오늘학습 - 전기기사
지금 시작하기 →

・・・ 문제은행 전기기사(2022년 1회) 61번

전기기사 2022년 03월 61번

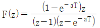
의 역 z 변환은?

1
1 – e-at
2
1 + e-at
3
t • e-at
4
t • eat
단축키
이전 문제로 이동은 키를 누르고, 다음 문제로 이동은 키를 누르세요
이전 문제 , 다음 문제
문제(100)
1 면적이 0.02m2, 간격이 0.03m이고, 공기로 채워진 평행평판의 커패시터에 1.0×10-6C의 전하를 충전시킬 때, 두 판 사이에 작용하는 힘의 크기는 약 몇 N 인가? 2 자극의 세기가 7.4×10-5Wb, 길이가 10cm인 막대자석이 100AT/m의 평등자계 내에 자계의 방향과 30°로 놓여 있을 때 이 자석에 작용하는 회전력(N·m)은? 3 유전율이 ε = 2ε0이고 투자율이 μ0인 비도전성 유전체에서 전자파의 전계의 세기가 V/m 일 때, 자계의 세기 H(A/m)는? (단, 는 단위벡터이다.) 4 자기회로에서 전기회로의 도전율 σ(℧/m)에 대응되는 것은? 5 단면적이 균일한 환상철심에 권수 1000회인 A코일과 권수 NB회인 B 코일이 감겨져 있다. A코일의 자기 인덕턴스가 100mH이고, 두 코일 사이의 상호 인덕턴스가 20mH이고, 결합계수가 1일 때, B코일의 권수(NB)는 몇 회인가? 6 공기 중에서 1V/m의 전계의 세기에 의한 변위전류밀도의 크기를 2A/m2으로 흐르게 하려면 전계의 주파수는 몇 MHz 가 되어야 하는가? 7 내부 원통 도체의 반지름이 a(m), 외부 원통 도체의 반지름이 b(m)인 동축 원통 도체에서 내외 도체 간 물질의 도전율이 σ(℧/m)일 때 내외 도체 간의 단위 길이당 컨덕턴스(℧/m)는? 8 z축 상에 놓인 길이가 긴 직선 도체에 10A의 전류가 +z 방향으로 흐르고 있다. 이 도체의 주위의 자속밀도가 Wb/m2 일 때 도체가 받는 단위 길이당 힘(N/m)은? (단, 는 단위벡터이다.) 9 진공 중 한 변의 길이가 0.1m인 정삼각형의 3정점 A, B, C에 각각 2.0×10-6C의 점전하가 있을 때, 점 A의 전하에 작용하는 힘은 몇 N 인가? 10 투자율이 μ(H/m), 자계의 세기가 H(AT/m), 자속밀도가 B(Wb/m2)인 곳에서의 자계 에너지 밀도(J/m3)는? 11 진공 내 전위함수가 V = x2 + y2(V)로 주어졌을 때, 0≤x≤1, 0≤y≤1, 0≤z≤1인 공간에 저장되는 정전에너지(J)는? 12 전계가 유리에서 공기로 입사할 때 입사각 θ1과 굴절각 θ2의 관계와 유리에서의 전계 E1과 공기에서의 전계 E2의 관계는?
13 진공 중에 4m 간격으로 평행한 두 개의 무한 평판 도체에 각각 +4 C/m2, -4 C/m2의 전하를 주었을 때, 두 도체 간의 전위차는 약 몇 V 인가? 14 인덕턴스(H)의 단위를 나타낸 것으로 틀린 것은? 15 진공 중 반지름이 a(m)인 무한길이의 원통 도체 2개가 간격 d(m)로 평행하게 배치되어 있다. 두 도체 사이의 정전용량(C)을 나타낸 것으로 옳은 것은? 16 진공 중에 4m의 간격으로 놓여진 평행 도선에 같은 크기의 왕복 전류가 흐를 때 단위 길이당 2.0×10-7N의 힘이 작용하였다. 이때 평행 도선에 흐르는 전류는 몇 A 인가? 17 평행 극판 사이의 간격이 d(m)이고 정전용량이 0.3μF인 공기 커패시터가 있다. 그림과 같이 두 극판 사이에 비유전율이 5인 유전체를 절반 두께 만큼 넣었을 때 이 커패시터의 정전용량은 몇 μF 이 되는가? 18 반지름이 a(m)인 접지된 구도체와 구도체의 중심에서 거리 d(m) 떨어진 곳에 점전하게 존재할 때, 점전하에 의한 접지된 구도체에서의 영상전하에 대한 설명으로 틀린 것은? 19 평등 전계 중에 유전체 구에 의한 전계 분포가 그림과 같이 되었을 때 ε1과 ε2의 크기 관계는?