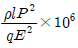
순저항 부하의 부하전력 P(kW), 전압 E(V), 선로의 길이 l(m), 고유저항 ρ(Ω·mm2/m)인 단상 2선식 선로에서 선로 손실을 q(W)라 하면, 전선의 단면적(mm2)은 어떻게 표현되는 가?
지금 시작하기 →

・・・ 문제은행 전기기사(2018년 2회) 23번

전기기사 2018년 04월 23번

순저항 부하의 부하전력 P(kW), 전압 E(V), 선로의 길이 l(m), 고유저항 ρ(Ω·mm2/m)인 단상 2선식 선로에서 선로 손실을 q(W)라 하면, 전선의 단면적(mm2)은 어떻게 표현되는 가?

1
2
3
4
단축키
이전 문제로 이동은 키를 누르고, 다음 문제로 이동은 키를 누르세요
이전 문제 , 다음 문제
문제(100)
1 매질 1의 μσ1=500, 매질 2의 μσ2=1000 이다. 매질 2에서 경계면에 대하여 45°각도로 자계가 입사한 경우 매질 1에서 경계면과 자계의 각도에 가장 가까운 것은? 2 대지의 고유저항이 ρ(Ω·m)일 때 반지름 a(m)인 그림과 같은 반구 접지극의 접지저항(Ω)은? 3 히스테리시스 곡선에서 히스테리시스 손실에 해당하는 것은? 4 다음 (가), (나)에 대한 법칙을 알맞은 것은? 5 N회 감긴 환상코일의 단면적이 S(m2)]이고 평균 길이가 l(m)이다. 이 코일의 권수를 2배로 늘이고 인덕턴스를 일정하게 하려고 할 때, 다음 중 옳은 것은? 6 무한장 솔레노이드에 전류가 흐를 때 발생되는 자장에 관한 설명으로 옳은 것은? 7 자기회로에서 키르히호프의 법칙으로 알맞은 것은?(단, R : 자기저항, φ : 자속, N : 코일 권수, I : 전류이다.) 8 전하밀도 ρs(C/m2)인 무한 판상 전하분포에 의한 임의 점의 전장에 대하여 틀린 것은? 9 한 변의 길이가 l(m)인 정사각형 도체 회로에 전류 I(A)를 흘릴 때 회로의 중심점에서 자계의 세기는 몇 AT/m 인가? 10 반지름 a(m)의 원형 단면을 가진 도선에 전도전류 ic=Icsin2πft (A)가 흐를 때 변위전위 밀도의 최대값 Jd는 몇 A/m2가 되는가? (단, 도전율은 σ(S/m)이고, 비유전율은 εr이다.) 11 대전 도체 표면전하밀도는 도체 표면의 모양에 따라 어떻게 분포하는가? 12 일정전압의 직류전원에 저항을 접속하여 전류를 흘릴 때, 저항값을 20 % 감소시키면 흐르는 전류는 처음 저항에 흐르는 전류의 몇 배가 되는가?
13 유전율이 ε인 유전체 내에 있는 점전하 Q에서 발산되는 전기력선의 수는 총 몇 개인가? 14 내부도체의 반지름이 a(m)이고, 외부도체의 내반지름이 b(m), 외반지름이 c(m)인 동축케이블의 단위 길이당 자기 인덕턴스 몇 H/m 인가? 15 공기 중에서 1m 간격을 가진 두 개의 평행 도체 전류의 단위길이에 작용하는 힘은 몇 N 인가? (단, 전류는 1A라고 한다.) 16 공기 중에서 코로나방전이 3.5 kV/mm 전계에서 발생한다고 하면, 이 때 도체의 표면에 작용하는 힘은 약 몇 N/m2 인가? 17 무한장 직선 전류에 의한 자계의 세기(AT/m)는? 18 전계의 평면 전자파가 있다. 진공 중에서 자계의 실효값은 몇 A/m 인가? 19 Biot-Savart의 법칙에 의하면, 전류소에 의해서 임의의 한 점(P)에 생기는 자계의 세기를 구할 수 있다. 다음 중 설명으로 틀린 것은? 20 x>0 인 영역에 ε1=3 인 유전체, x<0 인 영역에 ε2=5 인 유전체가 있다. 유전율 ε2 인 영역에서 전계가 E2=20ax+30ay-40az V/m 일 때, 유전율 ε1 인 영역에서의 전계 E1(V/m)은? 21 1 kWh를 열량으로 환산하면 약 몇 kcal 인가? 22 22.9 kV, Y결선된 자가용 수전설비의 계기용변압기의 2차측 정격전압은 몇 V 인가? 23 순저항 부하의 부하전력 P(kW), 전압 E(V), 선로의 길이 l(m), 고유저항 ρ(Ω·mm2/m)인 단상 2선식 선로에서 선로 손실을 q(W)라 하면, 전선의 단면적(mm2)은 어떻게 표현되는 가? 24 동작전류의 크기가 커질수록 동작시간이 짧게 되는 특성을 가진 계전기는?
