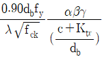
「건축구조기준(KBC2016)」에서 표준갈고리를 갖는 인장 이형철근의 기본정착길이로 옳은 것은? (단, db: 철근의 공칭지름, fy: 철근의 설계기준항복강도, λ: 경량 콘크리트계수, fck: 콘크리트 설계기준압축강도, α: 철근배치 위치계수, β: 철근 도막계수, C: 철근간격 또는 피복두께에 관련된 치수, Ktr: 횡방향 철근지수)
지금 시작하기 →

・・・ 문제은행 9급 지방직 공무원 서울시 건축구조(2017년) 4번

9급 지방직 공무원 서울시 건축구조 2017년 06월 4번

「건축구조기준(KBC2016)」에서 표준갈고리를 갖는 인장 이형철근의 기본정착길이로 옳은 것은? (단, db: 철근의 공칭지름, fy: 철근의 설계기준항복강도, λ: 경량 콘크리트계수, fck: 콘크리트 설계기준압축강도, α: 철근배치 위치계수, β: 철근 도막계수, C: 철근간격 또는 피복두께에 관련된 치수, Ktr: 횡방향 철근지수)

1
2
3
4
단축키
이전 문제로 이동은 키를 누르고, 다음 문제로 이동은 키를 누르세요
이전 문제 , 다음 문제
문제(20)
1 다음 중 지진하중에 관한 설명으로 가장 옳지 않은 것은? 2 다음 중 「건축구조기준(KBC2016)」에 따른 건축물 중요도 분류에 관한 설명으로 옳지 않은 것은? 3 다음 중 프리스트레스하지 않는 부재의 현장치기콘크리트의 최소 피복두께에 관한 설명으로 가장 옳지 않은 것은? 4 「건축구조기준(KBC2016)」에서 표준갈고리를 갖는 인장 이형철근의 기본정착길이로 옳은 것은? (단, db: 철근의 공칭지름, fy: 철근의 설계기준항복강도, λ: 경량 콘크리트계수, fck: 콘크리트 설계기준압축강도, α: 철근배치 위치계수, β: 철근 도막계수, C: 철근간격 또는 피복두께에 관련된 치수, Ktr: 횡방향 철근지수) 5 폭 b 및 높이 h인 직사각형 단면(b×h)을 갖는 무근콘크리트보에서, 콘크리트의 인장균열강도가 fcr인 경우 이 보의 최초 휨인장 균열모멘트 Mcr의 산정값은? 6 「건축구조기준(KBC2016)」에 따른 철근콘크리트 구조의 기초판 설계에 관한 설명으로 가장 옳지 않은 것은? 7 트러스 구조 해석을 위한 가정으로 가장 옳지 않은 것은? 8 「건축구조기준(KBC2016)」에 따른 철근콘크리트 구조부재에 적용되는 강도감소계수로 옳은 것은? 9 「건축구조기준(KBC2016)」에 따른 100년 재현기간에 대한 지역별 기본풍속 V0(m/s)에 관한 설명으로 가장 옳은 것은? 10 「건축구조기준(KBC2016)」에 따른 조적식 구조의 묻힌 앵커볼트 설치에 관한 설명으로 가장 옳지 않은 것은? 11 다음 중 프리스트레스트콘크리트 구조의 슬래브 설계 시 긴장재와 철근의 배치에 관한 설명으로 가장 옳지 않은 것은? 12 강구조에서 압축재가 양단 고정이고, 횡좌굴에 대한 비지지 길이는 3m이다. 이때의 세장비(λ)는? (단, 단면2차반경은 20mm)
App Store Google Play
오늘학습 예시 이미지

시험에 합격하려면
복습을 제대로 해야 합니다.

오늘학습은 스스로 기억을 떠올리고 계획적으로 복습할 수 있도록 설계돼 있어요.
그것도, 가장 과학적인 방식으로요!

능동적 회상

능동적 회상
(Active Recall)

배운 내용을 단순 읽으며 반복하는 것이 아니라,
능동적으로 기억하고 있는지를
스스로 테스트하며
공부할 수 있는
학습 환경을 제공해 학습 효과를 높여요

간격 반복 학습

간격 반복 학습
(Spaced Repetition)

에빙하우스 망각곡선을 바탕으로
가장 최적의 시점에 복습을 제공하여
배운 내용이 잊히지 않도록 장기 기억화해요

Data 기반의
뇌과학적 복습 시스템

학습 결과 Data를 분석해, 문제별 최적화된
반복 학습량을
자동으로 분배해요.
학습에 소요되는 시간을 최소화하는
동시에
단기 기억을 장기 기억으로 전환해줘요.

36만 개 이상의
기출문제 무료 제공

공무원 및 약 300여종의 자격증 시험 기출문제
36만개
이상을 무료로 이용할 수 있어요.
여러 앱을 설치할 필요
없이, 오늘학습 하나로
모든 시험을 준비할 수 있어요.

다양한 문제 유형으로 만드는
나만의 단어장&문제집

기출 외에도 외워야 하는 내용은
객관식, 주관식, 카드, 빈칸
등 다양한 형식으로
직접 만들어 보세요. 내 학습 스타일에
맞게
나만의 단어장과 문제집을 만들 수 있어요.

시험별 체계적인
문제 관리

시험에 문제를 추가해 체계적으로
관리할 수 있어요.
주제나 단원별로
분류하고 싶다면,
시험에 챕터를 만들어
문제를 추가할 수도 있어요.

수십만 명이
오늘학습을 사랑합니다

앱 스토어 평점 4.9
구글 플레이 평점 4.8
누적 회원수 100,000+
지금 오늘학습을
시작해보세요
지금 시작하기
문제 선택