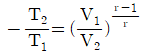
단열과정을 나타내는 식이 아닌 것은? (단, r는 비열비이다.)
지금 시작하기 →

・・・ 문제은행 화공기사(구)(구)(2009년 1회) 12번

화공기사(구)(구) 2009년 05월 12번

단열과정을 나타내는 식이 아닌 것은? (단, r는 비열비이다.)

1
TVr-1=constant
2
3
4
PVr=constant
단축키
이전 문제로 이동은 키를 누르고, 다음 문제로 이동은 키를 누르세요
이전 문제 , 다음 문제
문제(120)
1 비압축성 유체(incompressible fluid)의 성질을 나타내는 식이 아닌 것은? 2 정압열용량 Cp는 7/2R이고 정적열용량 Cv는 5/2R인 1몰의 이상기체가 압력 10bar, 부피 0.05m3에서 압력 1bar로 정용과정을 거쳐 변화할 때 기계적인 가역과정으로 가정하면 이 계에 부가된 열량 Q와 이 계가 한 일 W는 각각 얼마인가? 3 오토(Otto)엔진관 디절(Diesel)엔진에 대한 설명 중 틀린 것은? 4 어떤 물질의 부피팽창률은 a/V, 등온압축률은 b/V일 때 이 물질의 상태 방정식은? (단, a,b는 상수이다.) 5 일정한 T,P에 있는 닫힌계가 평형상태에 도달하는 조건에 해당하는 것은? 6 다음 중 등엔트로피 과정이라고 할 수 있는 것은? 7 1몰의 이상기체에 대하여 와 같은 값을 가지는 것은? (단, R은 기체상수, Cp는 정압비열이다.) 8 1atm, 25℃에서 물의 등온 압축률 k는 4.5×10-5(atm)-1이다. 25℃등온하에서 물의 밀도를 1%증가시키기 위해서는 약 몇 기압까지 물을 압축시켜야 하는가? (단, 압력변화에 관계없이 로서 일정 하다.) 9 열과 일 사이의 에너지 보존의 원리를 표현한 것은? 10 와 동일한 열역학 식은? 11 열역학성질 중 부분 몰 성질(partial molar property) 에 해당하지 않는 것은? (단, H는 엔탈피, S는 엔트로피, f는 퓨개시티, r는 활동도계수이다.) 12 단열과정을 나타내는 식이 아닌 것은? (단, r는 비열비이다.)
13 어떤 유체가 장치 속으로 1.8km/min의 유속으로 들어 간다. 들어가고 나갈 떄의 그 유체의 운동에너지의 차가 1kcal/kg 이 되려면 유체가 장치를 나갈 때의 속도는 약 몇 km/min 이어야 하는가? 14 줄-톰슨(Joule-Thomson)계수 μ를 다음과 같이 나타낼 때 이상기체일 경우 μ의 값은? 15 등온과정에서 이상기체의 초기 압력이 1atm, 최종압력이 10atm일 때 엔트로피 변화 △S를 옳게 나타낸 것은? 16 엔트로피에 관한 설명 중 틀린 것은? 17 카르노 사이클(carnot cycle)에 관한 설명 중 틀린 것은? 18 다음 반응식과 같이 진공에서 CaCO3가 부분적으로 열분해하여 평형을 이루고 있는 계의 자유도는? 19 정압과정으로 액체로부터 증기로 바뀌는 순수한 물질에 대한 깁스 자유에너지 G와 온도 T의 그래프를 옳게 나타낸 것은? 20 압력 240kPa에서 어떤 액체의 상태량이 Vf는 0.00177m3/kg, VO는 0.105m3/kg, Hf는 181kJ/kg, Hg는 496kJ/kg일 때 이 압력에서의 Ufg는 약 몇 kJ/kg인가? (단, V는 비체적, U는 내부에너지, H는 멘탈피, 하첨자 f는 포화액, g는 건포화증기를 나타내고 Ufg는 Ug-Uf이다.) 21 20℃에서 물 100g에 녹는 결정 황산나트륨(Na2SO4ㆍ10H2O)은 56.4g이다. 이 온도에서 황산나트륨의 용해도(g Na2SO4/100g H2O)는 약 얼마인가? (단, Na의 원자량23, S의 원자량 32이다.) 22 Lㆍatm와 단위가 같은 것은? 23 질소에 아세톤이 14.8vol% 포함되어 있다. 20℃, 745mmHg에서 이 혼합물의 상대포화도는 약 몇 % 인가? (단, 20℃에서 아세톤의 포화증기압은 184.8mmHg이다.) 24 70℃에서 메탄올의 증기압은 1.14bar이고 에탄올의 증기압은 0.72bar이다. 70℃, 1bar에서 혼합증기와 평형을 이루고 있는 혼합용액 중 메탄올의 몰분율은? (단, 혼합용액은 이상용액으로 간주한다.)