73 시정수의 의미를 설명한 것 중 틀린 것은?(오류 신고가 접수된 문제입니다. 반드시 정답과 해설을 확인하시기 바랍니다.) 74 무손실 선로에 있어서 감쇠정수 α, 위상정수를 β라 하면 α와 β의 값은? (단, R, G, L, C 는 선로 단위 길이당의 저항, 컨덕턴스, 인덕턴스 커패시턴스이다.) 75 어떤 소자에 걸리는 전압이 이고, 흐르는 전류가 일 때 소비되는 전력(W)은? 76 그림(a)와 그림(b)가 역회로 관계에 있으려면 L의 값은 몇 mH 인가? 77 2개의 전력계로 평형 3상 부하의 전력을 측정하였더니 한쪽의 지시가 다른 쪽 전력계 지시의 3배였다면 부하의 역률은 약 얼마인가? 78 의 라플라스 역변환은? 79 선간전압의 200 V인 대칭 3상 전원에 평형 3상 부하가 접속되어 있다. 부하 1상의 저항은 10 Ω, 유도리액턴스 15 Ω, 용량리액턴스 5 Ω가 직렬로 접속된 것이다. 부하가 Δ결선일 경우, 선로전류(A)와 3상 전력(W)은 약 얼마인가? 80 공간적으로 서로의 각도를 두고 배치한 n개의 코일에 대칭 n상 교류를 흘리면 그 중심에 생기는 회전자계의 모양은? 81 애자사용 공사에 의한 저압 옥내배선 시설 중 틀린 것은? 82 저압 및 고압 가공전선의 높이는 도로를 횡단하는 경우와 철도를 횡단하는 경우에 각각 몇 m 이상이어야 하는가? 83 사용전압이 몇 V 이상의 중성점 직접접지식 전로에 접속하는 변압기를 설치하는 곳에는 절연유의 구외 유출 및 지하 침투를 방지하기 위하여 절연유 유출 방지설비를 하여야 하는가?(오류 신고가 접수된 문제입니다. 반드시 정답과 해설을 확인하시기 바랍니다.) 84 제1종 접지공사의 접지극을 시설할 때 동결 깊이를 감안하여 지하 몇 cm 이상의 깊이로 매설해야 하는가?
85 특고압 가공전선이 도로 등과 교차하여 도로 상부측에 시설할 경우에 보호망도 같이 시설하려고 한다. 보호망은 제 몇 종 접지공사로 하여야 하는가?(관련 규정 개정전 문제로 여기서는 기존 정답인 1번을 누르면 정답 처리됩니다. 자세한 내용은 해설을 참고하세요.) 86 발전용 수력 설비에서 필댐의 축재재료로 필댐의 본체에 사용하는 토질재료로 적합하지 않은 것은? 87 전기울타리용 전원 장치에 전기를 공급하는 전로의 사용전압은 몇 V 이하이어야 하는 가? 88 사용전압이 22.9 kV인 특고압 가공전선로(종성선 다중접지식의 것으로서 전로의 지락이 생겼을 때에 2초 이내에 자동적으로 이를 전로로부터 차단하는 장치가 되어 있는 것에 한 한다.)가 상호 간 접근 또는 교차하는 경우 사용전선이 양쪽 모두 케이블인 경우 이격거리는 몇 m 이상인가? 89 전력계통의 일부가 전력계통의 전원과 전기적으로 분리된 상태에서 분산형전원에 의해서만 가압되는 상태를 무엇이라 하는가? 90 고압 가공인입선이 케이블 이외의 것으로서 그 전선의 아래쪽에 위험표시를 하였다면 전선의 지표상 높이는 몇 m 까지로 감할 수 있는가? 91 특고압의 기계기구·모선 등을 옥외에 시설하는 변전소의 구내에 취급자 이외의 자가 들어가지 못하도록 시설하는 울타리·담 등의 높이는 몇 m 이상으로 하여야 하는가? 92 가반형의 용접 전극을 사용하는 아크용접장치의 용접변압기의 1차측 전로의 대지전압은 몇 V 이하이어야 하는가? 93 지중 전선로를 직접 매설식에 의하여 시설하는 경우에 차량 기타 중량물의 압력을 받을 우려가 없는 장소의 매설 깊이는 몇 cm 이상이어야 하는가? 94 특고압을 옥내에 시설하는 경우 그 사용 전압의 최대한도는 몇 kV 이하인가? (단, 케이블 트레이공사는 제외) 95 샤워시설이 있는 욕실 등 인체가 물에 젖어있는 상태에서 전기를 사용하는 장소에 콘센트를 시설할 경우 인제감전보호용 누전차단기의 정격감도전류는 몇 mA 이하인가? 96 버스 덕트 공사에서 저압 옥내배선의 사용전압이 400 V 미만인 경우에는 덕트에 제 몇 종 접지공사를 하여야 하는가?(관련 규정 개정전 문제로 여기서는 기존 정답인 3번을 누르면 정답 처리됩니다. 자세한 내용은 해설을 참고하세요.)
App Store Google Play
오늘학습 예시 이미지

