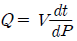
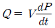
누설율을 구하는 식으로 옳은 것은?(단, P: 기체의 압력, Q: 누설율, V: 상자의 부피, t: 기체를 모으는 시간이다. )
지금 시작하기 →

・・・ 문제은행 초음파비파괴검사산업기사(구)(2010년 2회) 17번

초음파비파괴검사산업기사(구) 2010년 07월 17번

누설율을 구하는 식으로 옳은 것은?(단, P: 기체의 압력, Q: 누설율, V: 상자의 부피, t: 기체를 모으는 시간이다. )

1
2
3
4
단축키
이전 문제로 이동은 키를 누르고, 다음 문제로 이동은 키를 누르세요
이전 문제 , 다음 문제
문제(80)
25 초음파탐상기 내부에서 거리에 관계없이 가까운 거리의 결함과 먼거리의 결함을 같은 크기의 에코높이로 나타내 주도록 하는 회로는? 26 두께 100mm 인 V형 맞대기 용접부를 45도 경사각탐상을 할 때 화면상에 초음파 빔행정 길이가 140mm인 지시가 나타났다. 이 대 탐촉자의 입사점이 용접부의 중심선에서 100mm 떨어져 있다면 이 지시의 결함이 있는 위치는? 27 접촉에 의한 초음파탐상검사에서 그림과 같이 주사 하는 방법을 무엇이라 하는가? 28 압연철판(ASTM-A-36)의 초음파탐상 검사시 일반적으로 검출되는 불연속의 종류는? 29 초음파탐상기에서 송신펄스폭에 의해서 결함을 검출하지 못하는 거리를 무엇이라 하는가? 30 고체의 표면 또는 표면직하를 따라 전파하는 초음파의 진동모드가 아닌 것은? 31 초음파 속도가 6000m/s 인 강재에 직경이 19mm 이고, 주파수가 5MHz 인 종파용 탐촉자로 초음파를 발생시킬 때 근거리음장 거리는? 32 초음파탐상장치에서 송신펄스 위치는 영점에서 나타나며, 구간 당 거리 20mm 로 조정하고 싶다면 어느 것을 조정해야 하는가? 33 초음파탐상검사에서 거리진폭보상을 하는 주된 이유는? 34 초음파탐상검사시 리젝션(Rejection)을 사용했을 때 주로 나타나는 현상으로 옳은 것은? 35 수직탐촉자와 STB-A1 에 의해 초음파 탐상기를 교정한 후 알루미늄 시험편에 대한 탐상을 수행했을 때 예상되는 결과로 가장 적절한 것은?(단, VL(Al) = 6300m/s, VL(강) = 5900m/s 이다.) 36 판재의 용접부에서 융합선(Fusion Line)을 따라 존재하는 불연속의 검출에 효과적인 방법은?
37 초음파탐사용 탐촉자에서 진동자 뒷면 흡음재의 기능에 대한 설명으로 틀린 것은? 38 STB-A1 의 길이 100mm 방향에 5Z20N 의 탐촉자를 이용하여 초음파를 입사하였을 때의 탐상도형으로 측정 범위가 200mm 일 때 지연 에코에 대한 도형으로 옳은 것은? 39 초음파 탐상장치의 증폭직선성에 영향을 미치는 것은? 40 경사각탐상의 탐상감도 조정에 사용할 수 없는 시험편은? 41 ASME Sec. V. Art. 5에 따라 용접부를 초음파탐상검사할 때 DAC(거리진폭교정곡선)의 몇 %를 초과하는 흠지시에 대하여 적용 코드에 따라 합부판정 평가를 하는가? 42 압력용기용 알루미늄 합금판의 초음파탐상시험(ASME Sec. V. Art. 23 SB-548)에 따른 표준방법 중 진동자 수정체의 실제 지름이 10mm 일 때 주사 간격(mm)은? 43 강 용접부의 초음파탐상 시험방법(KS B 0896)에 규정된 영역 구분의 H선과 L선의 dB 차이는 얼마인가? 44 AWS 규격에서 용접부에 대한 경사각탐상시 감쇠계수를 고려토록 하고 있다. 이 감쇠인자 계산방법으로 옳다고 생각되는 것은? 45 ASME Sec. V. Art. 24 SA-388에 따라 초음파탐상검사를 실시할 때 잘못된 것은? 46 강 용접부의 초음파탐상 시험방법(KS B 0896)에 의한 경사각탐상시 에코높이의 범위가 L선 초과 M선 이하일 때 에코높이의 영역은? 47 보일러 및 압력용기의 재료에 대한 초음파탐상시험(ASME Sec. V. Art. 4)에서 초음파탐상으로 나타난 지시를 평가해야 하는 지시의 크기는? 48 보일러 및 압력용기의 재료에 대한 초음파탐상시험(ASME Sec. V. Art. 4)에 의해 탐상장치를 교정할 때 스크린높이 직선성의 허용 범위는 전체 스크린 높이의 몇 % 오차 이내 이어야 하는가?
49 강 용접부의 초음파탐상 시험방법(KS B 0896) 부속서6에 따라 판두께 20mm 인 강 용접부의 시험 결과를 분류할 때, M검출 레벨의 경우 흠 에코 높이의 영역이 III 이고, 지시길이가 9mm 이면 2류로 분류된다. 만약 지시길이는 변함이 없으나 흠 에코 높이의 영역이 IV 로 바뀌었다면 흠의 분류는? 50 KS B 0535에서 규정된 탐상주파수 5MHz, 진동자 재질이 수정 진동자 크기가 10×20mm인 가변각 탐촉자의 표시방법은? 51 보일러 및 압력용기에 대한 재료의 초음파탐상검사(ASME Sev. V. Art. 5)에 따른 교정시험편의 요건을 설명한 것으로 옳은 것은? 52 KS B 0896 - 1999에 의거 경사각 탐상에서 A2형계 표준 시험편을 사용하여 에코높이 구분선을 작성할 때 사용되는 표준구멍은? 53 보일러 및 압력용기에 대한 대형 단강품의 초음파탐상검사(ASME Sev. V. Art. 23 SA 388)에 따라 오스테나이트 스테인리스강 단강품을 검사하는 경우 펄스에코 초음파탐상기에 사용되는 주파수는 얼마 이하에서 작동되어야 하는가? 54 KS B 0535에서 규정하고 있는 수직탐촉자의 표시방법 중 첫 번째 기호가 나타내는 것은? 55 대형 단강품에 대한 초음파탐상시험(ASME Sev. V. Art. SA-388)에 따라 저면 반사기법(Back-Reflection Technique)으로 수직탐상할 때 저면반사에코 높이의 감소를 일으키는 원인이 아닌 것은? 56 인터넷의 표준 주소 방식인 URL에 포함되지 않는 정보는? 57 제어프로그램(Control Program)은 운영체제의 중심이 되는 프로그램으로 시스템 전체의 작동상태를 관리하는 소프트웨어이다. 다음 중 제어프로그램에 해당하지 않는 것은? 58 E-mail의 송수신에 관련된 프로토콜이 아닌 것은? 59 다음이 설명하고 있는 웹 페이지 검색엔진의 유형으로 옳은 것은? 60 중앙 처리 장치의 기능이 아닌 것은?
App Store Google Play
오늘학습 예시 이미지

