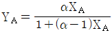
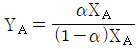
A성분과 B성분의 Binary system에서 기상과 액상이 평형관계에 있다고 한다면 A성분 기상의 몰분율 YA에 관한 일반식은? (단, 는 B성분에 대한 A성분의 휘발도이고, X는 액체의 몰분율이다.)
지금 시작하기 →

・・・ 문제은행 화공기사(구)(구)(2008년 1회) 26번

화공기사(구)(구) 2008년 05월 26번

A성분과 B성분의 Binary system에서 기상과 액상이 평형관계에 있다고 한다면 A성분 기상의 몰분율 YA에 관한 일반식은? (단, 는 B성분에 대한 A성분의 휘발도이고, X는 액체의 몰분율이다.)

1
2
3
4
단축키
이전 문제로 이동은 키를 누르고, 다음 문제로 이동은 키를 누르세요
이전 문제 , 다음 문제
문제(120)
1 깁스-두헴(Gibbs-Duhem)식이 다음으로 표시될 경우는? (단, Xi는 i성분의 조성, 는 i성분의 부분을 특성이다.) 2 절대온도 T의 일정온도에서 이상기체를 1기압에서 10기압으로 가역적인 압축을 한다면 외부가 해야 할 일의 크기는? 3 두성분이 완전 혼합되어 하나의 이상용액을 형성할 때 한성분 i의 화학포텐셜 μi는 μ°(T,P)+RTㆍlnXi으로 표시할 수 있다. 동일 온도와 압력하에서 한성분 i의 순수한 화학포텐셜 μipure는 어떻게 나타낼수 있는가? (단, Xi는 i성분의 몰분율, μ°(T,P)는 같은 T와 P에 있는 이상용액상태의 순수성분 i의 화학 포텐셜이다.) 4 같은 온도, 같은 압력의 두 종류의 이상기체를 혼합하면 어떻게 되는가? 5 이상용액의 활동도 계수 는 어느값을 같는가? 6 다음그림은 열기관 사이클이다. T1에서 열을 받고 T2에서 열을 방출할 때 이 사이클의 열효율은 얼마인가? 7 이상기체간의 반응 A+B R 이 125℃에서 일어난다. 이 반응의 표준 자유에너지 변화가 1500cal/mol 일 경우, 이반응의 평형 상수 값은? 8 열역학 제 2법칙에 관한 사항 중 옳지 않은 것은? 9 어떤 과학자가 자기가 만든 열기관이 80℃와 10℃사이에서 작동하면서 100cal 의 열을 받아 20cal의 유용한 일을 할 수 있다고 주장한다. 이 과학자의 주장에 대한 판단으로 옳은 것은? 10 몰리에 선도(Mollier diagram)는 어떤 성질들을 기준으로 만든 도표인가? 11 다음 중 상태함수로 볼 수 없는 것은? 12 25℃에서 1몰의 이상기체가 20atm에서 1atm로 단열 가역적으로 팽창하였을 때 최종 온도는 약 몇 K인가? (단, 비열비 는 이다.)
13 다음중 과잉 물성치를 가장 옳게 설명한 것은? 14 20℃ 1atm에서 아세톤의 부피팽창계수 β는 1.487×10-3℃-3, 등온압축계수 k는 62×10-6atm-1이다. 아세톤을 정적하에서 20℃, 1atm으로부터 30℃까지 가열하였을 때 압력은 약 몇 atm인가? (단, β와 k의 비는 항상 일정하다고 가정한다.) 15 다음 P-T선도에서 이상기체의 가역단열 압축과정을 나타내는 선은? 16 우주를 고립계라고 할 때 다음 중 옳은 설명은? 17 다음중 공기 표준 오토사이클에 대한 설명으로 옳은 것은? 18 비가역과정에 있어서 다음식 중 옳은 것은? (단, S는 엔트로피 Q는 열량 T는 절대온도이다.) 19 수증기와 질소의 혼합기체가 물과 평형에 있을 때 자유도 수는? 20 1kg의 질소가스가 2.3atm, 367K에서 PV1.3=const.의 폴리트로픽 공정 중 정적과정으로 압력이 2배가 될 때 이 가스의 내부 에너지 변화는 약 몇 kcal/kg 인가? (단, 이 가스의 정압비열 Cp는 0.25kcal/kgㆍk, 정적비열 CV는 0.18kcal/kgㆍK이다.) 21 NH3를 다음의 반응에 의해 NO로 산화한다. 