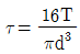
비틀림 모멘트 T를 받고 있는 직경이 인 원형축의 최대전단응력은?
지금 시작하기 →

・・・ 문제은행 용접기사(2018년) 23번

용접기사 2018년 03월 23번

비틀림 모멘트 T를 받고 있는 직경이 인 원형축의 최대전단응력은?

1
2
3
4
단축키
이전 문제로 이동은 키를 누르고, 다음 문제로 이동은 키를 누르세요
이전 문제 , 다음 문제
문제(100)
25 코일스프링의 권수를 n, 코일의 지름 D, 소선의 지름 인 코일스프링의 전체처짐 δ는? (단, 이 코일에 작용하는 힘은 P, 가로탄성 계수는 G이다.) 26 길이가 ℓ+2a인 균일 단면 봉의 양단에 인장력 P가 작용하고, 양 단에서의 거리가 a인 단면에 Q의 축 하중이 가하여 인장될 때 봉에 일어나는 변형량은 약 몇 cm인가? (단, ℓ=60cm, a=30cm, P=10kN, Q=5kN, 단면적 A=4cm2, 탄성계수는 210GPa이다.) 27 그림과 같은 외팔보가 있다. 보의 굽힘에 대한 허용응력을 80MPa로 하고, 자유단 B로부터 보의 중앙점 C사이에 등분포하중 ω를 작용시킬 때, ω의 허용 최대값은 몇 kN/m인가? (단, 외팔보의 폭×높이는 5cm×9cm이다.) 28 다음 정사각형 단면(40mm×40mm)을 가진 외팔보가 있다. a-a면 에서의 수직응력(σn)과 전단응력(τs)은 각각 몇 kPa인가? 29 지름 50mm의 알루미늄 봉에 100kN의 인장하중이 작용할 때 300mm의 표점거리에서 0.219mm의 신장이 측정되고, 지름은 0.01215mm만큼 감소되었다. 이 재료의 전단 탄성계수 G는 약 몇 GPa인가? (단, 알루미늄 재료는 탄성거동 범위 내에 있다.) 30 그림과 같은 정삼각형 트러스의 B점에 수직으로, C점에 수평으로 하중이 작용하고 있을 때, 부재 AB에 작용하는 하중은? 31 σx=700MPa, σy=-300MPa가 작용하는 평면응력 상태에서 최대 수직응력(σmax)과 최대 전단응력(τmax)은 각각 몇 MPa인가? 32 최대 사용강도(σmax)=240MPa, 내경 1.5m, 두께 3mm의 강재 원통형 용기가 견딜 수 있는 최대 압력은 몇 kPa인가? (단, 안전계수는 2이다.) 33 길이가 L이며, 관성 모멘트가 Ip이고, 전단탄성계수가 G인 부재에 토크 T가 작용될때 이 부재에 저장된 변형 에너지는? 34 그림과 같이 초기온도 20℃, 초기길이 19.95cm, 지름 5cm인 봉을 간격이 20cm인 두벽면 사이에 넣고 봉의 온도를 220℃로 가열했을 때 봉에 발생되는 응력은 몇 MPa인가? (단, 탄성계수 E=210GPa이고, 균일 단면을 갖는 봉의 선팽창계수 a=1.5×10-5/℃이다.) 35 그림과 같은 직사각형 단면의 목재 외팔보에 집중하중 P가 C점에 작용하고 있다. 목재의 허용압축응력을 8MPa, 끝단 B점에서의 허용 처짐량을 23.9mm라고 할 때 허용압축응력과 허용 처짐량을 모두 고려하여 이 목재에 가할 수 있는 집중하중 P의 최대값은 약 몇 kN인가? (단, 목재의 탄성계수는 12GPa, 단면2차모멘트 1022×10-6m4, 단면계수는 4.601×10-3m3이다.) 36 직사각형 단면(폭×높이=12cm×5cm)이고, 길이 1m인 외팔보가 있다. 이 보의 허용 굽힘응력이 500MPa이라면 높이와 폭의 치수를 서로 바꾸면 받을 수 있는 하중의 크기는 어떻게 변화하는가?
37 양단이 힌지로 지지되어 있고 길이가 1m인 기둥이 있다. 단면이 30mm×30mm인 정사각형이라면 임계하중은 약 몇 kN인가? (단, 탄성계수는 210GPa이고, Euler의 공식을 적용 한다.) 38 아래 그림과 같은 보에 대한 굽힘 모멘트선도로 옳은 것은? 39 다음 그림과같이 집중하중 P를 받고 있는 고정 지지보가 있다. B점에서의 반력의 크기를 구하면 몇 kN인가? 40 다음 보의 자유단 A지점에서 발샌하는 처짐은 얼마인가? (단, EI는 굽힘간성이다.) 41 다음 중 탈인을 촉진하기 위한 조건으로 틀린 것은? 42 다음 알루미늄 합금 중 강도가 높은 것으로 항공기, 철도 차량, 스포츠 용품, 스키 스톡 등에 사용되는 Al-Zn-Mg-Cu계 합금은? 43 용접에 쓰이는 피복제의 종류 중 탄산칼슘, 불화칼슘 등을 주성분으로 하며 아크는 약간 불안정하나, 균열에 대한 감수성이 높은 것은? 44 Fe-C 평형 상태도에서 나타나는 현상으로 액상 철로부터 오스테나이트와 시멘타이트가 동시에 정출되는 반응은? 45 강을 오스테나이트의 상태에서 물 또는 기름등으로 담금질하면 어떤 조직으로 변하는가? 46 다음 중 면심입방격자(FCC)에 속하는 금속은? 47 금속의 조직 중 시멘타이트 조직이란 무엇인가? 48 강을 열처리할 때 어떤 온도에서 냉각을 정지하고 그 온도에서 변태를 시켜 변태 개시온도와 변태 완료온도를 온도-시간 곡선으로 나타내는 것을 무엇이라 하는가?
85 다음 용접법 중 금속 및 화합물의 미분말을 가열하여 반응융 상태로 분출시켜 밀착 피복하는 것은? 86 아크의 특성 중 전류가 커지면 저항이 작아져서 전압도 낮아지는 특성은? 87 용접전류에 의해 아크 주위에 발생하는 자장이 용접봉에 대해서 비대칭으로 나타나는 현상을 무엇이라 하는가? 88 염화암모늄과 섞어 사용하는 것으로 흡수성과 내식성이 강하며, 특수한 처리를 하면 스테인리스 납땜에도 사용할 수 있는 연납용용제는? 89 기체를 가열하여 온도가 상승되면 기체 원자의 운동이 활발하게 되어 기에 원자가 원자핵과 전자로 분리되어 (+), (-)의 이온상태로 된다. 이를 이용한 절단 방법을 무엇이라 하는가? 90 내식성이 필요한 곳이나 내압 용기 제작 등에 사용하는 용접으로 용접부에 산소나 질소 증이 침투하지 않고 흠이 없는 치밀하고 연성이 풍부하며 표면아 깨끗한 융착금속을 얻을 수 있는 용접은? 91 다음 중 저항 용접법이 아닌 것은? 92 가스 용접기 설치 및 불꽃 조정에 관한 내용으로 틀린 것은? 93 다음 중 감전재해의 주요 원인과 가장 거리가 먼 것은? 94 다음 저항 용접 중 맞대기 용접에 속하는 것은? 95 동자기구가 수직면 또는 수평면 내에서 선회하며 회전영역이 넓고 팔이 기울여져 상하로 움직이므로 대상물의 손끝 자세를 맟추기 쉬워 스폿 용접용 로봇에 많이 사용되는 로봇은? 96 내용적아 33L안 산소용기의 고압력계에 100kgf/cm2으로 나타났다면, 프랑스식 300번의 팁으로는 몇 시간 용접할 수 있는가? (단, 산소와 아세틸렌의 혼합비는 1 : 1이다.)
App Store Google Play
오늘학습 예시 이미지

