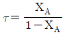
A→B인 1차 반응에서 플러그 흐름 반응기의 공간시간(space time)τ를 옳게 나타낸 것은? (단, 밀도는 일정하고, XA는 A의 전화율, k는 반응속도상수이다.)
지금 시작하기 →

・・・ 문제은행 화공기사(구)(구)(2008년 2회) 112번

화공기사(구)(구) 2008년 09월 112번

A→B인 1차 반응에서 플러그 흐름 반응기의 공간시간(space time)τ를 옳게 나타낸 것은? (단, 밀도는 일정하고, XA는 A의 전화율, k는 반응속도상수이다.)

1
2
3
4
단축키
이전 문제로 이동은 키를 누르고, 다음 문제로 이동은 키를 누르세요
이전 문제 , 다음 문제
문제(120)
1 다음과 같은 반응이 진행될 때 기상에 대하여는 이상기체 법칙이 적용되고 고체 요오드가 평형으로 존재한다면, 2기압 25℃에서의 평형상수 값은 얼마인가? 2 정상상태 흐름이 노즐을 통과할 때의 일반적인 에너지 수지식은? (단, H는 엔탈피, U는 내부에너지, KE는 운동에너지, PE는 위치에너지, Q는 열, W는 일을 나타낸다.) 3 플래쉬(Flash) 계산에 대한 다음의 설명 중 틀린 것은? 4 다음 중 카르노사이클(Carnot cycle)의 가역과정 순서를 옳게 나타낸 것은? 5 기-액상에서 두 성분이 한가지의 독립된 반응을 하고 있다면, 이 계의 자유도는? 6 다음 중 맥스웰(Mazwell)관계식을 옳게 나타낸것은? 7 크기가 동일한 3개의 상자 A,B,C에 상호작용이 없는 입자 10개가 각각 4개, 3개, 3개씩 분포되어 있고, 각 상자들은 막혀 있다. 상자들 사이의 경계를 모두 제거하여 입자가 고르게 분포되었다면 통계 열역학적인 개념의 엔트로피 식을 이용하여 경계를 제거하기 전후의 엔트로피 변화량은 약 얼마인가? (단, k는 Boltzmann상수이다.) 8 포화액체가 낮은 압력으로 조름팽창되면 상태는 어떻게 변하는가? 9 30℃와-10℃에서 작동하는 이상적인 냉동기의 성능 계수는 약 얼마인가? 10 초기에 메탄, 물, 이산화탄소, 수소가 각각 1`몰씩 존재하고 다음과 같은 반응이 이루어질 경우 물의 올분율을 반응좌표 ε로 옳게 나타낸 것은? 11 순수한 물질 1몰의 깁스 자유에너지와 같은 것은? 12 엔트로피와 에너지에 관한 설명 중 틀린 것은?
13 일반적으로 몰리에(Mollier)선도의 종축과 횡축은 무엇을 표시하는가? 14 반데르발스(Van der Waals)식이 다음과 같을 때 임계점 에서의 값을 옳게 나타낸 것은? (단, Tc는 임계온도, a,b는 상수이다.) 15 다음의 반응이 760℃, 1기압에서 일어난다. 반음한 몰분율을 X라 하면 이 때의 평형상수 KP를 구하는 식은? (단, 초기에 CO2와 H2는 각각 1몰씩이며, 초기의 CO와 H20는 없다고 가정한다.) 16 제2비리얼 상태방정식을 사용할 때 300K, 12atm에 있는 기체의 몰부피는 약 몇 cm3/mol인가? (단, 이 온도에서 기체의 제2비리얼 계수 B 값은 -140cm3/mol이다.) 17 다음 중 상태함수가 아닌 것은? 18 205℃, 10.2atm에서의 과열수증기의 퓨개시티계수가 0.9415일 때의 퓨개시티(Fugacity)는 약 얼마인가? 19 열역학 제2법칙에 관련된 설명 중 틀린 것은? 20 압력이 1atm인 공기가 가역 정압과정으로 1m3에서 11m3으로 변화했을 때 계가 한 일의 크기는 약 몇 kcal 인가? 21 50mol% 에탄올 수용액을 밀폐용기에 넣고 가열하여 일정 온도에서 평형이 되었다. 이 때 용액은 에탄올 27mol%이고, 증기조성은 에탄올 57mol%이었다. 원요액의 몇%가 증발되었는가? 22 70% H2SO4 용액 1000kg 이 차지하는 부피는 약 몇 m3인가? (단, 이 용액의 비중은 1.62이다.) 23 수분이 60wt%인 어욱을 500kg/h의 속도로 건조하여 수분을 20wt%로 만들 때 수분의 증발속도는 몇 kg/h인가? 24 10wt%의 식염수 100kg을 20wt%로 농축하려면 몇 kg의 수분을 증발시켜야 하는가?
