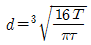
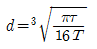
축에 발생하는 전단응력은 r, 축에 가해진 비틀림 모멘트는 T라 할 때 축 지름 d를 나타내는 식은?
지금 시작하기 →

・・・ 문제은행 용접기사(2017년 2회) 33번

용접기사 2017년 08월 33번

축에 발생하는 전단응력은 r, 축에 가해진 비틀림 모멘트는 T라 할 때 축 지름 d를 나타내는 식은?

1
2
3
4
단축키
이전 문제로 이동은 키를 누르고, 다음 문제로 이동은 키를 누르세요
이전 문제 , 다음 문제
문제(100)
13 다음 중 길이측정기의 종류가 아닌 것은? 14 외측 마이크로미터 측정면의 평면도 검사에 필요한 기기는? 15 구성인선(built-up edge)의 방지책에 대한 설명으로 틀린 것은? 16 불활성 가스 텅스텐 아크용접에 사용되는 텅스텐 봉의 역할은? 17 구멍의 내면을 정밀하게 다듬는 가공법으로 공구에 회전운동과 동시에 축 방향으로 왕복 운동을 하게 하여 보링, 리머가공, 내면연삭을 한 구멍의 진원도, 진직도, 표면 거칠기를 능률적으로 개선하기 위한 가공법은? 18 강의 담금질에서 가장 담금질성을 좋게 하는 원소들로 짝지어진 것은? 19 NC 공작기계에서 메모리에 기록된 정보를 받아 펄스를 발생시켜 서보기구에 전달함으로써 NC기계를 제어하는 장치는? 20 주물표면이 깨끗하고 정도가 높으며, 기계가공 여유가 필요치 않아 비철금속의 얇은 주물에 사용하는 주조법은? 21 그림과 같은 평면응력상태에서 σx=300MPa, σy=200MPa이 작용하고 있을 대 재료 내에 생기는 최대전단응력(Tmax)의 크기와 그 방향(θ)은? 22 폭과 높이가 80mm인 정사각형 단면의 회전 반지름(radius of gyration)은 약 몇 m인가? 23 지름 50mm의 속이 찬 환봉축이 1228Nㆍm의 비틀림 모멘트를 받을 대 이 축에 생기는 최대 비틀림 응력은 약 몇 MPa인가? 24 단면 지름이 3cm인 환봉이 25kN의 전단하중을 받아서 0.00075rad의 전단변형률을 발생시켰다. 이때 재료의 세로탄성계수는 약 몇 GPa인가? 9단, 이 재료의 포아송 비는 0.3이다.)
25 길이 ℓ의 외팔보의 전 길이에 걸쳐서 w의 등분포 하중이 작용할 때 최대 굽힘모멘트(Mmax)의 값은? 26 그림과 같은 구조물에 C점과 D점에 각각 20kN, 40kN의 하중이 아랫방향으로 작용할 때 상단의 반력 Ra는 약 몇 kN인가? 27 철도용 레일의 양단을 고정한 후 온도가 20℃에서 5℃로 내려가면 발생하는 열응력은 약 몇 MPa인가? (단, 레일재료의 열팽창계수 a=0.000012/℃이고, 균일한 온도 변화를 가지며, 탄성계수 E = 210GPa이다.) 28 비중량 r =7.85×104N/m3인 강선을 연직으로 매달려고 할 때 자중에 의해서 견딜 수 있는 최대길이는 약 몇 m인가? (단, 강선의 허용인장응력은 12MPa이다.) 29 그림과 같은 외팔보의 C점에 100kN의 하중이 걸릴 때 B점의 처짐량은 약 몇 cm인가? (단, 이 보의 굽힘강성(EI)는 10kNㆍm2이다.) 30 다음 부정정보에서 B점에서의 반력은? (단, 보의 굽힘강성 EI는 일정하다.) 31 그림과 같은 외팔보에서 허용굽힘응력은 50kN/cm2이라 할 때, 최대 하중 P는 약 몇 kN인가? (단, 보의 단면은 10cm×10cm이다.) 32 그림과 같이 일단고정 타잔자유단인 기둥의 좌굴에 대한 임계하중(buckling load)은 약 몇 kN인가? (단, 기둥의 세로탄성계수는 300GPa이고 단면(폭×높이)은 2cm×2cm의 정사각형이다. 오일러의 좌굴하중을 적용한다.) 33 축에 발생하는 전단응력은 r, 축에 가해진 비틀림 모멘트는 T라 할 때 축 지름 d를 나타내는 식은? 34 다음 그림과 같이 2가지 재료로 이루어진 길이 L의 환봉이 있다. 이 봉에 비틀림 모멘트 T가 작용할 때 이 환봉은 몇 rad로 비틀림이 발생하는가? (단, 재질 a의 가로탄성계수는 Ga, 재질 a의 극간성모멘트는 Ipa이고, 재질 b의 가로탄성계수는 Gb, 재질 b의 극관성모멘트는 Ipb다.) 35 그림과 같이 선형적으로 증가하는 불균일 분포하중을 받고 있는 단순보의 전당력선도로 적합한 것은? 36 그림과 같이 재료와 단면이 같고 길이가 서로 다른 강봉에 지지되어 있는 강체 보에 하중을 가했을 때 A, B에서의 변위의 비 δA/δB는?
App Store Google Play
오늘학습 예시 이미지

시험에 합격하려면
복습을 제대로 해야 합니다.

오늘학습은 스스로 기억을 떠올리고 계획적으로 복습할 수 있도록 설계돼 있어요.
그것도, 가장 과학적인 방식으로요!

능동적 회상

능동적 회상
(Active Recall)

배운 내용을 단순 읽으며 반복하는 것이 아니라,
능동적으로 기억하고 있는지를
스스로 테스트하며
공부할 수 있는
학습 환경을 제공해 학습 효과를 높여요

간격 반복 학습

간격 반복 학습
(Spaced Repetition)

에빙하우스 망각곡선을 바탕으로
가장 최적의 시점에 복습을 제공하여
배운 내용이 잊히지 않도록 장기 기억화해요

Data 기반의
뇌과학적 복습 시스템

학습 결과 Data를 분석해, 문제별 최적화된
반복 학습량을
자동으로 분배해요.
학습에 소요되는 시간을 최소화하는
동시에
단기 기억을 장기 기억으로 전환해줘요.

36만 개 이상의
기출문제 무료 제공

공무원 및 약 300여종의 자격증 시험 기출문제
36만개
이상을 무료로 이용할 수 있어요.
여러 앱을 설치할 필요
없이, 오늘학습 하나로
모든 시험을 준비할 수 있어요.

다양한 문제 유형으로 만드는
나만의 단어장&문제집

기출 외에도 외워야 하는 내용은
객관식, 주관식, 카드, 빈칸
등 다양한 형식으로
직접 만들어 보세요. 내 학습 스타일에
맞게
나만의 단어장과 문제집을 만들 수 있어요.

시험별 체계적인
문제 관리

시험에 문제를 추가해 체계적으로
관리할 수 있어요.
주제나 단원별로
분류하고 싶다면,
시험에 챕터를 만들어
문제를 추가할 수도 있어요.

수십만 명이
오늘학습을 사랑합니다

앱 스토어 평점 4.9
구글 플레이 평점 4.8
누적 회원수 100,000+
지금 오늘학습을
시작해보세요
지금 시작하기
문제 선택