(문제 오류로 가답안 발표시 2번으로 발표되었지만 확정답안 발표시 모두 정답처리 되었습니다. 여기서는 가답안인 2번을 누르면 정답 처리 됩니다.) 20 어떤 도체에 교류 전류가 흐를 때 도체에서 나타나는 표피 효과에 대한 설명으로 틀린 것은? 21 소호리액터를 송전계통에 사용하면 리액터의 인덕턴스와 선로의 정전용량이 어떤 상태로 되어 지락전류를 소멸시키는가? 22 어느 발전소에서 40000kWh를 발전하는데 발열량 5000㎉/㎏의 석탄을 20톤 사용하였다. 이 화력발전소의 열효율(%)은 약 얼마인가? 23 송전전력, 선간전압, 부하역률, 전력손실 및 송전거리를 동일하게 하였을 경우 단상 2선식에 대한 3상 3선식의 총 전선량(중량)비는 얼마인가? (단, 전선은 동일한 전선이다.) 24 3상 송전선로가 선간단락(2선 단락)이 되었을 때 나타나는 현상으로 옳은 것은?
37 다음 중 환상(루프) 방식과 비교할 때 방사상 배전선로 구성 방식에 해당되는 사항은? 38 초호각(Arcing horn)의 역할은? 39 유효낙차 90m, 출력 104500㎾, 비속도(특유속도) 210m·㎾인 수차의 회전속도는 약 몇 rpm인가? 40 발전기 또는 주변압기의 내부고장 보호용으로 가장 널리 쓰이는 것은? 41 SCR을 이용한 단상 전파 위상제어 정류회로에서 전원전압은 실효값이 220V, 60㎐인 정현파이며, 부하는 순 저항으로 10Ω이다. SCR의 점호각 a를 60°라 할 때 출력전류의 평균값(A)은? 42 직류발전기가 90% 부하에서 최대효율이 된다면 이 발전기의 전부하에 있어서 고정손과 부하손의 비는? 43 정류기의 직류측 평균전압이 2000V이고 리플률이 3%일 경우, 리플전압의 실효값(V)은? 44 단상 직권 정류자전동기에서 보상권선과 저항도선의 작용에 대한 설명으로 틀린 것은? 45 3상 동기발전기에서 그림과 같이 1상의 권선을 서로 똑같은 2조로 나누어 그 1조의 권선전압을 E(V), 각 권선의 전류를 I(A)라 하고 지그재그 Y형(Zigzag Star)으로 결선하는 경우 선간전압(V), 선전류(A) 및 피상전력(VA)은? 46 비돌극형 동기발전기 한 상의 단자전압을 V, 유도기전력을 E, 동기리액턴스를 Xs, 부하각이 δ이고, 전기자저항을 무시할 때 한 상의 최대출력(W)은? 47 다음 중 비례추이를 하는 전동기는? 48 단자전압 200V, 계자저항 50Ω, 부하전류 50A, 전기자저항 0.15Ω, 전기자 반작용에 의한 전압강하 3V인 직류 분권발전기가 정격속도로 회전하고 있다. 이때 발전기의 유도기전력은 약 몇 V 인가?
49 동기기의 권선법 중 기전력의 파형을 좋게 하는 권선법은? 50 변압기에 임피던스전압을 인가할 때의 입력은? 51 불꽃 없는 정류를 하기 위해 평균 리액턴스 전압(A)과 브러시 접촉면 전압강하(B) 사이에 필요한 조건은? 52 유도전동기 1극의 자속을 , 2차 유효전류 I2cosθ2, 토크 τ의 관계로 옳은 것은? 53 회전자가 슬립 s로 회전하고 있을 때 고정자와 회전자의 실효 권수비를 α라고 하면 고정자 기전력 E1과 회전자 기전력 E2s의 비는? 54 직류 직권전동기의 발생 토크는 전기자 전류를 변화시킬 때 어떻게 변하는가? (단, 자기포화는 무시한다.) 55 동기발전기의 병렬운전 중 유도기전력의 위상차로 인하여 발생하는 현상으로 옳은 것은? 56 3상 유도기의 기계적 출력(Po)에 대한 변환식으로 옳은 것은? (단, 2차 입력은 P2, 2차 동손은 P2c, 동기속도는 Ns, 회전자속도는 N, 슬립은 s이다.) 57 변압기의 등가회로 구성에 필요한 시험이 아닌 것은? 58 단권변압기 두 대를 V결선하여 전압을 2000V에서 2200V로 승압한 후 200kVA의 3상 부하에 전력을 공급하려고 한다. 이때 단권변압기 1대의 용량은 약 몇 kVA 인가? 59 권수비 a=6600/220, 주파수 60㎐, 변압기의 철심 단면적 0.02m2, 최대자속밀도 1.2㏝/m2일 때 변압기의 1차측 유도기전력은 약 몇 V인가? 60 회전형전동기와 선형전동기(Linear Motor)를 비교한 설명으로 틀린 것은?