시간당 NO 30kg을 생성하기 위하여 30% 과잉 산소를 공급할 때 공급산소의 양은 시간당 몇 kg 인가? 22 내경 5cm의 파이프에 비중이 1.2인 원유가 3.5m/s 의 속도로 흐를 때 단위면적당 질량 속도는 몇 kg/m2ㆍs 인가? 23 CH4(g)의 표준생성열은 몇 kcal/mol 인가? (단, C와 O2의 반응으로부터 구한 CO2(g)의 표준생성열은 94.1kcal/mol, H2와 O2의 반응으로부터 구한 H2O(L)의 표준생성열은 68.3kcal/mol, CH4(g)의 표준연소열은 212.8kcal/mol이다.) 24 표준상태에서 공기의 밀도는 몇 g/L 인가? (단, 공기의 몰백분율은 80%의 질소와 20%의 산소로 구성되어 있다.)
25 질소의 정압 몰열용량 Cp[J/molㆍk]가 다음과 같고 1mol의 질소를 1atm하에서 600℃로부터 20℃로 냉각하였을 때 발생하는 열량은 약 몇 J인가? (단, R은 상기체상수이다.) 26 A성분과 B성분의 Binary system에서 기상과 액상이 평형관계에 있다고 한다면 A성분 기상의 몰분율 YA에 관한 일반식은? (단, 는 B성분에 대한 A성분의 휘발도이고, X는 액체의 몰분율이다.) 27 주어진 계에서 기체 분자들이 반응하여 새로운 분자가 생성되었을 때 원자 백분율 조성에 대한 설명으로 옳은 것은? 28 포스겐가스를 만들기 위하여 CO가스 1.2몰과 Cl2 가스 1몰을 다음 반응식과 같이 촉매하에서 반응시킬 때 전환율이 90% 라면 반응 후 총 몰수는 몇 몰인가? 29 물의 3중점에 대한 설명 중 옳은 것은? 30 30℃, 760mmHg에서 공기의 수증기압이 25mmHg이고, 이 온도에서 포화수증기압은 0.0433kgf/cm2이다. 이때 상대 습도는 약 몇 %인가? 31 프로판가스와 부탄가스를 액화한 혼합물이 30℃에서 프로판과 부탄의 몰비가 4:1로 되었다면 이 용기내 압력은 약 몇 atm인가? (단, 30℃에서 프로판의 증기압은 9000mmHg, 부탄의 증기압은 2400mmHg이다.) 32 1000kg의 물체가 50m높이에서 지상으로 떨어질때 발생하는 열량은 몇 J인가?(오류 신고가 접수된 문제입니다. 반드시 정답과 해설을 확인하시기 바랍니다.) 33 정상상태로 흐르는 유체가 유로의 확대된 부분을 흐를 때 변화하지 않는 것은? 34 액체염소 40kg이 표준상태에서 증발했을 때 약 몇 m3의 Cl2 가스가 생성되는가? (단, Cl2의 분자량은 70.9이다.) 35 18℃에서 액체 A의 엔탈피를 0이라 가정하고 150℃에서 A증기의 엔탈피를 구하면 약 몇 cal/g인가? (단,. 엑체 A의 비열은 0.44cal/gㆍ℃ , 증기 A의 비열은 0.32cal/gㆍ℃, 100℃에서 증발열은 86.5cal/g) 36 에너지 수지식은 다음 중 어느 법칙에 기인하는 것인가?
37 아세톤 15vol%를 함유하는 벤젠과의 혼합물이 있다. 20℃ 760mmHg에서 벤젠의 분압은 몇 atm인가? 38 섭씨온도 단위를 대체하는 새로운 온도 단위를 정의하여 1기압 하에서 물이 어는 온도를 새로운 온도 단위에서는 10도로 선택하고 물이 끓는 온도를 130도로 정하였다. 섭씨 20도는 새로운 온도 단위로 환산하면 몇 도 인가? 39 농도가 5%인 소금수용액 1kg을 1%인 소금수용액으로 희석하여 3%인 소금수용액을 만들고자 할 때 필요한 1% 소금수용액의 질량은 몇 kg인가? 40 30℃ 742mmHg에서 수증기로 포화된 H2가스가 2300cm3의 용기 속에 들어 있다. 30℃, 742mmHg에서 순 H2가스의 용적은 약 몇 cm3인가? (단, 30℃에서 포화수증기압은 32mmHg이다.) 