25 다음 순환(recycle)과 우회(bypass)에 대한 설명 중 틀린 것은? 26 질소 1mol과 수소 3mol의 혼합가스를 100기압 하에서 500℃로 유지하여 평형에 도달되었을 때 0.43mol의 암모니아가 생성되었다면 이 때의 가스 몰조성은? 27 20℃에서 순수한 MnSO4의 물에 대한 용해도는 62.9이다. 20℃에서 포화용액을 만들기 위해서는 100g의 물에 몇 g의 MnSO4ㆍ5H20을 녹여야 하는가? (단, Mn의 원자량은 55이다.) 28 20℃의 물 1kg을 150℃ 수증기로 변화시키는데 필요한 열량은 약 몇 cal 인가? (단, 물의 비열은 18cal/molㆍK 이고, 수증기의 비열은 8.0cal/molㆍK로 일정하며, 물의 증발열은 9.7×10<sup>3</sup>cal/mol 이다.) 29 27℃, 8기압의 공기 1kg이 밀폐된 강철용기 내에 들어있다. 이 용기 내에 공기 2kg을 추가로 집어넣었다. 이 때 공기의 온도가 127℃이었다면 이 용기 내의 압력은 몇 기압이 되는가? (단, 이상기체로 가정한다.) 30 연료를 완전 연소시킬 때, 이론상 필요한 공기량을 AO, 실제 공급한 공기량을 A라고 하면 과잉공기 %를 옳게 나타낸 것은? 31 지름이 10cm인 파이프 속으로 기름의 유속이 10cm/s일 때 지름이 2cm인 파이프 속에서의 유속은 몇 cm/s인가? 32 CO2880g을 40L의 용적으로 압축하려고 한다. CO2를 이상기체라고 가정할 때, 27℃에서 필요한 압력은 약 몇 psi인가? 33 산의 질량분율이 XA인 수용액 L kg과 XB인 수용액 N kg을 혼합하여 XM인 산 수용액을 얻으려고 한다. L과 N의 비 L/N를 구한 것은? 34 순수한 산소를 공기와 혼합시켜 50mol%의 산소 조성을 가진 혼합공기로 바꾸고자 할 때 산소와 공기의 부피 혼합비는 약 얼마인가? (단, 산소 : 공기의 혼합비를 나타낸다.) 35 15℃, 760mmHg에서 상대습도가 75%인 공기의 mol습도(mol 수증기/mol건조공기)는 약 얼마인가? (단, 15℃일 때의 물의 증기압은 12.8mmHg 이다.) 36 Dulong-Petit의 법칙에 대한 설명으로 옳은 것은?
37 탄소 3g이 산소 16g 중에서 완전 연소되었다면 연소 후 혼합기체의 부피는 표준 상태를 기준으로 몇 L 인가? 38 “고체나 액체의 열용량은 그 화합물을 구성하는 개개원소의 열용량의 합과 같다.”는 누구의 법칙인가? 39 고립계에서 0℃의 얼음 10g에 40℃인 물 50g을 가하였다. 최종 평형온도는 몇 ℃인가? (단, 얼음의 융해열은 336J/g 이다.) 40 다음 반응이 20℃에서 일어날 때 정압반응열과 정적반응열의 차이는 몇 cal인가? (단, 기체는 이상기체로 가정한다.) 41 추출에서 추료(feed)에 추제(extracting solvent)를 가하여 잘 접촉시키면 2상으로 분리된다. 이 중 불활성 물질이 많이 남아 있는 상을 무엇이라고 하는가? 42 스팀의 평균온도가 120℃이고, 물의 평균온도가 60℃이며 총괄열전달계수가 3610kcal/m2ㆍhㆍ℃, 열전달표면적이 0.0535m2인 회분식 열교환기에서 매 시간당 전달된 열량은 약 몇 kcal인가? 43 롤 분쇄기에 상당직경 4cm인 원료를 도입하여 상당직경 1cm로 분쇄한다. 분쇄원료와 롤사이의 마찰계수가 1/√3일 때 롤지름은 약 몇 cm인가? 44 대기압에서 에탄올과 물의 혼합물이 그 증기와 기맥 평형을 이루고 있을 때 기상의 조성은 에탄올 3.3몰, 수증기 1.7몰이고 이 때 액상에서의 에탄올 몰분율이 0.52라면 에탄올의 물에 대한 상대 휘발도는? 45 정류에 있어서 전 응축기를 사용할 경우 환류비를 3으로 할 때 유출되는 탑위제품 1mol/h당 응축기에서 응축해야할 증기량은 몇 mol/h 인가? 46 3중 효용관의 첫 증발관에 들어가는 수증기의 온도는 108℃이고 맨 끝 효용관에서 용액의 비점은 52℃이다. 