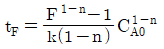
회분식 반응기에서 반응시간이 tF일 때 CA/CA0의 값을 F라 하면 반응차수 n과 tF의 관계를 옳게 표현한 식은? (단, k는 반응속도상수 이고, n≠1 이다.)
지금 시작하기 →

・・・ 문제은행 화공기사(구)(구)(2010년 1회) 104번

화공기사(구)(구) 2010년 05월 104번

회분식 반응기에서 반응시간이 tF일 때 CA/CA0의 값을 F라 하면 반응차수 n과 tF의 관계를 옳게 표현한 식은? (단, k는 반응속도상수 이고, n≠1 이다.)

1
2
3
4
단축키
이전 문제로 이동은 키를 누르고, 다음 문제로 이동은 키를 누르세요
이전 문제 , 다음 문제
문제(120)
1 단열된 상자가 2개의 같은 부피로 양분되었고, 한 쪽에는 아보가드로(Avogadro)수의 이상기체 분자가 들어 있고 다른 쪽에는 아무 분자도 들어 있지 않다고 한다. 칸막이가 터져서 기체가 양쪽에 차게 되었다면 이때 엔트로피 변화값 △S에 해당하는 것은? 2 다음 그림은 역 카르노사이클이다. 이 사이클의 성능계수는 어떻게 표시되는가? (단, T1에서 열이 방출되고 T2에서 열이 흡수된다.) 3 다음중 역행응축(retrograde condensation)현상을 가장 유용하게 쓸 수 있는 경우는? 4 화학반응에서 정방향으로 자발적 반응이 일어나는 경우 깁스(Gibbs)에너지 변화(△G)의 표현으로 맞는 것은? 5 Clausius-Clapeyron 상관식을 통하여 보았을 때 다음 중 증기압과 직접적으로 밀접한 관련이 있는 물성은? 6 계의 질량이 2배로 되면 세기성질(intensive property)의 값은 어떻게 되는가? 7 이상기체의 내부에너지에 대한 설명으로 옳은 것은? 8 완전히 절연된 통속(단열용기)에 물을 넣고 회전교반기로 저어주면 물의 온도가 상승하게 된다. 그 후 찬 물체를 물에 담가 처음 온도로 복귀시킨다. 온도가 처음 온도로 되돌아오는 동안 에너지는 어떤 형태로 존재 하였는가? 9 순수한 메탄올 30mol을 물에 섞어서 25℃.10atm에서 메탄올이 30mol%인 수용액을 만들었다. 용액은 약 몇 L가 되겠는가? (단, 25℃, 1atm에서 순수성분 및 30몰% 수용액의 부분몰 부피는 표와 같으며, 용액은 100mol을 기준으로 한다.) 10 주울-톰슨(Joule-Thomson)계수 μT에 대한 표현으로 옳은 것은? 11 어떤 기체의 제2비리얼 계수 B가 -400cm3/mol이다. 300K, 1기압에서 비리얼 식으로 계산한 이 기체의 압축인자(compressibility factor)는 약 얼마인가? 12 2성분계 용액(binary solution)이 그 증기와 평형상태하에 놓여있을 경우 그 계 안에서 반응이 없다면 평형상태를 결정하는데 필요한 독립변수의 수는?
13 다음과 같은 반응이 평형상태에 도달하였다. 500℃에서 평형상수가 e28이라면 25℃에서의 평형상수는 약 얼마인가? (단, 이 온도범위에서 반응열 △H 는 -68000cal/mol로 일정하다.) 14 비리얼 계수에 대한 다음 설명 중 옳은 것을 모두 나열한 것은? 15 기체가 단열 비가역 팽창을 한다면 기체의 엔트로피(Entropy)는 어떻게 되는가? 16 500K 의 열저장고로부터 열을 받아서 일을 하고 300K의 외계에 열을 방출하는 카르노(Carnot)기관의 효율은? 17 압력과 온도변화에 따른 엔탈피 변화가 다음과 같은 식으로 표시될 때 □에 해당하는 것으로 옳은 것은? 18 A기체 3.0몰과 B기체 1.0몰의 혼합기체가 1.0bar, 0℃에 있다. 혼합기체 내에서 a의 퓨개시티는 10.0bar이고, 순수한 A의 퓨개시티는 20.0bar 이다. 이 때 혼합기체 내의 A의 활동도계수(activity coefficient)를 구하면? 19 열역학적 성질을 정희한 것 중 옳은 것은/ 20 공기표준 디젤 사이클의 구성요소로서 그 과정이 옳은 것은? 21 2kmol의 탄소를 모두 연소시켜 CO2를 생성하였으나 일부는 불완전 연소를 하여 CO가 되었다. 생성가스의 분석결과 CO2가 1.5kmol이 되었을 때 CO의 양은 몇 kg인가? 22 25℃에서 정용 반응열 △Hv 가 -326.1kcal일 때 같은 온도에서 정압반응열 △H0는 약 얼마인가? 23 2wt% NaOH 수용액을 10wt% NaOH 수용액으로 농축하기 위해 농축 증발관으로 2wt% NaOH 수용액을 1000kg/h 공급하면 시간당 증발되는 수분의 양은 몇 kg 인가? 24 어느 날 기압이 720.2mmHg인 공기의 상대습도가 60%였을 때 공기 중의 수분 함량은 몇 kgH2O/kg건조공기인가? (단, 같은 날의 기온에서 물의 포화증기압은 25mmHg이다.)