41 상대휘발도에 관한 설명 중 틀린 것은? 42 파이프 속을 층류상태로 흐르는 어떤 점성액체의 평균속도가 10cm/s이고 파이프 양끝 의 압력차와 파이프의 내경은 각각 0.6기압, 2cm이다 만일 동일한 길이로 파이프 양끝의 압력차를 0.3기압으로 줄이고 내경이 4cm인 것으로 바꾸면 액체의 평균 속도는 몇 cm/s가 되겠는가? 43 NNU(Nusselt number)의 정의로서 옳은것은? (단, Nst는 stanton수, Npr은 prandtl, k는 열전도도, D는 지름, h는 개별열전달 계수, NRE는 레이놀즈수 이다) 44 확산에 의한 물질전달현상을 나타낸 Fick의 법칙처럼 전달속도, 구동력 및 저항 사이의 관계식으로 일반화되는 점에서 유사성을 갖는 법칙은 다음중 어느 것인가? 45 면적이 0.25m2인 250℃ 상태의 물체가 있다 50℃ 공기가 그 위에 있을때 전열속도는 약 몇 kw인가? (단, 대류에 의한 열전달계수는 30w/m2ㆍ℃) 46 혼합조작에서 혼합초기, 혼합도중, 완전이상혼합시 각 균일도 지수의 값을 옳게 나타낸 것은? (단, 균일도 지수는 이며 σ는 혼합 도중의 표준편차, σ0는 혼합 전의 최초의 표준편차이다.) 47 상계점(plait point)에 대한 설명으로 옳지 않은 것은? 48 다음 x-y 도표에서 최소 환류비를 결정하기 위한 농축부 조작선은 어느 것인가?
49 1기압에서 메탄올의 몰 분율이 0.5인 수용액을 증류하면 평형증기에서 메탄올의 몰 분율이 0.8로 된다. 메탄올의 물에 대한 상대 휘발도는 얼마인가? 50 비중 0.9 점도 1poise의 유체를 직경 30.5cm의 배관을 통하여 10m3/h로 수송한다 이 때 레이놀즈수는 약 얼마인가? 51 공극률(porosity)이 0.4인 충전탑 내를 유체가 유효속도(superficial velocity) 0.8m/s로 흐르고 있을 때 충전탑내의 평균 속도는 몇 m/s 인가? 52 평면판에서 유동경계층(hydrodynamic boundary layer)과 열경계층(thermal boundary layer)이 같아질 때 프란틀수(prandtl NO.)는 어떤 값을 가지는가? 53 단일효용 증발관(single effect evaporator)에서 어떤 물질 10% 수용액을 50% 수용 으로 농축한다. 공급용액은 55000kg/h 공급용액의 온도는 52℃ 수증기의 소비량은 4.75×104kg/h 일때 이 증발기의 경제성은? 54 액체와 기체간의 접촉을 위한 일반적인 기체흡수탑에서 편류(channelling)을 최소화 하는 방법으로 가장 적절한 것은? 55 원관내 25℃의 물을 65℃까지 가열하기 위해서 100℃의 포화수증기를 관 외부로 도입하여 그 응축열을 이용하고 100℃의 응축수가 나오도록 하였다. 이때 대수평균 온도차는 몇 ℃인가? 56 다음 중 점도가 큰 액체를 이송하는데 가장 적합한 정변위 펌프는? 57 다음 중 공비 혼합물을 분리시키는 특수한 증류방법이 아닌 것은? 58 농축조작선 방정식에서 환류비가 R일때 조작선의 기울기를 옳게 나타낸 것은? (단, Xw는 탑저 제품 몰분율이고, XD는 탑상 제품 몰분율이다.) 59 다음 중 고체 내부의 수분이 확산에 의하여 건조되는 단계로 재료의 건조특성이 단적으로 표시되는 기간은? 60 다음 그림과 같은 축소관에 물이 흐르고 있다. 1지점에서의 안지름이 0.25m, 평균유속이 2m/s일때 안지름이 125m인 2지점에서의 평균유속은 몇 m/s인가? (단, 축소에 의한 손실은 없다고 가정한다.)
61 {f(t)}=F(s)일때 최종치 정리를 옳게 나타낸 것은? 62 수은을 유리관에 넣어서 만든 수은온도계의 비정상상태 에너지 수지식을 옳게 나타낸 식은? (단, 열전달을 위한 유리관의 표면적을 A, 수은의 열용량을 C , 유리관 안에 있는 수은의 질량은 m, 수은온도계와 외부 공기와의 열전달계수는 h, 수은온도계의 온도는 T, 외부공기의 온도는 S, 시간은 t 이다) 63 f(t)를 라플라스 변환한 결과, 다음과 같은 식을 얻었다. 