시험에 합격하려면
복습을 제대로 해야 합니다.

오늘학습은 스스로 기억을 떠올리고 계획적으로 복습할 수 있도록 설계돼 있어요.
그것도, 가장 과학적인 방식으로요!

능동적 회상

능동적 회상
(Active Recall)

배운 내용을 단순 읽으며 반복하는 것이 아니라,
능동적으로 기억하고 있는지를
스스로 테스트하며
공부할 수 있는
학습 환경을 제공해 학습 효과를 높여요

간격 반복 학습

간격 반복 학습
(Spaced Repetition)

에빙하우스 망각곡선을 바탕으로
가장 최적의 시점에 복습을 제공하여
배운 내용이 잊히지 않도록 장기 기억화해요

Data 기반의
뇌과학적 복습 시스템

학습 결과 Data를 분석해, 문제별 최적화된
반복 학습량을
자동으로 분배해요.
학습에 소요되는 시간을 최소화하는
동시에
단기 기억을 장기 기억으로 전환해줘요.

36만 개 이상의
기출문제 무료 제공

공무원 및 약 300여종의 자격증 시험 기출문제
36만개
이상을 무료로 이용할 수 있어요.
여러 앱을 설치할 필요
없이, 오늘학습 하나로
모든 시험을 준비할 수 있어요.

다양한 문제 유형으로 만드는
나만의 단어장&문제집

기출 외에도 외워야 하는 내용은
객관식, 주관식, 카드, 빈칸
등 다양한 형식으로
직접 만들어 보세요. 내 학습 스타일에
맞게
나만의 단어장과 문제집을 만들 수 있어요.

시험별 체계적인
문제 관리

시험에 문제를 추가해 체계적으로
관리할 수 있어요.
주제나 단원별로
분류하고 싶다면,
시험에 챕터를 만들어
문제를 추가할 수도 있어요.

수십만 명이
오늘학습을 사랑합니다

앱 스토어 평점 4.9
구글 플레이 평점 4.8
누적 회원수 100,000+
지금 오늘학습을
시작해보세요
지금 시작하기
문제 선택