25 질량분율 XF의 유입량 F가 계로 유입되어 질량분율 XL의 배출량 L과 질량분율 XV의 배출량 V가 계를 떠날 때 직각 삼각형에서 표시될 수 있는 지렛대의 원리에 적합지 않은 것은/ 26 비중 0.8인 액체가 뚜껑이 없는 통에 담겨져 있다. 통밑바닥의 압력이 1.23kgf/cm2일 떄 통에 담겨져 있는 액체 기둥의 높이는 몇 m 인가? 27 내부에너지에 대한 설명으로 가장 거리가 먼 것은? 28 82℃에서 벤젠의 증기압은 811mmHg, 톨루엔의 증기압은 314mmHg이다. 벤젠 25몰%와 톨루엔 75몰%를 82℃에서 증발시키면 평형상태의 증기 중에서 톨루엔의 몰분율은 약 얼마인가? (단, 라울의 법칙이 성립한다고 본다.) 29 공기가 질소 79Vol%, 산소 21Vol%로 이루어져 있다고 가정할 때 70°F, 750mmHg에서 공기의 밀도는 약 얼마인가? 30 Na2SO4 30wt%를 포함하는 수용액의 조성을 mol 백분율로 표시하면 약 몇 mol%인가? 31 물질의 상을 변화시키지 않고 물질의 온도를 변화시키기 위해 가해지는 에너지는? 32 압력 2atm, 부피 1000L의 기체가 정압하에서 부피가 반으로 줄었다. 이 때 작용한 일의 크기는 몇 kcal 인가? 33 20℃에서 용액 1L당 NaCI 230g을 함유하고 있는 NaCI 용액이 있다. 이 온도에서 수용액의 밀도가 1.148g/mL라면 NaCI의 중량 %는 약 얼마인가? 34 다음 그림과 같은 습윤공기의 흐름이 있다. A공기 100kg당 B공기 몇 kg을 섞어야겠는가? 35 증발 잠열 △v 는 Clausius-Clapeyron 식에서 추정할 수도 있다. 어떤 증기압이 453K에서 2atm, 490K에서 5atm 일 때 이 범위에서 △v가 일정하다고 가정하면 다음 중 옳게 나타낸 식은? 36 다음 중 가장 낮은 압력을 나타내는 것은?
37 CO2는 고온에서 다음과 같이 분해된다. 0℃, 1atm에서 11.2L 인 CO2를 일정압력으로 3000K 까지 가열했다면 기체의 부피는 약 몇 L 가 되는가? (단, 3000K, 1atm에서 CO2가 분해된다고 가정한다.) 38 섭씨온도 눈금과 화씨온도 눈금의 수치가 일치되는 온도는/ 39 이상기체를 T1에서 T2까지 일정압력과 일정용적에서 가열할 때 열용량에 관한 식 중 옳은 것은? (단, CP는 정압열용량이고, CV는 정적열용량이다.) 40 열에 관한 용어의 설명 중 틀린 것은/ 41 직경 5cm인 스테인리스관을 비중이 0.9인 액체가 36m3/h로 흐를 때 평균 속도는 약 몇 m/s인가? 42 다음 중 유체의 유속(유량)을 측정하는 장치가 아닌 것은? 43 다음 중 무차원이 아닌 것은? (단, D는 직경, G는 단위면적당 질량속도, μ는 점도, CP는 비열, L 은 두께, h는 열전달계수, A는 전열면적, k는 열전도도 이다.) 44 절대점도가 2cP이고 비중이 0.5인 유체의 동점도(kinematic viscosity)는 몇 cSt인가? 45 흡수용액으로부터 기체를 탈거(desorption)하는 일반적인 방법에 대한 설명으로 틀린 것은? 46 흡수탑에서 전달단위수(NTU)는 10 이고 전달단위높이(HTU)가 0.5m 일 경우, 필요한 충전물의 높이는 몇 m 인가? 47 흑체의 전체 복사능은 절대온도의 4승에 비례한다는 법칙은? 48 2중 열교환기의 열전달계수가 50kcal/m2hㆍ℃이고 향류(Counter current)로 흐를 때 더운 액체의 온도가 65℃에서 22℃로 내려가고 찬 액체의 온도가 20℃에서 45℃로 올라갔다. 단위면적당 열교환율은 몇 kcal/m2ㆍh인가?
49 다음 중 다단 증류 조작에서 각 단의 효율을 높이기 위한 방법으로 가장 타당한 것은? 50 증류조작에서 전환류(total reflux)로 조작할 때에 대한 설명으로 틀린 것은? 51 향류다단 추출에서 추제비 4, 단수 3으로 조작할 때 추출율은? 52 석회석을 분쇄하여 시멘트를 만들고자 할 때 지름이 1m인 볼밀(ball mill)의 능률이 가장 좋은 최적 회전속도는 약 몇 rpm 정도 인가? 53 벤젠, 톨루엔의 혼합물을 그 비점에서 정류탑에 공급한다. 원액 중 벤젠의 몰 분율은 0.2 유출액은 0.96, 관출액은 0.04의 조건에서 매시 90kmol을 처리한다. 환류비는 최소환류비의 1.5배 이다. 상부 조작선의 방정식을 옳게 나타낸 것은? (다, 벤젠의 액조성이 0.2일 때 평형증기의 조성은 0.375이다.) 54 3중 효율증발기에서 순류공급(forward feed)과 역류공급(backward feed)에 대한 설명으로 옳은 것은? 55 건조조족에서 임계함수율(critical mosture content)이란 무엇인가? 56 다음 중 증발, 건조, 결정화, 분쇄, 분급의 기능을 모두 가지고 있는 건조 장치는? 57 McCabe-Thiele의 최소이론 단수를 구한다면, 정류부 조작선의 기울기는? 58 증류의 이론단수 결정에서 McCabe-Thiele의 방법을 사용할 경우 필요한 가정에 해당하는 것이 아닌 것은? 59 U자관 마노미터를 벤튜리 유량계 양단에 설치했다. 마노미터에는 비중 13.6인 수은이 들어 있고 수온상부에는 비중 1.3인 식염수가 들어 있다. 마노미터 읽음이 20cm일 때 압력차는 약 몇 mH2O인가? 60 비중이 0.945, 점도가 0.9cP 인 액체가 안지름이 5cm, 길이가 1km 인 파이프 속으로 3cm/s의 속도로 흐를 때 Fanning 마찰계수의 값은 약 얼마인가?