각 효용관의 총괄 열전달계수(W/m2ㆍ℃)가 2500, 2000, 1000 일 때 2효용관액의 끓는점은 약 몇 ℃인가? (단, 비점 상승이 매우 작은 액체를 농축하는 경우이다.) 47 흑체의 전 복사능은 절대온도의 4승에 비례한다는 것을 나타내는 식은? 48 불포화상태 공기의 상대습도(relative humidity)를 Hr.비교습도(percentage humidity)를 Hp로 표시할 때 그 관계를 옳게 나타낸 것은? (단, 습도가 0% 또는 100%인 경우는 제외한다.)
49 메탄올 40mol%, 물 60mol%의 혼합액을 정류하여 메탄올 95mol%의 유출액과 5mol%의 관출액으로 분리한다. 유출액 100kmol/h을 얻기 위해서는 공급액의 양을 몇 kmol/h로 하면 되는가? 50 흡수탑에서 전달단위수(NTU)는 10이고 전달단위높이(HTU)가 0.5m일 경우, 필요한 충전물의 높이는 몇 m 인가? 51 비중 0.8, 점도 40cP의 원유를 36m3/h로 100m 떨어진 탱크에 보낸다. 이 때 사용된 직원관의 내경은 30cm이고 수평이다. 이 관로의 압력손실은 약 몇 kgf/cm2인가? 52 비중 1.0 점도가 1cP인 몰이 내경 5cm 관을 4m/s의 유속으로 흐르다가 내경이 10cm인 관을 통해 흐르고 있다. 이 경우 확대손실은 약 몇 kgfㆍm/kg인가? 53 안지름이 52.9mm인 관에서 비중이 0.9, 점도가 2P인 기름과 비중이 1.0, 점도가 1cP인 물의 임계속도는 각각 약 몇 m/s 인가? (단, 레이놀즈수의 임계값은 2100 이다.) 54 증류에서 일정한 비휘발도 값으로 2를 가지는 2성분 혼합물을 90mol%인 탑위제품과 10mol%인 탑밑제품으로 분리하고자 한다. 최소 이론 단수는 얼마인가? 55 다음 중 물질전달이 포함되지 않는 단위조작은? 56 휙(Fick)의 법칙에서 확산속도에 대한 설명으로 옳은 것은? 57 증류탑에서 환류비에 대한 설명으로 틀린 것은? 58 다음 중 압력강하를 일정하게 유지하는데 필요한 유로의 면적변화를 측정하여 유량을 구하는 것은? 59 원심펌프를 동작할 때 공동화(Cavitation)가 일어나는 주된 이유는? 60 동점성계수의 단위에 해당하는 것은?
61 전달함수가 Kc(1+(1/3s)+(3/s))인 PID 제어기에서 미분시간과 적분시간은 각각 얼마인가? 62 어떤 액위저장탱크로부터 펌프를 이용하여 일정한 유량으로 액체를 뽑아내고 있다. 이 탱크로는 지속적으로 일정량의 액체가 유입되고 있다. 탱그로 유입되는 액체의 유량이 기울기가 1인 1차 선형변화를 보인 경우 정상 상태로 부터의 액위의 변화 H(t)를 옳게 나타낸 것은? (단, 탱크의 단면적은 A이다.) 63 폭이 w 이고, 높이가 h인 사각펄스의 Laplace변환으로 옳은 것은? 64 직렬로 연결된 일차계(first-order wywtem)의 수가 증가함에 따라서 전체 시스템의 계단응답(step response)은 어떻게 되는가? 65 전달함수 인 2차 계의 시정수 τ와 damping factor ε의 값은? 66 일 때 단위 계단응답에 해당 하는 것은? 67 다음 전달함수에 관한 설명 중 틀린 것은? 68 전달함수가 4/s인 계의 주파수 응답에 있어서 진폭비와 위상각은? 69 다음 그림은 피제어 변수 F0를 제어하는 3가지 제어방식을 나타낸 것이다. 제어방식이 각각 되먹임(feed back)인지 또는 앞먹임(feed forward)인지에 대한 설명으로 옳은 것은? 70 Spring-mass-damper로 구성된 감쇠진동기(dampedoscillator)에서 2차 미분 형태를 나타내는 향과 관련이 있는 것은? 71 제어계의 안정성을 판별하는 방법에 해당되는 것은? 72 설정치(Set point)는 일정하게 유지되고, 외부교란변수(disturbance)가 시간에 따라 변화할 때 피제어변수가 설정치를 따르도록 조절변수를 제어하는 것은?