이로부터 f(t)를 구한 것으로 옳은 것은? 64 이득이 1이고 시간상수가 τ인 1차계의 bode 선도에서 corner frequency 일 경우 진폭비 AR의 값은 얼마인가? 65 그림과 같이 출구흐름과 두 탱크의 연결부위에 고정된 열림을 가진 밸브가 설치된 두개의 저장탱크에서 입력 흐름에 대한 계단 응답 특성의 설명 중 틀린 것은? 66 인 계의 단위 임펄스 응답은? 67 다음 중 순수한 전달지연 (transportation lag)에 대한 전달 함수는? 68 비례-미분제어장치의 전달함수의 형태를 옳게 나타낸 것은? (단, K는 gain, τ는 시간정수이다) 69 1차계의 sin 응답에서 ωτ가 증가되었을 때 나타나는 영향을 옳게 설명한 것은?(단, ω는 각 주파수, τ는 시간정수, AR은 진폭비, |φ|는 위상각의 절대값 이다.) 70 에서 ω가 아주 작을 때 즉 ω→0일 때의 위상각은? 71 안정한 closed loop 에 대한 설명 중 옳은 것은? 72 다음중 1차계에서 시상수에 관한 커패시턴스와저항의 관계를 식으로 옳게 나타낸 것은?
97 요소비료의 제조방법 중 카비메이트 순환방식의 제조방법으로 약 210℃, 400atm의 비교적 고온, 고압에서 반응시키는 것은? 98 니트로 화합물 중 트리니트로톨루엔에 관한 설명으로 틀린 것은? 99 암모니아 합성 공업의 원료 가스인 수소가스 제조 공정에서 2차 개질 공정의 주 반응은? 100 소금물을 전기분해하여 공업적으로 가성소다를 제조할 때 적당한 방법은? 101 화학평형에서 열역학에 의한 평형상수에 주된 영향을 미치는 것은? 102 다음 중 균일계 반응에 가장 가까운 반응은? 103 가역 단분자 반응 R에서 평형상수 KC와 평형 진화율 XAe 와의 관계는? (단, CRO=0 이고, 팽창계수 εA 는 0이다) 104 다음의 액체상 1차 반응이 plug flow 반응기 (PFR) 와 mixed flow 반응기(MFR)에서 각각 일어난다. 반응물 A의 전화율을 똑같이 80%로 할 경우 필요한 MFR의 부피는 PFR부피의 약 몇 배인가? 105 336K에서 원하는 전화율을 얻는데 30분 걸리는 n차의 비가역 화학반응이 있다. 이 반응의 활성화에너지가 422000J/mol 일 때 347K에서 같은 전화율을 얻는데 약 몇 분의 시간이 걸리는가? 106 균일계 촉매반응과 불균일계 촉매반응에 대한 설명으로 옳지 않는 것은? 107 물리적 흡착에 대한 설명으로 가장 거리가 먼 것은? 108 다음 그림은 농도-시간의 곡선이다. 이 곡선에 해당하는 반응식을 옳게 나타낸 것은?
109 기체 - 고체 비균일상 반응의 농도 분포 곡선이 다음 그림과 같으면, 이 때 반응속도의 율속 단계는 어떤 단계인가? 110 다음 반응에서 전활율 XA에 따르는 반응 후 총몰수를 구하면 얼마인가? (단, 반응초기에 B, C, D 는 없고, nA0는 초기 A 성분의 몰수, XA는 A 성분의 전화율이다.) 111 반응속도 일 때 농도를 mol/L, 시간을 h로 나타내면 속도상수는? 112 A → 3R 인 반응에서 A만으로 시작하여 완전히 전화되었을 때 계의 부피변화율은 얼마인가? 113 다음 중 일반적인 기초반응의 분자도에 해당하는 것은? 114 어떤 물질의 분해반응은 비가역 1차반응으로 90%까지 분해하는데 8123초가 소요 되었다면 40% 분해하는데 걸리는 시간은 약 몇 초인가? 115 자동촉매반응에 대한 설명으로 옳은것은? 116 순환식 반응기에 대한 설명으로 옳은 것은? 117 A 가 R이 되는 효소반응이 있다. 전체 효소 농도를 [E0], 미카에리스(Michaelis)상수를 [M]이라고 할 때 이 반응의 특징에 대한 설명으로 틀린 것은? 118 및 인 두 반응이 동시에 등온 회분 반응기에서 진행된다. 50분 후 A의 90% 가 분해되어 생성물 비는 9.1mol R / 1mol S 이다. 반응차수는 각각 1차일 때, 반응 초기 속도상수 k2는 몇 min-1인가? 119 비가역 0차 반응ㅇ에서 전화율이 1로 반응이 완결되는데 필요한 반응 시간에 대한 설명으로 가장 옳은 것은? 120 400K에서 기상반응의 속도식 일 때 속도상수의 단위는?
App Store Google Play
오늘학습 예시 이미지

