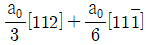
의 값으로 옳은 것은? (단, a0는 격자상수이다.)
지금 시작하기 →

・・・ 문제은행 금속재료기사(2019년 1회) 62번

금속재료기사 2019년 04월 62번

의 값으로 옳은 것은? (단, a0는 격자상수이다.)

1
2
3
4
단축키
이전 문제로 이동은 키를 누르고, 다음 문제로 이동은 키를 누르세요
이전 문제 , 다음 문제
문제(100)
49 다음 중 발열량이 가장 높은 것은? 50 조연(Pb)의 건식정련시 제일 먼저 부유물(Dross)로 제거되는 성분은? 51 25°C에서 3mole의 H2(g)와 1mole의 N2(g)를 섞어서 이상기체 혼합물을 생성할 때 ΔSM(Entropy of mixing)는 약 몇 cal/K 인가? 52 탈산원소 중 탈산력의 세기가 큰 것부터 순서대로 나열한 것은? 53 일정 조성의 계에 대한 헬름홀츠 자유에너지는 어떤 변수들을 독립변수로 하는 함수인가? 54 고체 탄소가 산화하여 이산화탄소 기체가 되는 반응이 다음과 같을 때, 1000K에서 반응의 형태와 방향으로 옳은 것은? (단, 반응전 산소와 CO2의 분압은 같다.) 55 10g의 아연과 20g의 구리를 섞어 이상적으로 균일한 황동을 만들었을 때의 엔트로피 증가는 약 몇 cal/K 인가? (단, Cu, Zn의 원자량은 각각 63.5, 65.3g/mole 이다.) 56 라울(Raoult)의 법칙에 따르는 이상용액에서 용질물질 B의 활동도 계수 γB는? 57 다음 중 이상기체의 가역단열과정에서 성립되는 관계식은? (단, ΔU = 내부에너지변화, q = 열, P = 압력, V = 부피, T = 온도, W = 일) 58 다음 관계식 중 옳은 것은? (단, A : helmholtz 자유에너지, G : Gibbs 자유에너지, H : 엔탈피, E : 내부에너지, S : 엔트로피, T : 온도, P : 압력, V : 부피) 59 고로에 주로 사용되는 내화재로 짝지어진 것은? 60 다음 중 열전도율의 단위로 옳은 것은?
App Store Google Play
오늘학습 예시 이미지

시험에 합격하려면
복습을 제대로 해야 합니다.

오늘학습은 스스로 기억을 떠올리고 계획적으로 복습할 수 있도록 설계돼 있어요.
그것도, 가장 과학적인 방식으로요!

능동적 회상

능동적 회상
(Active Recall)

배운 내용을 단순 읽으며 반복하는 것이 아니라,
능동적으로 기억하고 있는지를
스스로 테스트하며
공부할 수 있는
학습 환경을 제공해 학습 효과를 높여요

간격 반복 학습

간격 반복 학습
(Spaced Repetition)

에빙하우스 망각곡선을 바탕으로
가장 최적의 시점에 복습을 제공하여
배운 내용이 잊히지 않도록 장기 기억화해요

Data 기반의
뇌과학적 복습 시스템

학습 결과 Data를 분석해, 문제별 최적화된
반복 학습량을
자동으로 분배해요.
학습에 소요되는 시간을 최소화하는
동시에
단기 기억을 장기 기억으로 전환해줘요.

36만 개 이상의
기출문제 무료 제공

공무원 및 약 300여종의 자격증 시험 기출문제
36만개
이상을 무료로 이용할 수 있어요.
여러 앱을 설치할 필요
없이, 오늘학습 하나로
모든 시험을 준비할 수 있어요.

다양한 문제 유형으로 만드는
나만의 단어장&문제집

기출 외에도 외워야 하는 내용은
객관식, 주관식, 카드, 빈칸
등 다양한 형식으로
직접 만들어 보세요. 내 학습 스타일에
맞게
나만의 단어장과 문제집을 만들 수 있어요.

시험별 체계적인
문제 관리

시험에 문제를 추가해 체계적으로
관리할 수 있어요.
주제나 단원별로
분류하고 싶다면,
시험에 챕터를 만들어
문제를 추가할 수도 있어요.

수십만 명이
오늘학습을 사랑합니다

앱 스토어 평점 4.9
구글 플레이 평점 4.8
누적 회원수 100,000+
지금 오늘학습을
시작해보세요
지금 시작하기
문제 선택