97 다음 중 천연 고무와 가장 관계가 깊은 것은? 98 올레핀을 코발트 촉매 존재하에서 고압반응시켜 알데히드를 합성하는 반응은? 99 페놀수지에 대한 설명 중 틀린 것은/ 100 디젤연료의 성능을 표시하는 하나의 척도는? 101 비가역 액상반응에서 공간시간 τ가 일정할 때 전환율이 초기 농도에 무관한 반응차수는? 102 액상 반응에서 공간시간(space time) τ와 평균체재시간(holding time) 의 관계를 옳게 나타낸 것은? (단, m은 이상혼합흐름반응기를 나타내고 p는 이상관형 반응기를 나타낸다.) 103 어떤 액상 반응의 반응 속도식이 r=0.253CAmol/cm3ㆍmin이다. 2개의 2.5L mixed flow reactor를 직렬로 연결해서 사용할 경우 전환율을 구하면? (단, CA는 반응물의 농도를 나타내며, 공급속도는 400cm3/min 이다.) 104 회분식 반응기에서 반응시간이 tF일 때 CA/CA0의 값을 F라 하면 반응차수 n과 tF의 관계를 옳게 표현한 식은? (단, k는 반응속도상수 이고, n≠1 이다.) 105 CSTR에서 80%의 전화율을 얻는데 필요한 공간시간이 5h이다. 공급물 2m3/min을 80%의 전화율로 처리하는데 필요한 반응기의 부피는? 106 어떤 액상반응 A→R이 1차 비가역으로 batch reactor에서 일어나 A의 50%가 전환되는데 5분이 걸린다. 75%가 전환되는 데에는 약 몇 분이 걸리겠는가/ 107 다음의 반응에서 반응속도 상수 간의 관계는 k1 = k-1 = k2 = k-2이며 초기 농도는 CAO=1, CRO = CSO = 0일 때 시간이 충분히 지난 뒤 농도 사이의 관계를 옳게 나타낸 것은? 108 N2 20%, H2 80%로 구성된 혼합 가스가 암모니아 합성 반응기에 들어갈 떄 체적 변화율 εN2는?
109 비가역 0차 반응에서 반응이 완결되는데 필요한 반응 시간은? 110 A분해반응의 1차 반응속도 상수는 0.345/min 이고 반응초기의 농도 CAO가 2.4mol/L이다. 정용 회분식 반응기에서 A의 농도가 0.9mol/L 될 때까지의 시간은? 111 액상 반응을 위해 다음과 같이 CSTR 반응기를 연결하였다. 이 반응의 반응 차수는? 112 아세트산에틸의 가수분해는 1차 반응속도식에 따른다고 한다. 만일 어떤 실험조건하에서 정확히 20%를 분해 시키는데 50분이 소요되었다면 반감기는 약 얼마인가? 113 다음의 균일계 액상 평행 반응에서 S의 순간 수율을 최대로 하는 CA의 농도는? (단, rR=CA, rs = 2C2A,rT=C3A이다.) 114 A→C의 촉매반응이 다음과 같은 단계로 이루어진다. 탈착반응이 율속단계일 때 Langmuir Hinshelwood모델의 반응속도식으로 옳은 것은? (단, A는 반응물, S는 활성점, AS와 CS는 흡착 중간체이며, k는 속도상수, K는 평형상수, SO는 초기 활성점, [ ]는 농도를 나타낸다.) 115 PSSH(Pseudo Steady State Hypothesis)에 대한 설명으로 옳은 것은? 116 2A→R, -rA=kC2A인 2차반응의 반응속도상수 k를 결정하는 방법은? 117 그림은 단열 조작에서 에너지수지식의 도시적 표현이다. 발열반응의 경우 불활성 물질을 증가시켰을 때 단열 조작선은 어느 방향으로 이동하겠는가? (단, 실선은 불활성 물질이 없는 경우를 나타낸다.) 118 다음과 같은 평행반응이 진행되고 있을 때 원하는 생성물이 S라면 반응물의 농도는 어떻게 조절해 주어야 하는가? 119 다음 그림의 사선 부분은 생성물을 최대로 하였을 때의 반응 형태이다. 이 반응에 가장 적합한 반응기의 종류는? (단, CAO는 초기(또는 공급물) 농도이고, CAf는 최종(또는 출구) 농도이다.) 120 어떤 성분 A가 분해되는 단일성분의 비가역 반응에서 A의 초기농도가 340mol/L 인 경우 반감기가 100s 이었다. A기체의 초기농도를 288mol/L로 할 경우는 140s 가 되었다면 이 반응의 반응차수는 얼마인가?
App Store Google Play
오늘학습 예시 이미지