25 다음 [그림]은 증류장치를 도식한 것이다. 여기서 QC는 Condenser에서 제거된 열량, Qr는 Reboiler에서 가열한 열량, F는 공급량, D는 탑상부 제품량, B는 탑하부 유출량, CP는 각 stream의 평균비열을 의미한다. 이 계의 총괄에너지수지(over all energy balance)계산식을 옳게 표시한 것은? 26 20wt% 황산 100kg에 80wt% 황산을 섞어서 50wt%의 황산 수용액을 만들고자 할 때 80wt% 황산의 필요한 양은 몇 kg인가? 27 1기압 20℃의 공기가 10L의 용기에 들어있다. 공기 중 산소만 제거하여 전체 체적을 질소만 차지한다면 압력은 약 몇 mmHg가 되는가? (단, 공기는 질소 79%, 산소 21%로 되어 있다.) 28 Ethylene glycol의 열용량 값이 다음과 같은 온도의 함수일 때, 0℃~100℃ 사이의 온도 범위 내에서 열용량의 평균값은 몇 cal/gㆍ℃인가? 29 NaCl 수용액이 15℃에서 포화되어 있다. 이 용액 1kg을 65℃로 가열하면 약 몇 g의 NaCl을 더 용해시킬 수 있는가? (단, 15℃에서의 용해도는 358g/1000g H2O이고, 65℃에서의 용해도는 373g/1000g H2O 이다.) 30 동일한 부피를 가진 수소와 산소의 무게를 같은 온도에서 측정하였더니 같은 값이었다. 수소의 압력이 2atm이라면 산소의 압력은 몇 atm인가? 31 40wt%의 수분을 함유한 목재를 수분함량이 10wt%가 되도록 건조하였다면 원목재 1kg당 증발된 물의 양은 약 몇 g 인가? 32 이상기체에서 단열공정(adiabatic process)에 대한 관계를 옳게 나타낸 것은? (단, K는 비열비이다.) 33 편대수(Semi-log) 용지에 그래프를 그릴 때 직선으로 나타내는 식은? 34 20℃, 730mmHg에서 상대습도가 75인 공기가 있다. 공기의 mol습도는? (단, 20℃에서 물의 증기압은 17.5mmHg이다. 35 개천의 유량을 측정하기 위하여 dilution method를 사용하였다. 처음 개천물을 분석하였더니 Na2SO4의 농도가 180ppm이있다. 1시간에 걸쳐 Na2SO4 10kg을 혼합한 후 하류에서 Na2SO4를 측정하였떠니 3300ppn이었다. 이 개천물의 유량은 약 몇 kg/h인가? 36 표준상태에서 56m3의 용적을 가진 프로판기체를 완전히 액화하였을 때 얻을 수 있는 액체 프로판은 몇 kg인가?
37 다음과 같은 일반적인 베르누이의 정리에 적용되는 조건이 아닌 것은? 38 산소 75vol%와 메탄 25vol%로 구성된 혼합가스의 평균 분자량은? 39 순수한 수소와 질소를 고온, 고압에서 다음과 같이 반응시켜서 암모니아를 제조한다. 반응기에서의 수소의 전화율은 10%이고, 수소는 30kmol/s, 질소는 20kmol/s로 도입될 때 반응기에서의 배출되는 질소의 양은 몇 kmol/s인가? 40 과잉공기 백분율(%) 계산식을 옳게 나타낸 것은? 41 정류탑에 원액을 500kmol/h로 공급할 때 정류부에서의 증기유량이 40kmol/h라면 환류량은 몇 kmol/h 인가? (단, 환류비는 3 이다.) 42 벤젠과 톨루엔의 2 성분계 정류조작에 있어서의 자유도(degrees of freedom)는 얼마인가? 43 이중 열교환기의 총괄전열계수가 69kcal/m2ㆍhㆍ℃이고 더운 액체와 찬 액체를 향류로 접촉시켰더니 더운 면의 온도가 65℃에서 25℃로 내려가고 찬 면의 온도가 20℃에서 53℃로 올라갔다. 단위 면적당의 열교환량은 약 몇 kcal/m2ㆍh인가? 44 교반기 중 점도가 높은 액체의 경우에는 적합하지 않으나 저정도 액체의 다량 처리에 많이 사용되는 교반기는? 45 상대휘발도 aAB를 옳게 나타낸 것은? (단, PA, PB는 각 A와 B순수 성분의 증기압, x와 y는 액상, 기상의 몰분율을 나타내고 PA>PB이다.) 46 단면이 가로 5cm, 세로 20cm 인 직사각형 관로의 상담 직경은 몇 cm인가? 47 다단 증류조작에서 환류비가 증가하는 경우에 대한 설명으로 옳은 것은? 48 원관 내의 유체흐름에 따른 패닝(Fanning) 마찰계수 f에 대한 설명으로 틀린것은?