73 그림의 회로에서 120V와 30V의 전압원(능동소자)에서의 전력은 각각 몇 W인가? (단, 전압원(능동소자)에서 공급 또는 발생하는 전력은 양수(+)이고, 소비 또는 흡수하는 전력은 음수(-)이다.) 74 각 상의 전압이 다음과 같을 때 영상분 전압(V)의 순시치는? (단, 3상 전압의 상순은 a-b-c이다.) 75 그림과 같이 3상 평형의 순저항 부하에 단상 전력계를 연결하였을 때 전력계가 W(W)를 지시하였다. 이 3상 부하에서 소모하는 전체 전력(W)는? 76 정전용량이 C(F)인 커패시터에 단위 임펄스의 전류원이 연결되어 있다. 이 커패시터의 전압 vC(t)는? (단, u(t)는 단위 계단함수이다.) 77 그림의 회로에서 t=0s에 스위치(S)를 닫은 후 t=1s일 때 이 회로에 흐르는 전류는 약 몇 A인가? 78 순시치 전류 i(t) = Imsin(ωt+θI)A의 파고율은 약 얼마인가? 79 그림의 회로가 정저항 회로가 되기 위한 L(mH)은? (단, R=10Ω, C=1000㎌이다.) 80 분포정수 회로에 있어서 선로의 단위 길이당 저항이 100Ω/m, 인덕턴스가 200mH/m, 누설컨덕턴스가 0.5℧/m일 때 일그러짐이 없는 조건(무왜형 조건)을 만족하기 위한 단위 길이당 커패시턴스는 몇 ㎌/m인가? 81 저압 가공전선이 안테나와 접근상태로 시설될 때 상호 간의 이격거리는 몇 ㎝ 이상이어야 하는가? (단, 전선이 고압 절연전선, 특고압 절연전선 또는 케이블이 아닌 경우이다.) 82 고압 가공전선으로 사용한 경동선은 안전율이 얼마 이상인 이도로 시설하여야 하는가? 83 사용전압이 22.9㎸인 특고압 가공전선과 그 지지물·완금류·지주 또는 지선 사이의 이격거리는 몇 ㎝ 이상이어야 하는가? 84 급전선에 대한 설명으로 틀린 것은?
85 진열장 내의 배선으로 사용전압 400V 이하에 사용하는 코드 또는 캡타이어 케이블의 최소 단면적은 몇 mm2인가? 86 최대사용전압이 23000V인 중성점 비접지식 전로의 절연내력 시험전압은 몇 V 인가? 87 지중 전선로를 직접 매설식에 의하여 시설할 때, 차량 기타 중량물의 압력을 받을 우려가 있는 장소인 경우 매설깊이는 몇 m 이상으로 시설하여야 하는가? 88 플로어덕트 공사에 의한 저압 옥내배선 공사 시 시설기준으로 틀린 것은? 89 중앙급전 전원과 구분되는 것으로서 전력소비지역 부근에 분산하여 배치 가능한 신·재생에너지 발전설비 등의 전원으로 정의되는 용어는? 90 애자공사에 의한 저압 옥측전선로는 사람이 쉽게 접촉될 우려가 없도록 시설하고, 전선의 지지점 간의 거리는 몇 m 이하이어야 하는가? 91 저압 가공전선로의 지지물이 목주인 경우 풍압하중의 몇 배의 하중에 견디는 강도를 가지는 것이어야 하는가? 92 교류 전차선 등 충전부와 식물 사이의 이격거리는 몇 m 이상이어야 하는가? (단, 현장여건을 고려한 방호벽 등의 안전조치를 하지 않은 경우이다.) 93 조상기에 내부 고장이 생긴 경우, 조상기의 뱅크용량이 몇 kVA 이상일 때 전로로부터 자동 차단하는 장치를 시설하여야 하는가? 94 고장보호에 대한 설명으로 틀린 것은? 95 네온방전등의 관등회로의 전선을 애자공사에 의해 자기 또는 유리제 등의 애자로 견고하게 지지하여 조영재의 아랫면 또는 옆면에 부착한 경우 전선 상호 간의 이격거리는 몇 mm 이상이어야 하는가? 96 수소냉각식 발전기에서 사용하는 수소 냉각 장치에 대한 시설기준으로 틀린 것은?
App Store Google Play
오늘학습 예시 이미지

