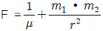
쿨롱의 법칙에서 두 자극 사이에 작용하는 힘(F)을 구하는 식으로 옳은 것은? (단, 자극의 세기는 m1 ,m2 투자율은 μ, 자극간의 간격은 r이다.)
지금 시작하기 →

・・・ 문제은행 초음파비파괴검사산업기사(구)(2011년 2회) 16번

초음파비파괴검사산업기사(구) 2011년 08월 16번

쿨롱의 법칙에서 두 자극 사이에 작용하는 힘(F)을 구하는 식으로 옳은 것은? (단, 자극의 세기는 m1 ,m2 투자율은 μ, 자극간의 간격은 r이다.)

1
2
3
4
단축키
이전 문제로 이동은 키를 누르고, 다음 문제로 이동은 키를 누르세요
이전 문제 , 다음 문제
문제(80)
25 초음파가 어떤 두 매질 내에서 굴절이 일어날 수 있는 필수 조건만으로 옳은 것은? 26 [그림]과 같이 수침법으로 강재를 경사각 탐상할 때 강재중에 횡파를 굴절각 45°로 전파시키기 위해 입사각을 몇 도로 하면 되는가? (단, Ci는 1480m/s, Cs는 3230m/s이다.) (문제 오류로 복원중입니다. 그림파일이 없습니다. 정확한 내용을 아시는 분께서는 오류신고를 통하여 내용 작성 부탁 드립니다. 정답은 1번입니다.) 27 주강품을 초음파 탐상검사할 때 탐상에 어려움이 따르는 가장 큰 문제점은? 28 다음 중 일반적으로 단조물, 압연물, 압출물 등에 있는 결함들은 어느 방향으로 초음파 탐상검사를 하는 것이 가장 좋은가? 29 시험체의 양면에 각각 별개의 탐촉자를 사용하여 검사하는 방법은? 30 수직탐상법으로 초음파탐상검사를 할 때 탐상방법과 방향에 관한 설명으로 옳은 것은? 31 탐촉자의 진동자 재질 중 티탄산바륨의 장점이 아닌 것은? 32 초음파 탐상히험의 DGS 선도란 무엇을 하기 위한 것인가? 33 경사각탐촉자로 용접부를 검사할 때 경사평행주사 또는 용접선상주사를 하여 최대에코높이가 나타나는 결함은? 34 사각 탐상의 기본주사 방법이 아닌 것은? 35 다음 중 거리진폭특성(DAC)를 작성하는데 사용할 수 없는 시험편은? 36 대형 구조물의 맞대기 용접부를 사각탐촉자를 사용하여 초음파 탐상검사하는 경우 나타날 수 있는 방해에코(비관련지시)로 가장 거리가 먼 것은?
37 초음파 탐상기의 기본적 조정법에 관한 설명으로 옳지 않은 것은? 38 복원중(문제 오류로 복원중입니다. 정확한 내용을 아시는 분께서는 오류신고를 통하여 내용 작성 부탁 드립니다. 정답은 1번입니다.) 39 다음 중 초음파 탐상검사에서 잔류 에코(ghost echo)가 나타날 수 있는 가능성이 가장 큰 경우는? 40 A 스캔 장비의 스크린에서 저면반사파의 강도(음압)를 나타내는 것은? 41 금속재료의 펄스반사법에 따른 초음파 탐상시험방법통칙(KS B 0817)에 의거 초음파 탐상시험을 실시하고 시험의 결과를 평가하는 경우 고려하여야 할 사항에 해당되지 않는 것은? 42 강 용접부의 초음파 탐상시험방법(KS B 0896)에 의하여 평판 맞대기 이음 용접부의 경사각 탐상 중 판두께가 40mm를 초과하고 60mm 이하인 경우의 재료에 대한 초음파 탐상방법으로 옳지 않은 것은? 43 압력용기 제작규정(ASME Sec.Ⅷ. Div.1)에 따라 초음파 탐상 결과를 판정하고자 할 때 결함의 길이에 관계없이 불합격 처리되는 결합은? 44 보일러 및 압력용기에 대한 초음파 탐상검사(ASME Sec.V.Art.4)에 따라 시험장치의 기능이 적절한지 점검하기 위한 교정의 시기로 적절한 것은? 45 알루미늄의 맞대기 용접부의 초음파 경사각 탐상시험방법(KS B 0897)에서 모재 두께가 30mm일 때 흠의 길이가 9mm 이면 흠의 분류는? 46 강판을 경사각 탐상할 때, ASME Code의 보일러와 압력용기 규격에서 규정한 표준 사양은? 47 보일러 및 압력용기에 e한 초음파 탐상검사(ASME Sec.V.Art4)에 사용되는 교정시험편은 최소한 어떤 열처리가 행하여진 것을 사용해야 하는가? 48 보일러 및 압력용기에 사용되어지는 대형 단강품의 초음파탐상시험(ASME Sec.V.Art.23.SA338)에서 입도가 조대한 오스테나이트계 재료를 수직탐상할 때 가장 적합한 탐촉자 주파수는?
49 보일러 및 압력용기에 대한 초음파 탐상검사(ASME Sec.V.Art4)에 따라 용접부 탐상검사에 경사각 탐촉자를 사용할 때 다음 중 일반적으로 이용되는 경사각이 아닌 것은? 50 강 용접부의 초음파 탐상시험방법(KS B 0896)에서 표준시험편 및 대비 시험편의 적용시 길이이음 용접부의 곡률 반지름이 250mm 미만일 경우 원칙적으로 사용되는 시험편은? 51 강 용접부의 초음파 탐상시험방법(KS B 0896)에 규정된 수직탐상시 거리진폭 특성곡선에 의한 에코 높이 구분선을 작성하지 않아도 되는 빔 노정의 기준은? (단, 사용하는 진동자의 공칭 지름은 25mm이다.) 52 금속재료의 펄스반사법에 따른 초음파 탐상시험방법통칙(KS B 0817)에 따른 초음파 탐상 장치의 성능 점검에 해당되지 않는 것은? 53 알루미늄의 맞대기 용접부의 초음파 경사각 탐상시험방법(KS B 0897)에 따라 탐상 후 나타나는 흠의 지시 길이 측정에 관한 설명으로 옳지 않은 것은? 54 초음파 탐상 시험용 표준 시험편(KS B 0831)에서 규정하고 있는 A1형 표준 시험편의 주된 사용 목적이 아닌 것은? 55 ASME Code SA-609에 의하여 주강품을 초음파 탐상시험할 때 옳지 않은 것은? 56 다음 인터넷 서비스에 대한 설명으로 잘못된 것은? 57 컴퓨터통신 사용에 대한 예절로 가장 부적절한 것은? 58 다음 중 바이러스를 예방 또는 치료해주는 프로그램은? 59 PC 운영체제에 대한 설명으로 틀린 것은? 60 다음이 설명하고 있는 것은?
App Store Google Play
오늘학습 예시 이미지