49 증류에 있어서 원료 흐름 중 기화된 증기의 분율을 f라 할 때 f 에 대한 표현 중 틀린 것은? 50 충전탑의 높이가 2m이고 이론 단수가 5이면 이론단의 상당높이 HETP는 몇 m인가? 51 점도 0.00018poise, 밀도 1.44kg/m3인 유체가 내경 50mm인 관을 평균속도 15m/s로 흐르고 있을 때 레이놀드 수를 구하면? 52 공비혼합물 중 한 성분과 친화력이 크고 비교적 비휘발성인 첨가제를 가해 그 성분의 증기분압을 낮춰 분리시키는 방법은? 53 전열면적이 1m2인 나무의 평균 열전도도가 100℃에서 0.06W/mㆍ℃이다. 이 나무의 두께가 100mm일 때 100℃에서 열저항(thermal resistance)은 약 몇 ℃/W인가? 54 공비 혼합물의 성질 중 틀린 것은? 55 정류탑에 공급되는 원료가 찬 액체상태일 때 공급선(feed line)의 기울기 m을 옳게 나타낸 것은? 56 다음 그림은 다공성 고체의 건조에 대한 자유분수 X와 건조속도 R의 관계를 나타낸 것이다. 이 그래프에 대한 설명으로 옳지 않은 것은? 57 흡수탑의 높이가 18m, 전달단위수 NTU(number of transferunit)가 3일 때 전달단위높이 HTU(height of a transferunit)는 몇 m 인가? 58 파이프(pipe)와 튜브(tube)에 대한 설명 중 틀린 것은? 59 다음 중 프라우드 수(Froude number)에 해당하는 것은? (단, g는 중력가속도, v는 속도, L은 길이이다.) 60 5m/s의 평균유속으로 내경 3cm관을 흐르는 물이 내경이 6cm로 확대된관을 흐를 때 급격한 확대에 의한 손실은 약 몇 kgfㆍm/kg인가?
61 단면적이 A, 길이가 L인 파이프 내에 평균속도를 U로 유체가 흐르고 있다. 입구 유체온도와 출구 유체온도 사이의 전달함수는? (단, 파이프는 단열되어 파이프로부터 유체로 열전달은 없다.) 62 다음 제어에 관한 설명 중 옳은 것은? 63 제어계의 특성방정식의 근(극점)이 양의 실수값을 가질 때 시스템이 나타내는 특성으로 옳은 것은? 64 다음 중 1차계의 시간상수에 대한 설명이 아닌 것은? 65 함수 의 라플라스 변환은? 66 다음 중 cascade제어에 관한 설명으로 옳은 것은? 67 coshωt의 Laplace변환은? 68 다음 중 Bernoulli의 법칙을 이용한 head-type 차압유량계는? 69 다음 전달함수를 갖는 계 중 sin응답에서 Phase lead를 나타내는 것은? 70 변환기(transducer)의 변화폭(span)을 늘리고 밸브의 크기를 줄였을 경우 제어성능을 유지하기 위해서 제어기 이득을 어떻게 재조정해야 하는지 옳게 설명한 것은? 71 그림과 같은 액위계(liquid level system)에서 단면적은 3ft2, qo=8√hft3/min 이고 평균 조작수위 h=4ft일 때 시상수(time constant)는 얼마인가? 72 공정유체 10m3를 담고 있는 완전혼합이 일어나는 탱크에 성분 A를 포함한 공정유체가 1m3/h로 유입되며 또한 동일한 유량으로 배출되고 있다. 공정유체와 함께 유입되는 성분 A의 농도가 1시간을 주기로 평균치를 중심으로 진폭 0.3mol/L 진동하며 변한다고 할 때 배출되는 A의 농도변화의 진폭은 약 몇 mol/L 인가?
85 다음 중 복합비료에 대한 설명으로 틀린 것은? 86 다음 중 증기압이 최저가 되는 황산의 농도는? 87 다음 중 염기성 비료로서 산성토양의 개량 및 잡초, 해충, 병원균의 구제에도 사용되는 비료는? 88 다음과 같은 반응으로 하루 4ton의 염소가스를 생산하는 공장이 있다. 이 공장에서 하루동안 얻어지는 NaOH의 양은 약 몇 ton인가? (단, 나트륨의 원자량은 23이고, CI의 원자량은 35.5이다.) 89 1000ppm의 처리제를 사용하여 반도체 폐수 1000m3/day를 처리하고자 할 때 하루에 필요한 처리제는 몇 kg 인가? 90 석유화학 공정 중 전화(conversion)와 정제로 구분할 때 전화공정에 해당하지 않는 것은? 91 황산제조에서 연실의 주된 작용이 아닌 것은? 92 접촉식 황산제조에 있어 사용하는 바나듐 계동의 촉매를 사용할 경우 전화기 내의 온도 범위를 옳게 나타낸 것은? 93 아디프산과 헥사메틸렌디아민을 원료로 하여 제조되는 물질은? 94 황산 용액의 포화조에 암모니아 가스를 주입하여 황산암모늄을 제조할 때 85wt%황산 1000kg을 포화조에서 암모니아 가스와 반응시키면 약 몇 kg의 황산암모늄 결정이 석출되겠는가? (단, 반응온도에서 황산암모늄 용해도는 97.5g/100gㆍH2O이며, 수분의 증발 및 분리공정 중 손실은 없다.) 95 원유를 증류할 때 상압증류공정의 탑저에서 나오는 전사유(Reduced Crude)나 감압증류공정에서 나오는 유분을 경유유분과 함께 제품규격에 맞게 배합한 것은? 96 벤젠을 니트로화하여 니트로벤젠을 만들 때에 대한 설명으로 옳지 않은 것은?
