. 전동기에 흘러들어가는 전류는 약 몇 A인가? 48 유도발전기의 동작특성에 관한 설명 중 틀린 것은?
49 단상 변압기를 병렬 운전하는 경우 각 변압기의 부하분담이 변압기의 용량에 비례하려면 각각의 변압기의 %임피던스는 어느 것에 해당되는가? 50 그림은 여러 직류전동기의 속도 특성곡선을 나타낸 것이다. 1부터 4까지 차례로 옳은 것은? 51 전력변환기기로 틀린 것은? 52 농형 유도전동기에 주로 사용되는 속도제어법은? 53 정격전압 100V, 정격전류 50A인 분권발전기의 유기기전력은 몇 V 인가? (단, 전기자 저항 0.2Ω, 계자전류 및 전기자 반작용은 무시한다.) 54 그림과 같은 변압기 회로에서 부하 R2에 공급되는 전력이 최대로 되는 변압기의 권수비 a는? 55 변압기의 백분율 저항강하가 3%, 백분율 리액턴스 강하가 4%일 때 뒤진 역률 80%인 경우의 전압변동률(%)은? 56 정류자형 주파수변환기의 회전자에 주파수 f1의 교류를 가할 때 시계방향으로 회전자계가 발생하였다. 정류자 위의 브러시 사이에 나타나는 주파수 fc를 설명한 것 중 틀린 것은? (단, n : 회전자의 속도, ns : 회전자계의 속도, s : 슬립이다.) 57 동기발전기의 3상 단락곡선에서 단락전류가 계자전류에 비례하여 거의 직선이 되는 이유로 가장 옳은 것은? 58 1차 전압 V1, 2차 전압 V2인 단권변압기를 Y결선했을 때, 등가용량과 부하용량의 비는? (단, V1>V2이다.) 59 변압기의 보호에 사용되지 않는 것은? 60 E를 전압, r을 1차로 환산한 저항, χ를 1차로 환산한 리액터스라고 할 때 유도전동기의 원선도에서 원의 지름을 나타내는 것은?
73 비정현파 전류가 i(t) = 56sinωt + 20sin2ωt + 30sin(3ωt+ 30°) + 40sin(4ωt + 60°)로 표현될 때, 왜형률은 약 얼마인가? 74 대칭 6상 성형(star)결선에서 선간전압 크기와 상전압 크기의 관계로 옳은 것은? (단, Vl : 선간전압 크기, Vp : 상전압 크기) 75 3상 불평형 전압 Va, Vb, Vc가 주어진다면, 정상분 전압은? (단, a = ej2π/3 = 1∠120° 이다.) 76 송전선로가 무손실 선로일 때, L=96mH 이고 C=0.6μF 이면 특성임피던스(Ω)는? 77 커페시터와 인덕터에서 물리적으로 급격히 변화할 수 없는 것은? 78 2전력계법을 이용한 평형 3상회로의 전력이 각각 500W 및 300W로 측정되었을 때, 부하의 역률은 약 몇 % 인가? 79 인덕턴스가 0.1H인 코일에 실효값 100V, 60Hz, 위상 30도인 전압을 가했을 때 흐르는 전류의 실효값 크기는 약 몇 A 인가? 80 f(t) = δ(t – T)의 라플라스변환 F(s)는? 81 고압 가공전선로의 지지물로 철탑을 사용한 경우 최대경간은 몇 m 이하이어야 하는가? 82 폭발성 또는 연소설의 가스가 침입할 우려가 있는 것에 시설하는 지중함으로서 그 크기가 몇 m3 이상의 것은 통풍장치 기타 가스를 방산시키기 위한 적당한 장치를 시설하여야 하는가? 83 사용전압 35000V인 기계기구를 옥외에 시설하는 개폐소의 구내에 취급자 이외의 자가 들어가지 않도록 울타리를 설치할 때 울타리와 특고압의 충전부분이 접근하는 경우에는 울타리의 높이와 울타리로부터 충전부분까지의 거리의 합은 최소 몇 m 이상이어야 하는가? 84 다음의 ⓐ, ⓑ에 들어갈 내용으로 옳은 것은?
85 지중 전선로를 직접 매설식에 의하여 시설하는 경우에는 매설 깊이를 차량 기타 중량물의 압력을 받을 우려가 있는 장소에서는 몇 cm 이상으로 하면 되는가?(2021년 변경된 KEC 규정 적용됨) 86 저압 가공전선이 건조물의 상부 조영재 옆쪽으로 접근하는 경우 저압 가공전선과 건조물의 조영재 사이의 이격거리는 몇 m 이상이어야 하는가? (단, 전선에 사람이 쉽게 접촉할 우려가 없도록 시설한 경우와 전선이 고압 절연전선, 특고압 절연전선 또는 케이블인 경우는 제외한다.) 87 변압기의 고압측 전로와의 혼촉에 의하여 저압측 전로의 대지전압이 150V를 넘는 경우에 2초 이내에 고압전로를 자동 차단하는 장치가 되어 있는 6600/220V 배전선로에 있어서 1선 지락 전류가 2A이면 제2종 접지저항 값의 최대는 몇 Ω 인가? 88 저압 옥내간선은 특별한 경우를 제외하고 다음 중 어느 것에 의하여 그 굵기가 결정되는가? 89 휴대용 또는 이동용의 전력보안 통신용 전화설비를 시설하는 곳은 특고압 가공전선로 및 선로길이가 몇 km 이상의 고압 가공전선로인가?(관련 규정 개정전 문제로 여기서는 기존 정답인 2번을 누르면 정답 처리됩니다. 자세한 내용은 해설을 참고하세요.) 90 폭연성 분진 또는 화약류의 분말이 존재하는 곳의 저압 옥내배선은 어느 공사에 의하는가? 91 강체방식에 의하여 시설하는 직류식 전기 철도용 전차 선로는 전차선의 높이가 지표상 몇 m 이상인가?(관련 규정 개정전 문제로 여기서는 기존 정답인 3번을 누르면 정답 처리됩니다. 자세한 내용은 해설을 참고하세요.) 92 저압 옥내전로의 인입구에 가까운 곳으로서 쉽게 개폐할 수 있는 곳에 개폐기를 시설하여야 한다. 그러나 사용전압이 400V미만인 옥내전로로서 다른 옥내전로에 접속하는 길이가 몇 m 이하인 경우는 개폐기를 생략할 수 있는가? (단, 정격전류가 15A 이하인 과전류 차단기 또는 정격전류가 15A를 초과하고 20A 이하인 배선용 차단기로 보호되고 있는 것에 한한다.) 93 지중 전선로는 기설 지중 약전류 전선로에 대하여 다음의 어느 것에 의하여 통신상의 장해를 주지 아니하도록 기설 약전류 전선로로부터 충분히 이격시키는가? 94 특고압 전로에 사용하는 수밀형 케이블에 대한 설명으로 틀린 것은?(오류 신고가 접수된 문제입니다. 반드시 정답과 해설을 확인하시기 바랍니다.) 95 일반주택 및 아파트 각 호실의 현관등은 몇 분 이내에 소등되는 타임스위치를 시설하여야 하는가? 96 발전소에서 장치를 시설하여 계측하지 않아도 되는 것은?
App Store Google Play
오늘학습 예시 이미지

