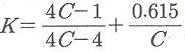
압축 코일 스프링의 소선 지름이 5mm, 코일의 평균 지름이 25mm이고, 200N의 하중이 작용할 대 스프링에 발생하는 최대전단응력은 약 몇 MPa인가? (단, 스프링 소재의 가로탄성계수(G)는 80GPa이고, Wahl의 응력수정계수 식 , C는 스프링 지수]을 적용한다.)
지금 시작하기 →

・・・ 문제은행 컴퓨터응용가공산업기사(2018년 2회) 39번

컴퓨터응용가공산업기사 2018년 04월 39번

압축 코일 스프링의 소선 지름이 5mm, 코일의 평균 지름이 25mm이고, 200N의 하중이 작용할 대 스프링에 발생하는 최대전단응력은 약 몇 MPa인가? (단, 스프링 소재의 가로탄성계수(G)는 80GPa이고, Wahl의 응력수정계수 식 , C는 스프링 지수]을 적용한다.)

1
82
2
98
3
133
4
152
단축키
이전 문제로 이동은 키를 누르고, 다음 문제로 이동은 키를 누르세요
이전 문제 , 다음 문제
문제(80)
37 축의 홈 속에서 자유로이 기울어 질 수 있어 키가 자동적으로 축과 보스에 조정되는 장점이 있지만, 키 홈의 깊이가 커서 축의 강도가 약해지는 단점이 있는 키는? 38 헬리컬 기어에서 잇수가 50, 비틀림각이 20°일 경우 상당평기어 잇수는 약 몇 개인가? 39 압축 코일 스프링의 소선 지름이 5mm, 코일의 평균 지름이 25mm이고, 200N의 하중이 작용할 대 스프링에 발생하는 최대전단응력은 약 몇 MPa인가? (단, 스프링 소재의 가로탄성계수(G)는 80GPa이고, Wahl의 응력수정계수 식 , C는 스프링 지수]을 적용한다.) 40 볼 베어링에서 작용 하중은 5kN, 회전수가 4000rpm이며, 이 베어링의 기본 동정격하중이 63kN이라면 수명은 약 몇 시간인가? 41 머시닝센터에서 팔렛을 자동으로 교환하는 장치는? 42 CAD/CAM 시스템에서 솔리드(solid) 모델링에 대한 설명으로 틀린 것은? 43 CAD 모델의 차수들 간에 관계식을 설정하여 매개변수를 통해 모델의 수정을 용이하게 하는 모델링 방식은? 44 머시닝센터에서 3D 자유곡면을 가공하기 위해 동시에 제어되어야 하는 최소한의 축의 개수는? 45 정점이 7개인 Bezier 곡선에서 곡선방정식의 차수는? 46 컴퓨터에서 사용되는 그래픽 관련 기술 중 LOD(Level Of Detail)에 관한 설명으로 틀린 것은? 47 NC공작기계에서 전기적인 신호 1펄스 당 움직이는 테이블 또는 공구의 최소이송단위는? 48 좌표공간에서 점(2,-3,1)을 중심점으로 하고 원점을 지나는 구의 방정식은?
49 CAD/CAM 시스템에서 곡면 모델링 시스템(surface modeling system)으로 수행할 수 없는 작업은? 50 4개의 모서리 점과 4개의 경계 곡선을 부드럽게 연결한 곡면으로, 곡면의 표현이 간결하여 예전에는 널리 사용하였으나 곡면내부의 볼록한 정도를 직접 조절하기가 어려워 정밀한 곡면 표현에는 적합하지 않은 것은? 51 그래픽 프로그램의 기본적인 좌표계 중에서 물체의 형상은 그 물체에 붙어 있는 좌표계에 관하여 물체의 모든 점이나 몇 개의 특징적인 점의 좌표에 의해서 정의되는 좌표계는? 52 다음 보기 중 직렬통신과 관계없는 용어는 어느 것인가? 53 2차원 데이터 변환 행렬로서 X축에 대한 대칭의 결과를 얻기 위한 변환으로 옳은 것은? 54 액상의 광경화수지에 레이저를 조사하여 굳힌 후 적층하는 방식의 RP(Rapid Prototyping)공정은? 55 CAM 시스템을 이용하여 NC 데이터 생성 시 계산된 공구경로를 각 기계 컨트롤러에 맞게 NC 데이터를 만들어주는 작업은? 56 솔리드 모델링 기법에서 B-Rep방식을 사용하는 경우 물체를 형성하는데 사용되는 기본요소로써 서로 연관성을 갖지 않는 것은? 57 다음 중 NURBS(Non Uniform Rational B-spline) 곡선의 특징으로 가장 거리가 먼 것은? 58 자유 곡면의 NC가공을 계획하는 과정에서 가공 영역을 지정하는 방식 중 지정된 폐곡선 영역의 외부를 일정 오프셋(offset)량을 주어 가공하는 지정 방식은? 59 CSG(constructive solid geometry)모델링에 사용되는 프리미티브(pribitive)로 적합하지 않은 것은? 60 CAD/CAM 시스템에서 타워체면(ellipsoid)의 방정식으로 옳은 것은?
App Store Google Play
오늘학습 예시 이미지

시험에 합격하려면
복습을 제대로 해야 합니다.

오늘학습은 스스로 기억을 떠올리고 계획적으로 복습할 수 있도록 설계돼 있어요.
그것도, 가장 과학적인 방식으로요!

능동적 회상

능동적 회상
(Active Recall)

배운 내용을 단순 읽으며 반복하는 것이 아니라,
능동적으로 기억하고 있는지를
스스로 테스트하며
공부할 수 있는
학습 환경을 제공해 학습 효과를 높여요

간격 반복 학습

간격 반복 학습
(Spaced Repetition)

에빙하우스 망각곡선을 바탕으로
가장 최적의 시점에 복습을 제공하여
배운 내용이 잊히지 않도록 장기 기억화해요

Data 기반의
뇌과학적 복습 시스템

학습 결과 Data를 분석해, 문제별 최적화된
반복 학습량을
자동으로 분배해요.
학습에 소요되는 시간을 최소화하는
동시에
단기 기억을 장기 기억으로 전환해줘요.

36만 개 이상의
기출문제 무료 제공

공무원 및 약 300여종의 자격증 시험 기출문제
36만개
이상을 무료로 이용할 수 있어요.
여러 앱을 설치할 필요
없이, 오늘학습 하나로
모든 시험을 준비할 수 있어요.

다양한 문제 유형으로 만드는
나만의 단어장&문제집

기출 외에도 외워야 하는 내용은
객관식, 주관식, 카드, 빈칸
등 다양한 형식으로
직접 만들어 보세요. 내 학습 스타일에
맞게
나만의 단어장과 문제집을 만들 수 있어요.

시험별 체계적인
문제 관리

시험에 문제를 추가해 체계적으로
관리할 수 있어요.
주제나 단원별로
분류하고 싶다면,
시험에 챕터를 만들어
문제를 추가할 수도 있어요.

수십만 명이
오늘학습을 사랑합니다

앱 스토어 평점 4.9
구글 플레이 평점 4.8
누적 회원수 100,000+
지금 오늘학습을
시작해보세요
지금 시작하기
문제 선택