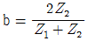
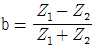
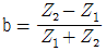
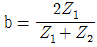
서지파(진행파)가 서지 임피던스 Z1의 선로측에서 서지임피던스 Z2의 선로측으로 입사할 때 투과계수(투과파전압÷입사파 전압) b를 나타내는 식은?
지금 시작하기 →

・・・ 문제은행 전기기사(2018년 3회) 26번

전기기사 2018년 08월 26번

서지파(진행파)가 서지 임피던스 Z1의 선로측에서 서지임피던스 Z2의 선로측으로 입사할 때 투과계수(투과파전압÷입사파 전압) b를 나타내는 식은?

1
2
3
4
단축키
이전 문제로 이동은 키를 누르고, 다음 문제로 이동은 키를 누르세요
이전 문제 , 다음 문제
문제(100)
1 전계 E의 x, y, z 성분을 Ex, Ey, Ez라 할 때 divE는?(오류 신고가 접수된 문제입니다. 반드시 정답과 해설을 확인하시기 바랍니다.) 2 동심 구형 콘덴서의 내외 반지름을 각각 5배로 증가시키면 정전용량은 몇 배로 증가하는가? 3 자성체 경계면에 전류가 없을 때의 경계조건으로 틀린 것은?(오류 신고가 접수된 문제입니다. 반드시 정답과 해설을 확인하시기 바랍니다.) 4 도체나 반도체에 전류를 흘리고 이것과 직각방향으로 자계를 가하면 이 두 방향과 직각방향으로 기전력이 생기는 현상을 무엇이라 하는가? 5 판자석의 세기가 0.01Wb/m, 반지름이 5cm인 원형 판자석이 있다. 자석의 중심에서 축상 10cm인 점에서의 자위의 세기는 몇 AT 인가? 6 평면도체 표면에서 d[m] 거리에 점전하 Q[C]이 있을 때 이 전하를 무한원점까지 운반하는데 필요한 일[J]은? 7 유전율 ε, 전계의 세기 E인 유전체의 단위 체적에 축적되는 에너지는? 8 길이 l[m], 지름 d[m]인 원통이 길이 방향으로 균일하게 자화되어 자화의 세기가 J[Wb/m2]인 경우 원통 양단에서의 전자극의 세기[Wb]는? 9 자기인덕턴스 L1, L2와 상호인덕턴스 M사이의 결합계수는? (단, 단위는 H이다.) 10 진공 중에서 선전하 밀도 ρㅣ=6×10-8C/m인 무한히 긴 직선상 선전하가 x 축과 나란하고 z=2m 점을 지나고 있다. 이 선전하에 의하여 반지름 5m인 원점에 중심을 둔 구표면 S0를 통과하는 전기력선수는 약 몇 V/m인가? 11 대지면에 높이 h[m]로 평행하게 가설된 매우 긴 선전하가 지면으로부터 받는 힘은? 12 정전에너지, 전속밀도 및 유전상수 εr의 관계에 대한 설명중 틀린 것은?
49 3상 농형 유도전동기의 기동방법으로 틀린 것은? 50 직류 복권발전기의 병렬운전에 있어 균압선을 붙이는 목적은 무엇인가? 51 2방향성 3단자 사이리스터는 어느 것인가? 52 15kVA, 3000/200V 변압기의 1차측 환산 등가 임피던스가 5.4+j6Ω 일 때, %저항강하 p와 %리액턴스강하 q는 각각 약 몇 %인가? 53 유도전동기의 2차 여자제어법에 대한 설명으로 틀린 것은? 54 직류발전기를 3상 유도전동기에서 구동하고 있다. 이 발전기에 55kW의 부하를 걸 때 전동기의 전류는 약 몇 A인가? (단, 발전기의 효율은 88%, 전동기의 단자전압은 400V, 전동기 효율은 88%, 전동기의 역률은 82%로 한다.) 55 동기기의 기전력의 파형 개선책이 아닌 것은? 56 유도자형 동기발전기의 설명으로 옳은 것은? 57 200V, 10kW의 직류 분권전동기가 있다. 전기자저항은 0.2Ω, 계자저항은 40Ω이고 정격전압에서 전류가 15A인 경우 5kgㆍm의 토크를 발생한다. 부하가 증가하여 전류가 25A로 되는 경우 발생토크[kgㆍm]는? 58 50Ω의 계자저항을 갖는 직류 분권발전기가 있다. 이 발전기의 출력이 5.4kW 일 때 단자전압은 100V, 유기기전력은 115V이다. 이 발전기의 출력이 2kW 일 때 단자전압이 125V라면 유기기전력은 약 몇 V인가? 59 돌극형 동기발전기에서 직축 동기리액턴스를 Xd, 횡축 동기리액턴스를 Xq라 할 때의 관계는? 60 10극 50Hz 3상 유도전동기가 있다. 회전자도 3상이고 회전자가 정지할 때 2차 1상간의 전압이 150V이다. 이것을 회전자계와 같은 방향으로 400rpm으로 회전시킬 때 2차 전압은 몇 V인가?
73 그림과 같은 파형의 Laplace 변환은? 74 2전력계법으로 평형 3상 전력을 측정하였더니 한쪽의 지시가 700W, 다른 쪽의 지시가 1400W 이었다. 피상전력은 약 몇 VA 인가? 75 최대값이 Im인 정현파 교류의 반파정류 파형의 실효값은? 76 그림과 같은 파형의 파고율은? 77 그림과 같이 10Ω의 저항에 권수비가 10:1의 결합회로를 연결했을 때 4단자 정수 A, B, C, D는? 78 그림과 같은 RC 회로에서 스위치를 넣은 순간 전류는? (단, 초기조건은 0이다.) 79 회로에서 저항 R에 흐르는 전류 I(A)는? 80 전류의 대칭분을 I0, I1, I2, 유기기전력을 Ea, Eb, Ec, 단자전압의 대칭분을 V0, V1, V2라 할 때 3상 교류발전기의 기본식 중 정상분 V1 값은? (단, Z0, Z1, Z2는 영상, 정상, 역상 임피던스이다.) 81 최대사용전압이 220V인 전동기의 절연내력시험을 하고자할 때 시험전압은 몇 V인가? 82 66kV 가공전선과 6kV 가공전선을 동일 지지물에 병가하는 경우에 특고압 가공전선은 케이블인 경우를 제외하고는 단면적이 몇 mm2 이상인 경동연선을 사용하여야 하는가?(2021년 변경된 KEC 규정 적용됨) 83 발전소의 개폐기 또는 차단기에 사용하는 압축공기장치의 주 공기탱크에 시설하는 압력계의 최고 눈금의 범위로 옳은 것은? 84 고압 가공전선로의 지지물로서 사용하는 목주의 풍압하중에 대한 안전율은 얼마 이상이어야 하는가?
85 다음 그림에서 L1은 어떤 크기로 동작하는 기기의 명칭인가? 86 지중 전선로에 있어서 폭발성 가스가 침입할 우려가 있는 장소에 시설하는 지중함은 크기가 몇 m3 이상일 때 가스를 방산시키기 위한 장치를 시설하여야 하는가? 87 최대사용전압 22.9kV인 3상 4선식 다중 접지방식의 지중 전선로의 절연내력시험을 직류로 할 경우 시험전압은 몇 V 인가? 88 특고압용 타냉식 변압기의 냉각장치에 고장이 생긴 경우를 대비하여 어떤 보호장치를 하여야 하는가? 89 금속덕트 공사에 적당하지 않은 것은? 90 3.3kV용 계기용 변성기의 2차측 전로의 접지공사는?(관련 규정 개정전 문제로 여기서는 기존 정답인 3번을 누르면 정답 처리됩니다. 자세한 내용은 해설을 참고하세요.) 91 특고압 옥외 배전용 변압기가 1대일 경우 특고압측에 일반적으로 시설하여야 하는 것은? 92 가공 전선로에 사용하는 지지물의 강도계산에 적용하는 갑종 풍압하중을 계산할 때 구성재의 수직 투영면적 1m2에 대한 풍압의 기준으로 틀린 것은? 93 3상 4선식 22.9kV, 중성선 다중접지 방식의 특고압 가공전선 아래에 통신선을 첨가 하고자 한다. 특고압 가공전선과 통신선과의 이격거리는 몇 cm 이상인가? 94 특고압 가공전선이 도로 등과 교차하는 경우에 특고압 가공전선이 도로 등의 위에 시설되는 때에 설치하는 보호망에 대한 설명으로 옳은 것은? 95 옥내에 시설하는 고압용 이동전선으로 옳은 것은? 96 교통이 번잡한 도로를 횡단하여 저압 가공전선을 시설하는 경우 지표상 높이는 몇 m 이상으로 하여야 하는가?
App Store Google Play
오늘학습 예시 이미지