시험에 합격하려면
복습을 제대로 해야 합니다.

오늘학습은 스스로 기억을 떠올리고 계획적으로 복습할 수 있도록 설계돼 있어요.
그것도, 가장 과학적인 방식으로요!

능동적 회상

능동적 회상
(Active Recall)

배운 내용을 단순 읽으며 반복하는 것이 아니라,
능동적으로 기억하고 있는지를
스스로 테스트하며
공부할 수 있는
학습 환경을 제공해 학습 효과를 높여요

간격 반복 학습

간격 반복 학습
(Spaced Repetition)

에빙하우스 망각곡선을 바탕으로
가장 최적의 시점에 복습을 제공하여
배운 내용이 잊히지 않도록 장기 기억화해요

Data 기반의
뇌과학적 복습 시스템

학습 결과 Data를 분석해, 문제별 최적화된
반복 학습량을
자동으로 분배해요.
학습에 소요되는 시간을 최소화하는
동시에
단기 기억을 장기 기억으로 전환해줘요.

36만 개 이상의
기출문제 무료 제공

공무원 및 약 300여종의 자격증 시험 기출문제
36만개
이상을 무료로 이용할 수 있어요.
여러 앱을 설치할 필요
없이, 오늘학습 하나로
모든 시험을 준비할 수 있어요.

다양한 문제 유형으로 만드는
나만의 단어장&문제집

기출 외에도 외워야 하는 내용은
객관식, 주관식, 카드, 빈칸
등 다양한 형식으로
직접 만들어 보세요. 내 학습 스타일에
맞게
나만의 단어장과 문제집을 만들 수 있어요.

시험별 체계적인
문제 관리

시험에 문제를 추가해 체계적으로
관리할 수 있어요.
주제나 단원별로
분류하고 싶다면,
시험에 챕터를 만들어
문제를 추가할 수도 있어요.

수십만 명이
오늘학습을 사랑합니다

앱 스토어 평점 4.9
구글 플레이 평점 4.8
누적 회원수 100,000+
지금 오늘학습을
시작해보세요
지금 시작하기
문제 선택