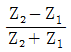
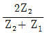
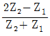
음향임피던스가 각각 Z1과 Z2인 두 매질의 경계면에 수직하게 매질 1 로부터 매질 2 로 초음파가 입사 될 때 음압 반사율을 나타내는 식으로 옳은 것은?
지금 시작하기 →

・・・ 문제은행 초음파비파괴검사산업기사(구)(2009년 2회) 30번

초음파비파괴검사산업기사(구) 2009년 07월 30번

음향임피던스가 각각 Z1과 Z2인 두 매질의 경계면에 수직하게 매질 1 로부터 매질 2 로 초음파가 입사 될 때 음압 반사율을 나타내는 식으로 옳은 것은?

1
2
3
4
단축키
이전 문제로 이동은 키를 누르고, 다음 문제로 이동은 키를 누르세요
이전 문제 , 다음 문제
문제(80)
1 강재로 진행하는 주파수 4MHz 인 종파의 파장과 아크릴로 진행하는 종파의 파장이 같으려면 약 AC MHz 의 주파수를 아크릴에 사용하여야 하는가? (단, 아크릴, 강재의 종파속도는 각각 2730m/s, 5900m/s 이다.) 2 다음 중 초음파탐상시험시 잔류에코의 발생에 대한 설명으로 가장 옳은 것은? 3 그림과 같이 수직탐촉자를 합성수지 쐐기를 이용하여 45° 경사각 탐촉자를 만들어 강 용접부를 탐상하고자 한다. 그림에서 a 를 약 몇 도로 가공하여야 하는가? (단, 각 매질에서의 음파속도는 합성수지 : 종파 2600m/s, 횡파 1200m/s 강 : 종파 5900m/s, 횡파 3200m/s 이다.) 4 탐촉자의 진동자 재질 중 티탄산바륨(Barium Titanate)의 특징이 아닌 것은? 5 다음 중 경사각탐상에 사용하는 4가지 기본 주사방법이 아닌 것은? 6 초음파탐상시험에 적용되는 초음파의 특성이 아닌 것은? 7 방사선투과시험시 쉽게 검출되는 불연속 중 콜드셧(cold shut)은 주로 어느 공정에서 발생하는가? 8 다음 중 비파괴검사의 신뢰도에 영향을 미치는 중요 요소와 거리가 먼 것은? 9 다음 중 와전류탐상시험에서 시험주파수 선정시 고려해야 할 요소와 가장 거리가 먼 것은? 10 다른 비파괴검사법과 비교하여 초음파탐상시험의 가장 큰 장점은? 11 초음파탐상시험과 음향방출시험에 대한 다음 설명 중 초음파탐상시험에 해당되는 것은? 12 다음의 자화전류 종류 중 자분탐상시험으로 표면하(下)의 결함을 검출하는데 가장 적합한 것은?
25 초음파탐상검사시 펄스에서 나오는 전압은 100V~1000V 사이인데 반하여 증폭기로 들어가는 에코의 전압은 어느 정도인가? 26 용접부의 경사각탐상에서 결함위치를 측정하는 경우에 대한 설명으로 가장 옳은 것은? 27 펄스반사식 초음파 수직탐촉자를 이용한 판재의 왕복투과시간이 9.15x10-6s 였다. 판재의 두께는 약 몇 mm 인가?(단, 판재의 속도는 5925m/s 이다.) 28 용접부 탐상시 기준감도를 초과하는 결함 에코가 나타났다. 이 때 12dB 를 감소시키니 결함에코의 감도가 기준감도와 동일하게 나타났다면 실제 결함에코의 감도는 기준감도의 약 몇 배가 되는가? 29 초음파가 매질을 통과함에 따라 에너지의 손실이 발생하는데 이와 같은 감쇠의 주된 원인은? 30 음향임피던스가 각각 Z1과 Z2인 두 매질의 경계면에 수직하게 매질 1 로부터 매질 2 로 초음파가 입사 될 때 음압 반사율을 나타내는 식으로 옳은 것은? 31 초음파탐상검사에서 결함길이에 대한 설명으로 가장 옳은 것은? 32 초음파탐상검사에 대한 다음 설명 중 옳은 것은? 33 지름 500mm 의 주강 롤(roll)을 수직탐상에 의해 결함을 평가하려 할 때 다음 중 가장 적합한 수직 탐촉자는? 34 초음파탐상기의 탐상도형에 대한 설명 중 틀린것은? 35 다음 중 일반적으로 단조물, 압연물, 압출물 등에 있는 결함들은 어느 방향으로 초음파탐상검사를 하는 것이 가장 좋은가? 36 다음 중 Delay-tip(Stand-off)형의 접촉탐촉자는 주로 어디에 사용되는가?
37 그림과 같은 주사방법은? 38 그림은 탐촉자의 무엇을 측정하는 것인가? 39 초음파가 어떤 두 매질 내에서 굴절이 일어날 수 있는 필수 조건만으로 옳은 것은? 40 초음파탐상검사를 수행한 결과 탐상기의 화면에 횡축을 따라 탐촉자의 위치가 나타나고, 종축을 따라 반사체까지의 초음파 전파시간이 표시되었다면 이와 같은 표시방법은 다음 중 무엇에 해당하는가? 41 강 용접부의 초음파탐상 시험방법(KS B 0896)에 따른 탐상면의 거칠기가 80μm 이상인 용접부를 검사할 때 사용되는 접촉매질로 옳은 것은? 42 강 용접부의 초음파탐상 시험방법(KS B 0896)에 따른 다음 표를 이용하여 제시된 결함지시의 등급으로 옳은 것은? 43 강 용접부의 초음파탐상 시험방법(KS B 0896)으로 탐상시 DAC 회로를 사용할 때 에코높이 구분선의 작성방법으로 틀린 것은? 44 강 용접부의 초음파탐상 시험방법(KS B 0896)에서 규정한 탠덤탐상의 적용 가능한 최소 판두께는? 45 보일러 및 압력용기에 대한 용접부의 초음파탐상시험(ASME Sec.V, Art.4)에서 용접부의 두께가 25mm (즉, 1인치)일 때 기본 교정시험편의 구멍 지름으로 옳은 것은? 46 강 용접부의 초음파탐상 시험방법(KS B 0896)에 의한 탐상면, 탐상의 방향 및 방법에 대한 설명중 틀린 것은? 47 금속재료의 펄스반사법에 따른 초음파탐상 시험방법 통칙(KS B 0817)의 특별점검에 해당하지 않는 것은? 48 보일러 및 압력용기에대한 용접부의 초음파탐상검사(ASME Sec.V,Art.4 app.C)에 따라 용접부를 수직탐상 하는 경우, 수직 빔 교정의 일반적인 절차를 위해 필요한 구멍의 크기는?
49 보일러 및 압력용기에대한 용접부의 초음파탐상검사(ASME Sec.V,Art.4)에서 탐상 온도에 대한 설명으로 옳은 것은? 50 보일러 및 압력용기에 대한 용접부의 초음파탐상시험(ASME Sec.V,Art.4)에서 일반적인 경우 탐촉자의 이동속도는 몇 ㎜/s 를 초과할 수 없는가? 51 보일러 및 압력용기에 대한 초음파탐상검사(ASEM Sec. V, Art.23 SA-577)의 강판 경사각빔에 대한 경사각탐상기준에서 탐촉자를 주사할 때 결함이 검출되면 그 부위를 중심으로 얼마의 넓이를 100% 시험하여야 하는가? 52 보일러 및 압력용기에 대한 용접부의 초음파탐상시험 (ASME Sec.V Art.4)에서 교정 확인시 감도 설정값이 그 진폭값의 얼마가 감소하면 감도 교정을 수정하고, 검사 기록서에 수정값을 기록하는가? 53 보일러 및 압력용기의 재료에 대한 초음파탐상시험(ASME Sec.V, Art.5)에서 니켈 합금에 사용되는 탐촉자의 접촉매질은 몇 ppm 이상의 황을 포함하지 않아야 하는가? 54 강 용접부의 초음파탐상 시험방법(KS B 0896)에 따라 시험 결과를 분류하려고 한다. 다음 중 틀린 설명은? 55 보일러 및 압력용기의 용접부에 대한 초음파탐상시험(ASME Sec.V, Art.4)에 사용되는 교정시험편은 최소한 어떤 열처리가 행하여진 것을 사용해야 하는가? 56 다음 중 FTP 프로토콜의 설명으로 틀린 것은? 57 인터넷 서비스에 대한 설명으로 잘못 짝지어진것은? 58 도메인네임을 구성하는 영역 중 최상위 도메인의 종류와 그에 해당하는 기관명으로 옳지 않은 것은? 59 사이버 공간에서 지켜야하는 예절을 지칭하는 용어는? 60 소프트웨어는 그 용도와 구성 및 사용목적에 따라 두 가지 형태로 구분한다. 다음 중 시스템 소프트웨어로 분류되는 프로그램은?
App Store Google Play
오늘학습 예시 이미지