시험에 합격하려면
복습을 제대로 해야 합니다.

오늘학습은 스스로 기억을 떠올리고 계획적으로 복습할 수 있도록 설계돼 있어요.
그것도, 가장 과학적인 방식으로요!

능동적 회상

능동적 회상
(Active Recall)

배운 내용을 단순 읽으며 반복하는 것이 아니라,
능동적으로 기억하고 있는지를
스스로 테스트하며
공부할 수 있는
학습 환경을 제공해 학습 효과를 높여요

간격 반복 학습

간격 반복 학습
(Spaced Repetition)

에빙하우스 망각곡선을 바탕으로
가장 최적의 시점에 복습을 제공하여
배운 내용이 잊히지 않도록 장기 기억화해요

Data 기반의
뇌과학적 복습 시스템

학습 결과 Data를 분석해, 문제별 최적화된
반복 학습량을
자동으로 분배해요.
학습에 소요되는 시간을 최소화하는
동시에
단기 기억을 장기 기억으로 전환해줘요.

36만 개 이상의
기출문제 무료 제공

공무원 및 약 300여종의 자격증 시험 기출문제
36만개
이상을 무료로 이용할 수 있어요.
여러 앱을 설치할 필요
없이, 오늘학습 하나로
모든 시험을 준비할 수 있어요.

다양한 문제 유형으로 만드는
나만의 단어장&문제집

기출 외에도 외워야 하는 내용은
객관식, 주관식, 카드, 빈칸
등 다양한 형식으로
직접 만들어 보세요. 내 학습 스타일에
맞게
나만의 단어장과 문제집을 만들 수 있어요.

시험별 체계적인
문제 관리

시험에 문제를 추가해 체계적으로
관리할 수 있어요.
주제나 단원별로
분류하고 싶다면,
시험에 챕터를 만들어
문제를 추가할 수도 있어요.

수십만 명이
오늘학습을 사랑합니다

앱 스토어 평점 4.9
구글 플레이 평점 4.8
누적 회원수 100,000+
지금 오늘학습을
시작해보세요
지금 시작하기
문제 선택