시험에 합격하려면
복습을 제대로 해야 합니다.

오늘학습은 스스로 기억을 떠올리고 계획적으로 복습할 수 있도록 설계돼 있어요.
그것도, 가장 과학적인 방식으로요!

능동적 회상

능동적 회상
(Active Recall)

배운 내용을 단순 읽으며 반복하는 것이 아니라,
능동적으로 기억하고 있는지를
스스로 테스트하며
공부할 수 있는
학습 환경을 제공해 학습 효과를 높여요

간격 반복 학습

간격 반복 학습
(Spaced Repetition)

에빙하우스 망각곡선을 바탕으로
가장 최적의 시점에 복습을 제공하여
배운 내용이 잊히지 않도록 장기 기억화해요

Data 기반의
뇌과학적 복습 시스템

학습 결과 Data를 분석해, 문제별 최적화된
반복 학습량을
자동으로 분배해요.
학습에 소요되는 시간을 최소화하는
동시에
단기 기억을 장기 기억으로 전환해줘요.

36만 개 이상의
기출문제 무료 제공

공무원 및 약 300여종의 자격증 시험 기출문제
36만개
이상을 무료로 이용할 수 있어요.
여러 앱을 설치할 필요
없이, 오늘학습 하나로
모든 시험을 준비할 수 있어요.

다양한 문제 유형으로 만드는
나만의 단어장&문제집

기출 외에도 외워야 하는 내용은
객관식, 주관식, 카드, 빈칸
등 다양한 형식으로
직접 만들어 보세요. 내 학습 스타일에
맞게
나만의 단어장과 문제집을 만들 수 있어요.

시험별 체계적인
문제 관리

시험에 문제를 추가해 체계적으로
관리할 수 있어요.
주제나 단원별로
분류하고 싶다면,
시험에 챕터를 만들어
문제를 추가할 수도 있어요.

수십만 명이
오늘학습을 사랑합니다

앱 스토어 평점 4.9
구글 플레이 평점 4.8
누적 회원수 100,000+
지금 오늘학습을
시작해보세요
지금 시작하기
문제 선택