시험에 합격하려면
복습을 제대로 해야 합니다.

오늘학습은 스스로 기억을 떠올리고 계획적으로 복습할 수 있도록 설계돼 있어요.
그것도, 가장 과학적인 방식으로요!

능동적 회상

능동적 회상
(Active Recall)

배운 내용을 단순 읽으며 반복하는 것이 아니라,
능동적으로 기억하고 있는지를
스스로 테스트하며
공부할 수 있는
학습 환경을 제공해 학습 효과를 높여요

간격 반복 학습

간격 반복 학습
(Spaced Repetition)

에빙하우스 망각곡선을 바탕으로
가장 최적의 시점에 복습을 제공하여
배운 내용이 잊히지 않도록 장기 기억화해요

Data 기반의
뇌과학적 복습 시스템

학습 결과 Data를 분석해, 문제별 최적화된
반복 학습량을
자동으로 분배해요.
학습에 소요되는 시간을 최소화하는
동시에
단기 기억을 장기 기억으로 전환해줘요.

36만 개 이상의
기출문제 무료 제공

공무원 및 약 300여종의 자격증 시험 기출문제
36만개
이상을 무료로 이용할 수 있어요.
여러 앱을 설치할 필요
없이, 오늘학습 하나로
모든 시험을 준비할 수 있어요.

다양한 문제 유형으로 만드는
나만의 단어장&문제집

기출 외에도 외워야 하는 내용은
객관식, 주관식, 카드, 빈칸
등 다양한 형식으로
직접 만들어 보세요. 내 학습 스타일에
맞게
나만의 단어장과 문제집을 만들 수 있어요.

시험별 체계적인
문제 관리

시험에 문제를 추가해 체계적으로
관리할 수 있어요.
주제나 단원별로
분류하고 싶다면,
시험에 챕터를 만들어
문제를 추가할 수도 있어요.

수십만 명이
오늘학습을 사랑합니다

앱 스토어 평점 4.9
구글 플레이 평점 4.8
누적 회원수 100,000+
지금 오늘학습을
시작해보세요
지금 시작하기
문제 선택