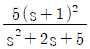
선형 시불변 시스템의 입력이 e-tu(t)일 때 출력은 10e-tcos(2t)u(t)이다. 시스템의 전달함수는? (단, u(t)는 단위계단함수이고 시스템의 초기조건은 0이다)
지금 시작하기 →

・・・ 문제은행 9급 국가직 공무원 전기이론(2023년) 13번

9급 국가직 공무원 전기이론 2023년 04월 13번

선형 시불변 시스템의 입력이 e-tu(t)일 때 출력은 10e-tcos(2t)u(t)이다. 시스템의 전달함수는? (단, u(t)는 단위계단함수이고 시스템의 초기조건은 0이다)

1
2
3
4
단축키
이전 문제로 이동은 키를 누르고, 다음 문제로 이동은 키를 누르세요
이전 문제 , 다음 문제
문제(20)
1 직각좌표계(x, y, z)에서 전위 함수가 V=6xy+4y2[V]로 주어질 때, 좌표점(4, -1, 5)[m]에서 +x방향의 전계 세기[V/m]는? 2 자성체에 자기장을 인가할 때, 내부 자속밀도가 큰 자성체부터 순서대로 바르게 나열한 것은? 3 인덕턴스 20[H]를 갖는 인덕터에 전류 5[A]가 흐를 때, 저장된 자기에너지[J]는? 4 임의의 닫힌 공간에서 외부로 나가는 전기선속과 공간 내부의 총전하량의 관계를 나타내는 것은? 5 그림과 같은 회로의 단자 a와 b에서 바라본 등가저항 Req[kΩ]는? 6 그림의 R-L-C 직렬회로에서 인가한 전원전압 v(t)와 전류 i(t)의 페이저도가 다음과 같을 때, 인덕턴스 L[H]은? (단, 전원전압의 주파수는 f[Hz]이다) 7 단상 교류회로에서 전압 [V]를 부하에 인가하면, 전류 i(t)=5sin(1000t+θ) [A]가 흐른다. 부하의 평균전력이 125√3[W]일 때 θ[rad]로 가능한 것은? 8 그림의 회로에서 스위치 S가 충분히 긴 시간 동안 닫혀 있다가 t=0에서 개방되었다. t>0 에서 R-L-C 병렬회로가 임계제동이 되기 위한 저항 R[Ω]는? 9 그림의 회로에서 절점 a와 b 사이의 전압 Vab가 4[V]일 때, 절점 a와 c 사이의 전압 Vac[V]는? 10 코일에 직류전압 100[V]를 인가하면 500[W]가 소비되고, 교류전압 150[V]를 인가하면 720[W]가 소비된다. 코일의 리액턴스[Ω]는? (단, 전압은 실횻값이다) 11 부하 임피던스 가 6+j8[Ω]인 평형 3상 교류회로에서 상전압 200[V]를 전원으로 인가할 때, 부하에 흐르는 상전류 의 크기 [A]는? (단, 전압과 전류는 실횻값이다) 12 평형 3상 Y 결선 회로에 대한 설명으로 옳지 않은 것은?
App Store Google Play
오늘학습 예시 이미지

시험에 합격하려면
복습을 제대로 해야 합니다.

오늘학습은 스스로 기억을 떠올리고 계획적으로 복습할 수 있도록 설계돼 있어요.
그것도, 가장 과학적인 방식으로요!

능동적 회상

능동적 회상
(Active Recall)

배운 내용을 단순 읽으며 반복하는 것이 아니라,
능동적으로 기억하고 있는지를
스스로 테스트하며
공부할 수 있는
학습 환경을 제공해 학습 효과를 높여요

간격 반복 학습

간격 반복 학습
(Spaced Repetition)

에빙하우스 망각곡선을 바탕으로
가장 최적의 시점에 복습을 제공하여
배운 내용이 잊히지 않도록 장기 기억화해요

Data 기반의
뇌과학적 복습 시스템

학습 결과 Data를 분석해, 문제별 최적화된
반복 학습량을
자동으로 분배해요.
학습에 소요되는 시간을 최소화하는
동시에
단기 기억을 장기 기억으로 전환해줘요.

36만 개 이상의
기출문제 무료 제공

공무원 및 약 300여종의 자격증 시험 기출문제
36만개
이상을 무료로 이용할 수 있어요.
여러 앱을 설치할 필요
없이, 오늘학습 하나로
모든 시험을 준비할 수 있어요.

다양한 문제 유형으로 만드는
나만의 단어장&문제집

기출 외에도 외워야 하는 내용은
객관식, 주관식, 카드, 빈칸
등 다양한 형식으로
직접 만들어 보세요. 내 학습 스타일에
맞게
나만의 단어장과 문제집을 만들 수 있어요.

시험별 체계적인
문제 관리

시험에 문제를 추가해 체계적으로
관리할 수 있어요.
주제나 단원별로
분류하고 싶다면,
시험에 챕터를 만들어
문제를 추가할 수도 있어요.

수십만 명이
오늘학습을 사랑합니다

앱 스토어 평점 4.9
구글 플레이 평점 4.8
누적 회원수 100,000+
지금 오늘학습을
시작해보세요
지금 시작하기
문제 선택