97 다음중 Ⅲ-Ⅴ 화합물 반도체로만 나열된 것은? 98 다음 중 Le Blanc 법과 관계가 없는 것은? 99 다음 중 옥탄가가 가장 낮은 것은? 100 석회질소 비료에 대한 설명중 틀린 것은? 101 다음과 같은 반응이 일정한 밀도에서 비가역적이고, 2분자적(bimolecular)으로 일어난다. 이 때 R과 A의 반응속도식의 비 rR/rA를 옳게 나타낸 것은? (단, R은 목적하는 생성물이고, S는 목적하지 않은 생성물이다.) 102 단열 반응조작에서 에너지 수지의 도식표현이 다음 그림과 같을 때 발열반응을 나타내는 것은? 103 다음 반응이 기초 반응(elementary reaction)이라면 반응 속도식으로 옳은 것은? (단, rA는 반응물 A의 반응 속도이다.) 104 다음 중 Damko hler수(Da)에 대한 설명으로 틀린 것은? 105 1차 반응에서 반응속도가 10×10-5mol/cm3ㆍs이고 반응물의 농도가 2×10-2mol/cm2이면 속도 상수는 몇 s-1이겠는가? 106 그림과 같이 직렬로 연결된 혼합 흐름 반응기에서 액상 1차 반응이 진행될 때 입구의 농도가 CO이고 출구의 농도가 C2일 때 총 부피가 최소로 되기 위한 조건이 아닌 것은? 107 A→R인 반응이 부피가 0.1L인 플러그 흐름 반응기에서 -rA=50CA2mol/Lㆍmin로 일어난다. A의 초기농도 CAO는 0.1mol/L 이고 공급속도가 0.05L/min 일 때 전화율은 얼마인가? 108 회분식반응기에서 n차 반응이 일어날 떄의 설명으로 옳은 것은?
109 다음의 액상 균일 반응을 순환비가 1인 순환식 반응기에서 반응시킨 결과 반응물 A의 전화율이 50%이었다. 이 경우 순환 pump를 중지시키면 이 반응기에서 A의 전화율은 얼마인가? 110 A→B의 액상 2차 반응이 CSTR에서 진행될 때 전화율이 0.5이다. 반응기 체적을 6배로 증가시킬 때 전화율은 얼마인가? 111 이 되는 효소반응과 관계없는 것은? 112 A→B인 1차 반응에서 플러그 흐름 반응기의 공간시간(space time)τ를 옳게 나타낸 것은? (단, 밀도는 일정하고, XA는 A의 전화율, k는 반응속도상수이다.) 113 평균체류 시간이 같은 관형반응기와 혼합반응기에서 다음과 같은 화학반응이 일어날 때 관형반응기의 전화율 XP와 혼합반응기의 전화율 Xm의 비 XP/Xm가 다음 중 가장 큰 반응차수는? 114 다음과 같은 기상반응이 등온 변용 플러그 흐름 반응기에서 이루어지고 있다. 반응기로 유입되는 feed는 50%의 A와 50%의 불활성 물질로 구성되어 있다. A의 75%가 반응하는데 소요되는 공간시간(space time)은 약 몇 초인가? 115 이상적인 반응기 중 플러그 흐름반응기에 대한 설명으로 틀린 것은? 116 부피가 일정한 회분식반응기에서 반응홉합물 A 기체의 최초 압력을 478mmHg로 할 경우에 반감기가 80s이었다고 한다. 만일 이 A 기체의 반응 혼합물에 최초 압력을 315mmHg로 하였을 때 반감기가 120s로 되었다면 반응의 차수는 몇 차 반응으로 예상할 수 있는가? (단, 반응물은 초기 조성이 같고, 비가역 반응이 일어난다.) 117 HBr의 생성반응 속도식이 다음고 같을 때 k2의 단위에 대한 설명으로 옳은 것은? 118 Arrhenius법칙이 성립할 경우에 대한 설명으로 옳은 것은? (단, k는 반응속도 상수 이다.) 119 다음 중 space velocity의 단위로 옳은 것은? 120 NO2의 분해반응은 1차반응이고 속도상수는 694℃에서 0.138s-1, 812℃에서는 0.37s-1이다. 이 반응의 활성화 에너지는 약 몇 kcal/mol 인가?
App Store Google Play
오늘학습 예시 이미지