시험에 합격하려면
복습을 제대로 해야 합니다.

오늘학습은 스스로 기억을 떠올리고 계획적으로 복습할 수 있도록 설계돼 있어요.
그것도, 가장 과학적인 방식으로요!

능동적 회상

능동적 회상
(Active Recall)

배운 내용을 단순 읽으며 반복하는 것이 아니라,
능동적으로 기억하고 있는지를
스스로 테스트하며
공부할 수 있는
학습 환경을 제공해 학습 효과를 높여요

간격 반복 학습

간격 반복 학습
(Spaced Repetition)

에빙하우스 망각곡선을 바탕으로
가장 최적의 시점에 복습을 제공하여
배운 내용이 잊히지 않도록 장기 기억화해요

Data 기반의
뇌과학적 복습 시스템

학습 결과 Data를 분석해, 문제별 최적화된
반복 학습량을
자동으로 분배해요.
학습에 소요되는 시간을 최소화하는
동시에
단기 기억을 장기 기억으로 전환해줘요.

36만 개 이상의
기출문제 무료 제공

공무원 및 약 300여종의 자격증 시험 기출문제
36만개
이상을 무료로 이용할 수 있어요.
여러 앱을 설치할 필요
없이, 오늘학습 하나로
모든 시험을 준비할 수 있어요.

다양한 문제 유형으로 만드는
나만의 단어장&문제집

기출 외에도 외워야 하는 내용은
객관식, 주관식, 카드, 빈칸
등 다양한 형식으로
직접 만들어 보세요. 내 학습 스타일에
맞게
나만의 단어장과 문제집을 만들 수 있어요.

시험별 체계적인
문제 관리

시험에 문제를 추가해 체계적으로
관리할 수 있어요.
주제나 단원별로
분류하고 싶다면,
시험에 챕터를 만들어
문제를 추가할 수도 있어요.

수십만 명이
오늘학습을 사랑합니다

앱 스토어 평점 4.9
구글 플레이 평점 4.8
누적 회원수 100,000+
지금 오늘학습을
시작해보세요
지금 시작하기
문제 선택