시험에 합격하려면
복습을 제대로 해야 합니다.

오늘학습은 스스로 기억을 떠올리고 계획적으로 복습할 수 있도록 설계돼 있어요.
그것도, 가장 과학적인 방식으로요!

능동적 회상

능동적 회상
(Active Recall)

배운 내용을 단순 읽으며 반복하는 것이 아니라,
능동적으로 기억하고 있는지를
스스로 테스트하며
공부할 수 있는
학습 환경을 제공해 학습 효과를 높여요

간격 반복 학습

간격 반복 학습
(Spaced Repetition)

에빙하우스 망각곡선을 바탕으로
가장 최적의 시점에 복습을 제공하여
배운 내용이 잊히지 않도록 장기 기억화해요

Data 기반의
뇌과학적 복습 시스템

학습 결과 Data를 분석해, 문제별 최적화된
반복 학습량을
자동으로 분배해요.
학습에 소요되는 시간을 최소화하는
동시에
단기 기억을 장기 기억으로 전환해줘요.

36만 개 이상의
기출문제 무료 제공

공무원 및 약 300여종의 자격증 시험 기출문제
36만개
이상을 무료로 이용할 수 있어요.
여러 앱을 설치할 필요
없이, 오늘학습 하나로
모든 시험을 준비할 수 있어요.

다양한 문제 유형으로 만드는
나만의 단어장&문제집

기출 외에도 외워야 하는 내용은
객관식, 주관식, 카드, 빈칸
등 다양한 형식으로
직접 만들어 보세요. 내 학습 스타일에
맞게
나만의 단어장과 문제집을 만들 수 있어요.

시험별 체계적인
문제 관리

시험에 문제를 추가해 체계적으로
관리할 수 있어요.
주제나 단원별로
분류하고 싶다면,
시험에 챕터를 만들어
문제를 추가할 수도 있어요.

수십만 명이
오늘학습을 사랑합니다

앱 스토어 평점 4.9
구글 플레이 평점 4.8
누적 회원수 100,000+
지금 오늘학습을
시작해보세요
지금 시작하기
문제 선택