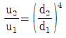
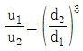
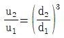
동일한 길이와 재질로 만들어진 두 개의 원형단면 축이 있다. 각각의 지름이 d1, d2 일때 각 축에 저장되는 변형에너지 u1, u2의 비는? (단, 두 축은 모두 비틀림 모멘트 T를 받고 있다.)
지금 시작하기 →

・・・ 문제은행 용접기사(2020년 1회) 26번

용접기사 2020년 06월 26번

동일한 길이와 재질로 만들어진 두 개의 원형단면 축이 있다. 각각의 지름이 d1, d2 일때 각 축에 저장되는 변형에너지 u1, u2의 비는? (단, 두 축은 모두 비틀림 모멘트 T를 받고 있다.)

1
2
3
4
단축키
이전 문제로 이동은 키를 누르고, 다음 문제로 이동은 키를 누르세요
이전 문제 , 다음 문제
문제(100)
25 단면적이 4cm2인 강봉에 그림과 같은 하중이 작용하고 있다. W=60kN, P=25kN, ℓ=20㎝일 때 BC 부분의 변형률 ε은 약 얼마인가? (단, 세로탄성계수는 200GPa이다.) 26 동일한 길이와 재질로 만들어진 두 개의 원형단면 축이 있다. 각각의 지름이 d1, d2 일때 각 축에 저장되는 변형에너지 u1, u2의 비는? (단, 두 축은 모두 비틀림 모멘트 T를 받고 있다.) 27 철도 레일의 온도가 50℃에서 15℃로 떨어졌을 때 레일에 생기는 열응력은 약 몇 MPa인가? (단, 선팽찬계수는 0.00012/℃, 세로탄성계수는 210GPa이다.) 28 직사각형 단면의 단주에 150kN하중이 중심에서 1m만큼 편심되어 작용할 때 이 부재 BD에서 생기는 최대 압축응력은 약 몇 kPa인가? 29 그림의 평면응력상태에서 최대 주응력은 약 몇 MPa인가? (단, σx=175MPa, σy=35MPa, τxy=60MPa이다.) 30 그림과 같이 외팔보의 중앙에 집중하중 P가 작용하는 경우 집중하는 P가 작용하는 지점에서의 처짐은? (단, 보의 굽힘강성 EI는 일정하고, L은 보의 전체의 길이다.) 31 그림과 같은 단면을 가진 외팔보가 있다. 그 단면의 자유단에 전단력 V=40kN이 발생한다면 단면 a-b 위에 발생하는 전단응력은 약 MPa인가? 32 그림과 같은 트러스 구조물에서 B점에서 10kN의 수직 하중을 받으면 BC에 작용하는 힘은 몇 kN인가? 33 양단이 고정된 축을 그림과 같이 m-n단면에서 T만큼 비틀면 고정단 AB에서 생기는 저항 비틀림 모멘트의 비 TA/TB는? 34 전체길이가 L이고, 일단 지지 및 타단 고정보에서 삼각형 분포 하중이 작용할 때, 지지점 A에서의 잔력은? (단, 보의 굽힘강성 EI는 일정하다.) 35 원형 봉에 축방향 인장하중 P=88kN이 작용할 때, 직경의 김소량은 약 몇 mm인가? (단, 봉은 길이 L=2m, 직경 d=40mm, 세로탄성계수는 70GPa, 포아송비 μ=0.3이다.) 36 오일러 공식이 세장비 에 대해 성립한다고 할 때, 양단이 힌지인 원형단면 기중에서 오일러 공식이 성립하기 위한 길이 “ℓ”과 지름 “d” 와의 관계가 옳은 것은? (단, 단면의 회전반경을 K라 한다.)
App Store Google Play
오늘학습 예시 이미지

시험에 합격하려면
복습을 제대로 해야 합니다.

오늘학습은 스스로 기억을 떠올리고 계획적으로 복습할 수 있도록 설계돼 있어요.
그것도, 가장 과학적인 방식으로요!

능동적 회상

능동적 회상
(Active Recall)

배운 내용을 단순 읽으며 반복하는 것이 아니라,
능동적으로 기억하고 있는지를
스스로 테스트하며
공부할 수 있는
학습 환경을 제공해 학습 효과를 높여요

간격 반복 학습

간격 반복 학습
(Spaced Repetition)

에빙하우스 망각곡선을 바탕으로
가장 최적의 시점에 복습을 제공하여
배운 내용이 잊히지 않도록 장기 기억화해요

Data 기반의
뇌과학적 복습 시스템

학습 결과 Data를 분석해, 문제별 최적화된
반복 학습량을
자동으로 분배해요.
학습에 소요되는 시간을 최소화하는
동시에
단기 기억을 장기 기억으로 전환해줘요.

36만 개 이상의
기출문제 무료 제공

공무원 및 약 300여종의 자격증 시험 기출문제
36만개
이상을 무료로 이용할 수 있어요.
여러 앱을 설치할 필요
없이, 오늘학습 하나로
모든 시험을 준비할 수 있어요.

다양한 문제 유형으로 만드는
나만의 단어장&문제집

기출 외에도 외워야 하는 내용은
객관식, 주관식, 카드, 빈칸
등 다양한 형식으로
직접 만들어 보세요. 내 학습 스타일에
맞게
나만의 단어장과 문제집을 만들 수 있어요.

시험별 체계적인
문제 관리

시험에 문제를 추가해 체계적으로
관리할 수 있어요.
주제나 단원별로
분류하고 싶다면,
시험에 챕터를 만들어
문제를 추가할 수도 있어요.

수십만 명이
오늘학습을 사랑합니다

앱 스토어 평점 4.9
구글 플레이 평점 4.8
누적 회원수 100,000+
지금 오늘학습을
시작해보세요
지금 시작하기
문제 선택