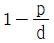
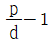
리벳이음에서 리벳의 지름이 d, 피치가 p일 때 판 효율을 구하는 식으로 옳은 것은?
지금 시작하기 →

・・・ 문제은행 자동차정비기사(2022년 2회) 12번

자동차정비기사 2022년 04월 12번

리벳이음에서 리벳의 지름이 d, 피치가 p일 때 판 효율을 구하는 식으로 옳은 것은?

1
2
3
4
단축키
이전 문제로 이동은 키를 누르고, 다음 문제로 이동은 키를 누르세요
이전 문제 , 다음 문제
문제(100)
1 유압기기 요소에서 길이가 단면 치수에 비해서 비교적 긴 죔구를 의미하는 용어는? 2 그림과 같은 균일분포하중이 작용하는 보의 최대 처짐량을 구하는 식으로 옳은 것은? (단, W : 균일분포하중, L : 보의 길이, E : 세로탄성계수, I : 단면 2차 모멘트이다.) 3 지름이 100mm인 유압 실린더의 이론 송출량이 830 cm3/s, 추력이 3kgf일 때 이 유압실린더의 속도(cm/s)는 얼마인가? (단, 펌프의 용적효율은 90% 이다.) 4 코일의 유효권수 12, 코일의 평균지름 40mm, 소선의 지름 6mm인 압축 코일 스프링에 30N의 외력이 작용할 때, 변위(mm)는 약 얼마인가? (단, 코일 스프링 재질의 전단탄성계수는 8×103 N/mm2 이다.) 5 철강 시험편은 오스테나이트화한 후 시험편의 한 쪽 끝에 물을 분사하여 퀜칭하는 표준 시험법은? 6 축에 직각인 하중을 지지하는 베어링은? 7 두 축이 만나지도 않고, 평행하지도 않는 기어는? 8 호칭 지름이 50mm, 피치가 2mm인 미터 가는 나사가 2줄 왼나사로 암나사 등급이 6일 때 KS 나사 표시방법으로 옳은 것은? 9 지름 8cm, 길이 200cm 인 연강봉에 7000N 인장하중이 작용하였을 때 변형량은? (단, 탄성한도 내에 있다고 가정하며, 세로탄성계수는 2.1×106 N/cm2 이다.) 10 다음 중 버니어 캘리퍼스로 측정할 수 없는 것은? 11 드릴링 머신에서 너트나 볼트의 머리와 접촉하는 면을 평면으로 파는 작업은? 12 리벳이음에서 리벳의 지름이 d, 피치가 p일 때 판 효율을 구하는 식으로 옳은 것은?
13 일반적으로 단면이 각형이며 스터핑 박스에 채워 넣어 사용되어지는 패킹의 총칭은? 14 정밀 주조법의 일종으로 정밀한 금형에 용융금속을 고압, 고속으로 주입하여 주물을 얻는 방법으로 Al합금, Mg합금 등에 주로 사용되는 주조법은? 15 알루미늄 합금인 두랄루민의 표준성분에 해당하지 않는 원소는? 16 비틀림을 받는 원형 단면 봉에서 발생하는 비틀림 각에 대한 설명으로 옳은 것은? 17 그림과 같이 용접이음을 하였을 때 굽힘응력을 계산하는 식으로 옳은 것은? (단, L : 용접 길이, t : 용접치수(용접 판두께), ℓ : 용접부에서 하중 작용선까지 거리, W : 작용하중이다.) 18 유압 회로 구성에 사용되는 어큐물레이터의 용도가 아닌 것은? 19 다음 중 나사산을 가공하는데 적합한 가공법은? 20 하중을 물체에 작용하는 상태에 따라 분류할 때 해당하지 않는 것은? 21 이상적인 증기 압축 냉동 사이클의 과정은? 22 공기 표준 사이클로 작동되는 디젤 사이클의 이론적인 열효율은 약 몇 % 인가? (단, 비열비는 1.4, 압축비는 16이며, 체절비(cut-off ratio)는 1.8 이다.) 23 어떤 물질 1000kg이 있고 부피는 1.404m3 이다. 이 물질의 엔탈피가 1344.8 kJ/kg 이고 압력이 9MPa 이라면 물질의 내부에너지는 약 몇 kJ/kg 인가? 24 출력 10000kW 의 터빈 플랜트의 시간당 연료소비량이 5000kg/h 이다. 이 플랜트의 열효율은 약 몇 % 인가? (단, 연료의 발열량은 33440kJ/kg 이다.)
