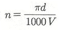
드릴의 속도가 V(m/min), 지름이 d(mm)일때, 드릴의 회전수 n(rpm)을 구하는 식은?
지금 시작하기 →

・・・ 문제은행 컴퓨터응용가공산업기사(2018년 1회) 11번

컴퓨터응용가공산업기사 2018년 03월 11번

드릴의 속도가 V(m/min), 지름이 d(mm)일때, 드릴의 회전수 n(rpm)을 구하는 식은?

1
2
3
4
단축키
이전 문제로 이동은 키를 누르고, 다음 문제로 이동은 키를 누르세요
이전 문제 , 다음 문제
문제(80)
25 불변강의 종류가 아닌 것은? 26 95%Cu-5%Zn 합금으로 연하고 코이닝(coining)하기 쉬우므로동전, 메달 등에 사용되는 황동의 종류는? 27 다음 중 블랭킹 및 피어싱 펀치로 사용되는 금형재료가 아닌 것은? 28 쾌삭강에서 피삭성을 좋게 만들기 위해 첨가하는 원소로 가장 적합한 것은? 29 뜨임 취성(Temper brittleness)을 방지하는데 가장 효과적인 원소는? 30 Fr-C 평형상태도에서 나타나지 않는 반응은? 31 4kNㆍm의 비틀림 모멘트를 받는 전동축의 지름은 약 몇 mm인가? (단, 축에 작용하는 전단응력은 60MPa이다.) 32 안지름 300mm, 내압 100 N/cm2이 작용하고 있는 실린더 커버를 12개의 볼트로 체결하려고 한다. 볼트 1개에 작용하는 하중W은 약 몇 N인가? 33 그림과 같은 스프링장치에서 각 스프링 상수 k1=40N/cm, k2=50N/cm, k3=60N/cm이다, 하중 방향의 처짐이 150mm 일 때 작용하는 하중 P는 약 몇 N 인가? 34 회전속도가 8m/s로 전동되는 평벨트 전동장치에서 가죽 벨트의 폭(b)×두께(t)=116mm×8mm인 경우, 최대전달동력은 약 몇kW인가? (단, 벨트의 허용인장응력은 2.35MPa, 장력비(eμθ)는 2.5이며, 원심력은 무시하고 벨트의 이음효율은 100%이다.) 35 작용하중의 방향에 따른 베어링 분류 중에서 축선에 직각으로 작용하는 하중과 축선 방향으로 작용하는 하중이 동시에 작용하는데 사용하는 베어링은?(오류 신고가 접수된 문제입니다. 반드시 정답과 해설을 확인하시기 바랍니다.) 36 양쪽 기울기를 가진 코터에서 저절로 빠지지 않기 위한 자립조건으로 옳은 것은? (단, ∝는 코터 중심에 대한 기울기 각도이고, ρ는 코터와 로드엔드와의 접촉부 마찰계수에 대응하는 마찰각이다.)
37 응력-변형률 선도에서 재료가 저항할 수 있는 최대의 응력을 무엇이라 하는가? (단, 공칭응력을 기준으로 한다.) 38 그림과 같은 블록 브레이크에서 막대 끝에 작용하는 조작력 F와 브레이크의 제동력 Q와의 관계식은? (단, 드럼은 반시계방향 회전을 하고 마찰계수는 μ이다.) 39 다음 중 기어에서 이의 크기를 나타내는 방법이 아닌 것은? 40 용접 가공에 대한 일반적인 특징 설명으로 틀린 것은? 41 XY 평면상에 하나의 곡선을 표현하는 방법에는 일반적으로 3가지가 있는데 이에 속하지 않는 것은? 42 반경이 R=√5cm인 볼 엔드밀로 평면을 가공하려고 한다. 경로 간 간격이 2cm일 때 커습(cusp) 높이는 몇 cm인가? 43 CAD/CAM 시스템에서 와이어프레임(wireframe), 서피스(surface), 솔리드(solid)모델과 같은 3차원 형상 모델에 대한 설명으로 틀린 것은? 44 2차원에서의 변환 행렬 TH(3×3)에 대한 설명 중 틀린 것은? 45 2차원 단면현상을 임의의 경로를 따라 이동하면서 3차원 솔리드를 생성하는 솔리드 모델링 기법은? 46 CSG(Constructive solid Geometry)방식에서 사용하는 기본 3차원 모델(privitives)이 아닌 것은? 47 평면상에서 기준 직교축의 원점에서부터 점 P까지의 직선거리(r)와 기준 직교축과 그 직선이 이루는 각도(θ)로 표시되는 2차원 좌표계는? 48 CAM에서 일반적으로 지원하는 곡면 가공방식이 아닌 것은?
App Store Google Play
오늘학습 예시 이미지

시험에 합격하려면
복습을 제대로 해야 합니다.

오늘학습은 스스로 기억을 떠올리고 계획적으로 복습할 수 있도록 설계돼 있어요.
그것도, 가장 과학적인 방식으로요!

능동적 회상

능동적 회상
(Active Recall)

배운 내용을 단순 읽으며 반복하는 것이 아니라,
능동적으로 기억하고 있는지를
스스로 테스트하며
공부할 수 있는
학습 환경을 제공해 학습 효과를 높여요

간격 반복 학습

간격 반복 학습
(Spaced Repetition)

에빙하우스 망각곡선을 바탕으로
가장 최적의 시점에 복습을 제공하여
배운 내용이 잊히지 않도록 장기 기억화해요

Data 기반의
뇌과학적 복습 시스템

학습 결과 Data를 분석해, 문제별 최적화된
반복 학습량을
자동으로 분배해요.
학습에 소요되는 시간을 최소화하는
동시에
단기 기억을 장기 기억으로 전환해줘요.

36만 개 이상의
기출문제 무료 제공

공무원 및 약 300여종의 자격증 시험 기출문제
36만개
이상을 무료로 이용할 수 있어요.
여러 앱을 설치할 필요
없이, 오늘학습 하나로
모든 시험을 준비할 수 있어요.

다양한 문제 유형으로 만드는
나만의 단어장&문제집

기출 외에도 외워야 하는 내용은
객관식, 주관식, 카드, 빈칸
등 다양한 형식으로
직접 만들어 보세요. 내 학습 스타일에
맞게
나만의 단어장과 문제집을 만들 수 있어요.

시험별 체계적인
문제 관리

시험에 문제를 추가해 체계적으로
관리할 수 있어요.
주제나 단원별로
분류하고 싶다면,
시험에 챕터를 만들어
문제를 추가할 수도 있어요.

수십만 명이
오늘학습을 사랑합니다

앱 스토어 평점 4.9
구글 플레이 평점 4.8
누적 회원수 100,000+
지금 오늘학습을
시작해보세요
지금 시작하기
문제 선택