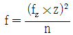
밀링 머신에서 테이블의 이송속도(f)를 구하는 식으로 옳은 것은? (단, fz : 1개의 날 당 이송(mm), z : 커터의 날 수, n : 커터의 회전수(rpm) 이다.)
지금 시작하기 →

・・・ 문제은행 컴퓨터응용가공산업기사(2017년 2회) 19번

컴퓨터응용가공산업기사 2017년 05월 19번

밀링 머신에서 테이블의 이송속도(f)를 구하는 식으로 옳은 것은? (단, fz : 1개의 날 당 이송(mm), z : 커터의 날 수, n : 커터의 회전수(rpm) 이다.)

1
2
3
4
단축키
이전 문제로 이동은 키를 누르고, 다음 문제로 이동은 키를 누르세요
이전 문제 , 다음 문제
문제(80)
25 다음 중 알루미늄합금이 아닌 것은? 26 강의 표면에 붕소(B)를 침투시키는 처리 방법은? 27 상온에서 순철(α철)의 격자구조는? 28 금속의 일반적인 특성이 아닌 것은? 29 오일리스 베어링(oilless bearing) 의 특징을 설명한 것으로 틀린 것은? 30 일반적으로 탄소강에서 탄소량이 증가할수록 증가하는 성질은? 31 지름이 10mm 인 시험편에 600N의 인장력이 작용한다고 할 때 이 시험편에 발생하는 인장응력은 약 몇 MPa 인가? 32 스프링에 150N의 하중을 가했을 때 발생하는 최대전단응력이 400 MPa 이었다. 스프링 지수(C)는 10이라고 할 때, 스프링 소선의 지름은 약 몇 mm 인가? (단, 응력수정계수 를 적용한다.) 33 맞물린 한 쌍의 인벌류트 기어에서 피치원의 공통접선과 맞물리는 부위에 힘이 작용하는 작용선이 이루는 각도를 무엇이라고 하는가? 34 지름 45mm의 축이 200rpm 으로 회전하고 있다. 이 축은 길이 1m에 대하여 1/4° 의 비틀림 각이 발생한다고 할 때 약 몇 kW 의 동력을 전달하고 있는가? (단, 축 재료의 가로탄성계수는 84 GPa 이다.) 35 정(Dhisel) 등의 공구를 사용하여 리벳머리의 주위와 강판의 가장자리를 두드리는 작업을 코킹(caulking)이라 하는데, 이러한 작업을 실시하는 목적으로 적절한 것은? 36 축 방향으로 보스를 미끄럼 운동시킬 필요가 있을 때 사용하는 키는?
37 어느 브레이크에서 제동동력이 3kW 이고, 브레이크 용량(brake capacity)을 0.8 N/mm2·m/s 라고 할 때, 브레이크 마찰면적의 크기는 약 몇 mm2 인가? 38 420 rpm 으로 16.20 kN 의 하중을 받고 있는 엔드저널의 지름(d)과 길이(ℓ)는? (단, 베어링 작용압력은 1 N/mm2, 폭 지름비 ℓ/d=2 이다.) 39 평벨트 전동장치와 비교하여 V-벨트 전동장치에 대한 설명으로 옳지 않은 것은? 40 M22볼트(골지름 19.294mm)가 그림과 같이 2장의 강판을 고정하고 있다. 체결 볼트의 허용전단응력이 36.15 MPa 라 하면 최대 몇 kN까지의 하중(P)을 견딜 수 있는가? 41 다음 중 곡면에 관한 일반적인 설명으로 틀린 것은? 42 다음 중 원뿔에 의한 원추곡선이 아닌 것은? 43 다음 중 P0, P1, P2의 조정점을 갖고 오더가 3인 비주기적 귱닐 B-spline 곡선의 식을 다항식 형태로 유도한 것으로 적절한 것은? 44 형상을 구성하고 있는 면과 면사이의 위상기하학적인 결합관계를 정의함으로써 3차원 물체를 표현하는 방식은? 45 제품개발의 초기개념 설계단계에서 해당 제품의 폐기에 이르기까지 전체 제품 라이프 사이클의 모든 것(품질, 원가, 일정, 고객의 요구사항 등)을 감안하여 협업적으로 개발하도록 하는 시스템 공학적 제품개발 전략은? 46 DNC(Direct Numerical Control)의 설명으로 옳은 것은? 47 컴퓨터를 이용한 공정계획의 약자로 맞는 것은? 48 다음 중 일반적인 공구경로 시뮬레이션을 통해 파트 프로그래머가 직접 시각적으로 확인하기 어려운 것은?
App Store Google Play
오늘학습 예시 이미지

시험에 합격하려면
복습을 제대로 해야 합니다.

오늘학습은 스스로 기억을 떠올리고 계획적으로 복습할 수 있도록 설계돼 있어요.
그것도, 가장 과학적인 방식으로요!

능동적 회상

능동적 회상
(Active Recall)

배운 내용을 단순 읽으며 반복하는 것이 아니라,
능동적으로 기억하고 있는지를
스스로 테스트하며
공부할 수 있는
학습 환경을 제공해 학습 효과를 높여요

간격 반복 학습

간격 반복 학습
(Spaced Repetition)

에빙하우스 망각곡선을 바탕으로
가장 최적의 시점에 복습을 제공하여
배운 내용이 잊히지 않도록 장기 기억화해요

Data 기반의
뇌과학적 복습 시스템

학습 결과 Data를 분석해, 문제별 최적화된
반복 학습량을
자동으로 분배해요.
학습에 소요되는 시간을 최소화하는
동시에
단기 기억을 장기 기억으로 전환해줘요.

36만 개 이상의
기출문제 무료 제공

공무원 및 약 300여종의 자격증 시험 기출문제
36만개
이상을 무료로 이용할 수 있어요.
여러 앱을 설치할 필요
없이, 오늘학습 하나로
모든 시험을 준비할 수 있어요.

다양한 문제 유형으로 만드는
나만의 단어장&문제집

기출 외에도 외워야 하는 내용은
객관식, 주관식, 카드, 빈칸
등 다양한 형식으로
직접 만들어 보세요. 내 학습 스타일에
맞게
나만의 단어장과 문제집을 만들 수 있어요.

시험별 체계적인
문제 관리

시험에 문제를 추가해 체계적으로
관리할 수 있어요.
주제나 단원별로
분류하고 싶다면,
시험에 챕터를 만들어
문제를 추가할 수도 있어요.

수십만 명이
오늘학습을 사랑합니다

앱 스토어 평점 4.9
구글 플레이 평점 4.8
누적 회원수 100,000+
지금 오늘학습을
시작해보세요
지금 시작하기
문제 선택