97 황산 존재하에서 C2H5OH에 KBr을 작용시키면 생성되는 주 생성물은? 98 부식전류가 크게 되는 원인으로 가장 거리가 먼 것은? 99 다음 중 밭농사를 주로 하는 지역에서는 사용되나 흡습성이 강하고 논농사에는 부적합한 비료로서 Fauser법으로 생산하는 것은? 100 아세틸렌을 원료로 하여 합성되지 않는 물질은? 101 다음은 단열 조작선의 그림이다. 조작선을 기울기는 로 나타내는데 이 기울기가 큰 경우에는 어떤 형태의 반응기가 가장 좋겠는가? (단, CP는 열용량, △Hr은 반응열을 나타낸다.) 102 다음 Arrhenius식에 대한 설명으로 옳지 않은 것은? 103 비가역 1차 액상반응 A→R이 플러그흐름 반응기에서 전화율이 50%로 반응된다. 동일조건에서 반응기의 크기만 2배로 하면 전화율은 몇 %가 되는가? 104 회분식반응기에서 A→R, A→R, -rR=3C0.5Amol/Lㆍh, CAD=1mol/L의 반응이 일어날 때 1시간 후의 전화율은? 105 불균일 촉매반응에서 확산이 반응율속영역에 있는지를 알기 위한 식과 관계없는 것은? 106 어떤 반응에서 1/CA을 시간 t로 플롯하여 기울기 1인 직선을 얻었다. 이 반응의 속도식은? 107 0차 반응의 반응물 농도와 시간과의 관계를 옳게 나타낸 것은? 108 같은 조건에서 반응온도를 10℃에서 20℃로 올렸을 때 반응속도가 3배로 되었다. 이 때의 활성화에너지는 약 몇 kcal/mol인가?
109 반응차수 n이 1보다 큰 경우 이상 반응기의 가장 효과적인 배열 순서는? (단, 플러그흐름 반응기와 작은 혼합흐름 반응기의 부피는 같다.) 110 정용 회분식 반응기에서 단분자형 0차 비가역 반응에서의 반응이 지속되는 시간 t의 범위는? (단, CAO는 A성분의 초기농도, k는 속도상수를 나타낸다.) 111 다음 중 불균일 촉매반응(heterogeneous catalytic reaction)의 단계가 아닌 것은? 112 기체반응 2A→R+S를 1atm, 100℃등온하의 회분식 반응기에서 반응시킨 결과, 20%의 inert gas를 포함한 반응물 A의 90%를 반응시키는데 5분이 걸렸다. 동일 조성의 반응물을 1atm, 100℃ 하에서 운전되는 플러그 흐름 반응기에 100mol/h로 공급하여 90%의 전화율을 얻고자 한다면 반응기 체적은 약 몇 L로 해야 하는가? 113 다음과 같은 반응에서 최초 혼합물인 반응물 A가 25%, B가 25%인 것에 불활성기체가 50% 혼합되었다고 한다. 반응이 완결되었을 때 용적변화율 εA는 얼마인가? 114 다음 각 그림의 빗금친 부분의 넓이 가운데 플러그 반응기의 공간시간 τp를 나타내는 것은? (단, 밀도 변화가 없는 반응이다.) 115 다음 반응에서 체적팽창률(fratrional change in volume, εA의 값은? 116 그림과 같은 반응물과 생성물의 에너지 상태가 주어졌을 때 반응열 관계로 옳은 것은? 117 어떤 이상기체가 600℃에서 다음 반응식과 같은 2차 반응이 일어날 때 반응속도상수 kc값은 70[Lㆍmol-1ㆍs-1]이었다고 하면 반응물 A분압의 감소속도[atmㆍs-1]를 반응속도로 할 때 반응속도 상수는 약 몇 atm-1ㆍmin-1인가? 118 성분 A의 비가역 반응에 대한 연속교반탱크반응기의 설계식으로 옳은 것은? (단, NA는 A성분의 몰수, V는 반응기 부피, t는 시간, FAO는 초기 유입 A의 몰유량, FA는 출구 A의 몰유량, rA는 반응속도이다.) 119 효소반응에 의해 생체 내 단백질을 합성할 때에 대한 설명 중 틀린 것은? 120 어떤 단일 성분 물질의 분해반응은 1차 반응으로 99%까지 분해하는데 6646초가 소요되었다면 30%까지 분해하는데는 약 몇 초가 소요되는가?
App Store Google Play
오늘학습 예시 이미지