시험에 합격하려면
복습을 제대로 해야 합니다.

오늘학습은 스스로 기억을 떠올리고 계획적으로 복습할 수 있도록 설계돼 있어요.
그것도, 가장 과학적인 방식으로요!

능동적 회상

능동적 회상
(Active Recall)

배운 내용을 단순 읽으며 반복하는 것이 아니라,
능동적으로 기억하고 있는지를
스스로 테스트하며
공부할 수 있는
학습 환경을 제공해 학습 효과를 높여요

간격 반복 학습

간격 반복 학습
(Spaced Repetition)

에빙하우스 망각곡선을 바탕으로
가장 최적의 시점에 복습을 제공하여
배운 내용이 잊히지 않도록 장기 기억화해요

Data 기반의
뇌과학적 복습 시스템

학습 결과 Data를 분석해, 문제별 최적화된
반복 학습량을
자동으로 분배해요.
학습에 소요되는 시간을 최소화하는
동시에
단기 기억을 장기 기억으로 전환해줘요.

36만 개 이상의
기출문제 무료 제공

공무원 및 약 300여종의 자격증 시험 기출문제
36만개
이상을 무료로 이용할 수 있어요.
여러 앱을 설치할 필요
없이, 오늘학습 하나로
모든 시험을 준비할 수 있어요.

다양한 문제 유형으로 만드는
나만의 단어장&문제집

기출 외에도 외워야 하는 내용은
객관식, 주관식, 카드, 빈칸
등 다양한 형식으로
직접 만들어 보세요. 내 학습 스타일에
맞게
나만의 단어장과 문제집을 만들 수 있어요.

시험별 체계적인
문제 관리

시험에 문제를 추가해 체계적으로
관리할 수 있어요.
주제나 단원별로
분류하고 싶다면,
시험에 챕터를 만들어
문제를 추가할 수도 있어요.

수십만 명이
오늘학습을 사랑합니다

앱 스토어 평점 4.9
구글 플레이 평점 4.8
누적 회원수 100,000+
지금 오늘학습을
시작해보세요
지금 시작하기
문제 선택