시험에 합격하려면
복습을 제대로 해야 합니다.

오늘학습은 스스로 기억을 떠올리고 계획적으로 복습할 수 있도록 설계돼 있어요.
그것도, 가장 과학적인 방식으로요!

능동적 회상

능동적 회상
(Active Recall)

배운 내용을 단순 읽으며 반복하는 것이 아니라,
능동적으로 기억하고 있는지를
스스로 테스트하며
공부할 수 있는
학습 환경을 제공해 학습 효과를 높여요

간격 반복 학습

간격 반복 학습
(Spaced Repetition)

에빙하우스 망각곡선을 바탕으로
가장 최적의 시점에 복습을 제공하여
배운 내용이 잊히지 않도록 장기 기억화해요

Data 기반의
뇌과학적 복습 시스템

학습 결과 Data를 분석해, 문제별 최적화된
반복 학습량을
자동으로 분배해요.
학습에 소요되는 시간을 최소화하는
동시에
단기 기억을 장기 기억으로 전환해줘요.

36만 개 이상의
기출문제 무료 제공

공무원 및 약 300여종의 자격증 시험 기출문제
36만개
이상을 무료로 이용할 수 있어요.
여러 앱을 설치할 필요
없이, 오늘학습 하나로
모든 시험을 준비할 수 있어요.

다양한 문제 유형으로 만드는
나만의 단어장&문제집

기출 외에도 외워야 하는 내용은
객관식, 주관식, 카드, 빈칸
등 다양한 형식으로
직접 만들어 보세요. 내 학습 스타일에
맞게
나만의 단어장과 문제집을 만들 수 있어요.

시험별 체계적인
문제 관리

시험에 문제를 추가해 체계적으로
관리할 수 있어요.
주제나 단원별로
분류하고 싶다면,
시험에 챕터를 만들어
문제를 추가할 수도 있어요.

수십만 명이
오늘학습을 사랑합니다

앱 스토어 평점 4.9
구글 플레이 평점 4.8
누적 회원수 100,000+
지금 오늘학습을
시작해보세요
지금 시작하기
문제 선택