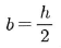
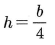
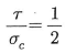
묻힘 키(sunk key)에 생기는 전단응력을 r, 압축응력을 σc라고 할 때, 이면 키 폭b와 높이 h의 관계식으로 옳은 것은? (단, 키 홈의 높이는 키 높이의 1/2이다.)
지금 시작하기 →

・・・ 문제은행 컴퓨터응용가공산업기사(2017년 1회) 40번

컴퓨터응용가공산업기사 2017년 03월 40번

묻힘 키(sunk key)에 생기는 전단응력을 r, 압축응력을 σc라고 할 때, 이면 키 폭b와 높이 h의 관계식으로 옳은 것은? (단, 키 홈의 높이는 키 높이의 1/2이다.)

1
b=h
2
3
4
b=2h
단축키
이전 문제로 이동은 키를 누르고, 다음 문제로 이동은 키를 누르세요
이전 문제 , 다음 문제
문제(80)
37 주로 회전운동을 왕복운동으로 변환시키는 데 사용하는 기계요소로서 내연기관의 밸브 개폐기구 등에 사용되는 것은? 38 잇수 32, 피치 12.7mm, 회전수 500rpm의 스프로킷 휠에 50번 롤러 체인을 사용하였을 경우 전달동력은 약 몇 kW인가? (단, 50번 롤러 체인의 파단하중은 22.10kN, 안전율은 15이다.) 39 드럼의 지름 600mm인 브레이크 시스템에서 98.1Nㆍm의 제동 토크를 발생시키고자 할 때 블록을 드럼에 밀어붙이는 힘은 약 몇 kN인가? (단, 접촉부 마찰계수는 0.3이다.) 40 묻힘 키(sunk key)에 생기는 전단응력을 r, 압축응력을 σc라고 할 때, 이면 키 폭b와 높이 h의 관계식으로 옳은 것은? (단, 키 홈의 높이는 키 높이의 1/2이다.) 41 다음 그림과 같이 x2+y2-2=0인 원이 있다. 점P(1,1)에서의 접선의 방정식은? 42 조립체 모델링에서 조립체를 구성하는 인스턴스(instance)에 필요한 정보는? 43 서피스 모델링(surface modeling)방식으로 정의된 곡면의 일부를 절단하면 어느 형태의 도형인가? 44 CAD/CAM 시스템에서 3차원에서 이미 구성된 도형자료를 다음 그림과 같이 y축을 기준으로 회전 변환시킬 때의 변환행렬식(Ty)으로 옳은 것은? 45 컴퓨터에서 자료표현의 최소단위는? 46 B-Rep 모델의 기본 요소가 아닌 것은? 47 CAD 시스템의 형상모델링에서 원추단면곡선을 음함수형태로 표시할 경우 타원(Ellips)의 방정식을 표현한 함수는? 48 주기억 장치와 CPU(중앙처리장치)사이에서 속도 차이를 줄이기 위해 데이터와 명령어를 일시적으로 저장하는 고속 기억 장치는?
49 아래 그림에 나타난 작업에 해당하는 절삭 공정은? 50 RP공정 중 Stratasys사에 의하여 상용화된 공정으로 열가소성수지를 액체 상태로 압축하여 각 층을 만드는 공정은? 51 NURBS 곡선의 표현식으로 알맞은 것은? (단, 는 조정점, h는 동차 좌표, Ni,k는 블렌딩 함수를 각각 의미한다.) 52 면 위의 점에서 법선벡터를 N, 면 위의 점으로부터 관찰자 눈으로 향하는 벡터를 M이라고 할 때, 관찰자의 눈에 보이지 않는 면에 대한 표현으로 알맞은 것은? 53 솔리드모델링 시스템 중 CSG 트리구조의 장점으로 틀린 것은? 54 볼 엔드밀을 사용하여 3축 NC 기계를 위한 CL(Cutter Location)데이터를 구하고자 할 때 필요한 데이터가 아닌 것은? 55 밀링작업 중 face-milling 가공에서 절삭속도가 60m/min, 공구의 직경이 100mm일 때 공구의 회전수는 약 얼마인가? 56 CAD/CAM 소프트웨어 간의 인터페이스 방식으로만 나열된 것은? 57 4개의 경계곡선이 주어진 경우, 경계곡선(boundary curve)내부를 부드러운 곡선으로 채워 정의되는 곡면은? 58 두 벡터에 동시에 수직한 벡터를 구하고자 할 때 사용하는 방법은? 59 CAD/CAM 시스템의 곡선표현 방식에서 Bezier곡선에 대한 설명으로 틀린 것은? 60 CAD에서 기하학적 형상(Geometric Model)을 나타내는 방법 중 모서리의 점, 선으로만 3차원 형상을 표시화하는 방법은?
App Store Google Play
오늘학습 예시 이미지

시험에 합격하려면
복습을 제대로 해야 합니다.

오늘학습은 스스로 기억을 떠올리고 계획적으로 복습할 수 있도록 설계돼 있어요.
그것도, 가장 과학적인 방식으로요!

능동적 회상

능동적 회상
(Active Recall)

배운 내용을 단순 읽으며 반복하는 것이 아니라,
능동적으로 기억하고 있는지를
스스로 테스트하며
공부할 수 있는
학습 환경을 제공해 학습 효과를 높여요

간격 반복 학습

간격 반복 학습
(Spaced Repetition)

에빙하우스 망각곡선을 바탕으로
가장 최적의 시점에 복습을 제공하여
배운 내용이 잊히지 않도록 장기 기억화해요

Data 기반의
뇌과학적 복습 시스템

학습 결과 Data를 분석해, 문제별 최적화된
반복 학습량을
자동으로 분배해요.
학습에 소요되는 시간을 최소화하는
동시에
단기 기억을 장기 기억으로 전환해줘요.

36만 개 이상의
기출문제 무료 제공

공무원 및 약 300여종의 자격증 시험 기출문제
36만개
이상을 무료로 이용할 수 있어요.
여러 앱을 설치할 필요
없이, 오늘학습 하나로
모든 시험을 준비할 수 있어요.

다양한 문제 유형으로 만드는
나만의 단어장&문제집

기출 외에도 외워야 하는 내용은
객관식, 주관식, 카드, 빈칸
등 다양한 형식으로
직접 만들어 보세요. 내 학습 스타일에
맞게
나만의 단어장과 문제집을 만들 수 있어요.

시험별 체계적인
문제 관리

시험에 문제를 추가해 체계적으로
관리할 수 있어요.
주제나 단원별로
분류하고 싶다면,
시험에 챕터를 만들어
문제를 추가할 수도 있어요.

수십만 명이
오늘학습을 사랑합니다

앱 스토어 평점 4.9
구글 플레이 평점 4.8
누적 회원수 100,000+
지금 오늘학습을
시작해보세요
지금 시작하기
문제 선택