시험에 합격하려면
복습을 제대로 해야 합니다.

오늘학습은 스스로 기억을 떠올리고 계획적으로 복습할 수 있도록 설계돼 있어요.
그것도, 가장 과학적인 방식으로요!

능동적 회상

능동적 회상
(Active Recall)

배운 내용을 단순 읽으며 반복하는 것이 아니라,
능동적으로 기억하고 있는지를
스스로 테스트하며
공부할 수 있는
학습 환경을 제공해 학습 효과를 높여요

간격 반복 학습

간격 반복 학습
(Spaced Repetition)

에빙하우스 망각곡선을 바탕으로
가장 최적의 시점에 복습을 제공하여
배운 내용이 잊히지 않도록 장기 기억화해요

Data 기반의
뇌과학적 복습 시스템

학습 결과 Data를 분석해, 문제별 최적화된
반복 학습량을
자동으로 분배해요.
학습에 소요되는 시간을 최소화하는
동시에
단기 기억을 장기 기억으로 전환해줘요.

36만 개 이상의
기출문제 무료 제공

공무원 및 약 300여종의 자격증 시험 기출문제
36만개
이상을 무료로 이용할 수 있어요.
여러 앱을 설치할 필요
없이, 오늘학습 하나로
모든 시험을 준비할 수 있어요.

다양한 문제 유형으로 만드는
나만의 단어장&문제집

기출 외에도 외워야 하는 내용은
객관식, 주관식, 카드, 빈칸
등 다양한 형식으로
직접 만들어 보세요. 내 학습 스타일에
맞게
나만의 단어장과 문제집을 만들 수 있어요.

시험별 체계적인
문제 관리

시험에 문제를 추가해 체계적으로
관리할 수 있어요.
주제나 단원별로
분류하고 싶다면,
시험에 챕터를 만들어
문제를 추가할 수도 있어요.

수십만 명이
오늘학습을 사랑합니다

앱 스토어 평점 4.9
구글 플레이 평점 4.8
누적 회원수 100,000+
지금 오늘학습을
시작해보세요
지금 시작하기
문제 선택