시험에 합격하려면
복습을 제대로 해야 합니다.

오늘학습은 스스로 기억을 떠올리고 계획적으로 복습할 수 있도록 설계돼 있어요.
그것도, 가장 과학적인 방식으로요!

능동적 회상

능동적 회상
(Active Recall)

배운 내용을 단순 읽으며 반복하는 것이 아니라,
능동적으로 기억하고 있는지를
스스로 테스트하며
공부할 수 있는
학습 환경을 제공해 학습 효과를 높여요

간격 반복 학습

간격 반복 학습
(Spaced Repetition)

에빙하우스 망각곡선을 바탕으로
가장 최적의 시점에 복습을 제공하여
배운 내용이 잊히지 않도록 장기 기억화해요

Data 기반의
뇌과학적 복습 시스템

학습 결과 Data를 분석해, 문제별 최적화된
반복 학습량을
자동으로 분배해요.
학습에 소요되는 시간을 최소화하는
동시에
단기 기억을 장기 기억으로 전환해줘요.

36만 개 이상의
기출문제 무료 제공

공무원 및 약 300여종의 자격증 시험 기출문제
36만개
이상을 무료로 이용할 수 있어요.
여러 앱을 설치할 필요
없이, 오늘학습 하나로
모든 시험을 준비할 수 있어요.

다양한 문제 유형으로 만드는
나만의 단어장&문제집

기출 외에도 외워야 하는 내용은
객관식, 주관식, 카드, 빈칸
등 다양한 형식으로
직접 만들어 보세요. 내 학습 스타일에
맞게
나만의 단어장과 문제집을 만들 수 있어요.

시험별 체계적인
문제 관리

시험에 문제를 추가해 체계적으로
관리할 수 있어요.
주제나 단원별로
분류하고 싶다면,
시험에 챕터를 만들어
문제를 추가할 수도 있어요.

수십만 명이
오늘학습을 사랑합니다

앱 스토어 평점 4.9
구글 플레이 평점 4.8
누적 회원수 100,000+
지금 오늘학습을
시작해보세요
지금 시작하기
문제 선택