시험에 합격하려면
복습을 제대로 해야 합니다.

오늘학습은 스스로 기억을 떠올리고 계획적으로 복습할 수 있도록 설계돼 있어요.
그것도, 가장 과학적인 방식으로요!

능동적 회상

능동적 회상
(Active Recall)

배운 내용을 단순 읽으며 반복하는 것이 아니라,
능동적으로 기억하고 있는지를
스스로 테스트하며
공부할 수 있는
학습 환경을 제공해 학습 효과를 높여요

간격 반복 학습

간격 반복 학습
(Spaced Repetition)

에빙하우스 망각곡선을 바탕으로
가장 최적의 시점에 복습을 제공하여
배운 내용이 잊히지 않도록 장기 기억화해요

Data 기반의
뇌과학적 복습 시스템

학습 결과 Data를 분석해, 문제별 최적화된
반복 학습량을
자동으로 분배해요.
학습에 소요되는 시간을 최소화하는
동시에
단기 기억을 장기 기억으로 전환해줘요.

36만 개 이상의
기출문제 무료 제공

공무원 및 약 300여종의 자격증 시험 기출문제
36만개
이상을 무료로 이용할 수 있어요.
여러 앱을 설치할 필요
없이, 오늘학습 하나로
모든 시험을 준비할 수 있어요.

다양한 문제 유형으로 만드는
나만의 단어장&문제집

기출 외에도 외워야 하는 내용은
객관식, 주관식, 카드, 빈칸
등 다양한 형식으로
직접 만들어 보세요. 내 학습 스타일에
맞게
나만의 단어장과 문제집을 만들 수 있어요.

시험별 체계적인
문제 관리

시험에 문제를 추가해 체계적으로
관리할 수 있어요.
주제나 단원별로
분류하고 싶다면,
시험에 챕터를 만들어
문제를 추가할 수도 있어요.

수십만 명이
오늘학습을 사랑합니다

앱 스토어 평점 4.9
구글 플레이 평점 4.8
누적 회원수 100,000+
지금 오늘학습을
시작해보세요
지금 시작하기
문제 선택