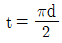
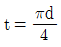
1줄 겹치기 리벳 이음에서 피치는 리벳 지름의 3배이고, 리벳의 전단력과 강판의 인장력이 같을 때, 강판 두께(t)와 리벳지름(d)과의 관계는?(단, 강판에서 발생하는 인장응력은 리벳에서 발생하는 전단응력의 2배이다.)
지금 시작하기 →

・・・ 문제은행 컴퓨터응용가공산업기사(2016년 3회) 39번

컴퓨터응용가공산업기사 2016년 10월 39번

1줄 겹치기 리벳 이음에서 피치는 리벳 지름의 3배이고, 리벳의 전단력과 강판의 인장력이 같을 때, 강판 두께(t)와 리벳지름(d)과의 관계는?(단, 강판에서 발생하는 인장응력은 리벳에서 발생하는 전단응력의 2배이다.)

1
2
3
4
단축키
이전 문제로 이동은 키를 누르고, 다음 문제로 이동은 키를 누르세요
이전 문제 , 다음 문제
문제(80)
1 기계가공을 할 때, 안전사항으로 가장 적합하지 않은 것은? 2 선반가공에서 공작물이 지름에 비하여 길이가 긴 경우에 떨림을 방지하고 정밀도가 높은 제품을 가공하고자 할 때 사용되는 장치는? 3 밀링 머신의 종류에서 드릴의 비틀림 홈 가공에 가장 적합한 것은? 4 표면연삭기에서 숫돌의 원주속도 V=2400m/min이고, 연삭력 P=147.15N이다. 이때 연삭기에 공급된 동력이 10PS라면 이 연삭기의 효율은 몇 %인가? 5 버니싱(burnishing)작업의 특징으로 틀린 것은?(오류 신고가 접수된 문제입니다. 반드시 정답과 해설을 확인하시기 바랍니다.) 6 가공물 표면에서 작은 알갱이를 투사하여 피로강도를 증가시키는 가공법은? 7 밀링 머신의 부속장치가 아닌 것은? 8 나사산의 각도를 측정하는 기기가 아닌 것은? 9 다음 절삭제 중 윤활성은 좋으나 냉각성이 적어 주로 경절삭에 사용되는 혼합유제는? 10 다음 그림과 같은 원형 관통 구멍을 가공할 때 사용되는 절삭공구가 아닌 것은?(문제 오류로 가답안 발표시 4번으로 발표되었지만 확정답안 발표시 전항 정답 처리되었습니다. 여기서는 4번을 누르면 정답 처리 됩니다.) 11 기계가공방법의 설명이 틀린 것은? 12 결합도가 높은 숫돌에서 구리와 같이 연한 금속을 연삭할 경우, 숫돌 기능이 저하되는 현상은?
37 350rpm으로 15kW의 동력을 전달시키는 축의 지름은 약 몇 mm 이상이어야 하는가? ( 단, 축의 허용전단응력은 25Mpa이다. ) 38 블록 브레이크에서 브레이크 용량을 결정하는 요소로 거리가 먼 것은? 39 1줄 겹치기 리벳 이음에서 피치는 리벳 지름의 3배이고, 리벳의 전단력과 강판의 인장력이 같을 때, 강판 두께(t)와 리벳지름(d)과의 관계는?(단, 강판에서 발생하는 인장응력은 리벳에서 발생하는 전단응력의 2배이다.) 40 유효지름이 모두 동일한 미터 보통 나사에서 리드각이 가장 큰 것은? 41 RS-232C를 이용하여 데이터를 전송하는 경우 각 핀의 신호에 대한 연결로 틀린 것은? 42 다음 2차원 변환행렬에서 m, n은 어떤 변환과 관계되는가? 43 특정 값이나 변수로 표현된 수식을 입력하여 형상을 생성하는 방식으로 이후 매개변수나 수식을 변경하면 자동으로 형상이 수정되는 형상 모델링 방법은? 44 주어진 조건으로 동일하게 3차원 솔리드 모델링을 수행 했을 대, 다음중 부피가 가장 큰 것은? 45 다음 중 형상모델링을 필요로 하는 분야로 가장 거리가 먼 것은? 46 원뿔을 임의 평면으로 교차시킨 경우에 구성되는 원추곡선이 아닌 것은? 47 다음 형상모델링 방법 중 선에 의해서만 형상을 표시하는 방법은? 48 Rapid Prototyping(RP) 방법 가운데 박판적층(Laminated Object Manufacturing, LOM)법에 대한 설명으로 옳은 것은?
App Store Google Play
오늘학습 예시 이미지

시험에 합격하려면
복습을 제대로 해야 합니다.

오늘학습은 스스로 기억을 떠올리고 계획적으로 복습할 수 있도록 설계돼 있어요.
그것도, 가장 과학적인 방식으로요!

능동적 회상

능동적 회상
(Active Recall)

배운 내용을 단순 읽으며 반복하는 것이 아니라,
능동적으로 기억하고 있는지를
스스로 테스트하며
공부할 수 있는
학습 환경을 제공해 학습 효과를 높여요

간격 반복 학습

간격 반복 학습
(Spaced Repetition)

에빙하우스 망각곡선을 바탕으로
가장 최적의 시점에 복습을 제공하여
배운 내용이 잊히지 않도록 장기 기억화해요

Data 기반의
뇌과학적 복습 시스템

학습 결과 Data를 분석해, 문제별 최적화된
반복 학습량을
자동으로 분배해요.
학습에 소요되는 시간을 최소화하는
동시에
단기 기억을 장기 기억으로 전환해줘요.

36만 개 이상의
기출문제 무료 제공

공무원 및 약 300여종의 자격증 시험 기출문제
36만개
이상을 무료로 이용할 수 있어요.
여러 앱을 설치할 필요
없이, 오늘학습 하나로
모든 시험을 준비할 수 있어요.

다양한 문제 유형으로 만드는
나만의 단어장&문제집

기출 외에도 외워야 하는 내용은
객관식, 주관식, 카드, 빈칸
등 다양한 형식으로
직접 만들어 보세요. 내 학습 스타일에
맞게
나만의 단어장과 문제집을 만들 수 있어요.

시험별 체계적인
문제 관리

시험에 문제를 추가해 체계적으로
관리할 수 있어요.
주제나 단원별로
분류하고 싶다면,
시험에 챕터를 만들어
문제를 추가할 수도 있어요.

수십만 명이
오늘학습을 사랑합니다

앱 스토어 평점 4.9
구글 플레이 평점 4.8
누적 회원수 100,000+
지금 오늘학습을
시작해보세요
지금 시작하기
문제 선택