25 다음 압력값 중에서 표준대기압(1 atm)과 차이(절대값)가 가장 큰 압력은? 26 -15℃와 75℃의 열원 사이에서 작동하는 카르노 사이클 열펌프의 난방 성능계수는 얼마인가? 27 그림과 같이 작동하는 냉동사이클(압력(P) - 엔탈피(h) 선도)에서 h1 = h4 = 98 kJ/kg, h2 = 246kJ/kg, h3 = 298kJ/kg 일 때 이 냉동사이클의 성능계수(COP)는 약 얼마인가? 28 열교환기를 흐름 배열(flow arrangement) 에 따라 분류할 때 그림과 같은 형식은? 29 피스톤-실린더 내부에 존재하는 온도 150℃, 압력 0.5MPa의 공기 0.2kg은 압력이 일정한 과정에서 원래 체적의 2배로 늘어난다. 이 과정에서의 일은 약 몇 kJ 인가? (단, 공기의 기체상수가 0.287 kJ/(kg·K)인 이상기체로 가정한다.) 30 온도가 20℃, 압력은 100kPa인 공기 1kg을 정압과정으로 가열 팽창시켜 체적을 5배로 할 때 온도는 약 몇 ℃ 가 되는가? (단, 해당 공기는 이상기체이다.) 31 그림과 같은 열기관 사이클이 있을 때 실제 가능한 공급열량(QH)과 일량(W)은 얼마인가? (단, QL은 방열열량이다.) 32 3kg의 공기가 400K에서 830K까지 가열될 때 엔트로피 변화량은 약 몇 kJ/K 인가? (단, 이 때 압력은 120kPa에서 480kPa까지 변화하였고, 공기의 정압비열은 1.005 kJ/(kg·K), 공기의 기체상수는 0.287kJ/(kg·K) 이다.) 33 밀폐 시스템에서 압력(P)이 아래와 같이 체적(V)에 따라 변한다고 할 때 체적이 0.1m3에서 0.3m3로 변하는 동안 이 시스템이 한 일은 약 몇 J 인가? (단, P의 단위는 kPa, V의 단위는 m3 이다.) 34 그림과 같이 선형 스프링으로 지지되는 피스톤-실린더 장치 내부에 있는 기체를 가열하여 기체의 체적이 V1에서 V2로 증가하였고, 압력은 P1에서 P2로 변화하였다. 이때 기체가 피스톤에 행한 일을 옳게 나타낸 식은? (단, 실린더와 피스톤 사이에 마찰은 무시하며 실린더 내부의 압력(P)은 실린더 내부 부피(V)와 선형관계(P=aV, a는 상수)에 있다고 본다.) 35 어떤 기체 동력장치가 이상적인 브레이턴 사이클로 다음과 같이 작동할 때 이 사이클의 열효율은 약 몇 % 인가? (단, 온도(T)-엔트로피(s) 선도에서 T1 = 30℃, T2 = 200℃, T3 = 1060℃, T4 = 160℃ 이다.) 36 질량이 m으로 동일하고, 온도가 각각 T1, T2(T1 > T2)인 두 개의 금속덩어리가 있다. 이 두 개의 금속덩어리가 서로 접촉되어 온도가 평형상태에 도달하였을 때 엔트로피 변화량(△S)은? (단, 두 금속의 비열은 c로 동일하고, 다른 외부로의 열교환은 전혀 없다.)
37 0℃ 얼음 1kg이 열을 받아서 100℃ 수증기가 되었다면, 엔트로피 증가량은 약 몇 kJ/K 인가? (단, 얼음의 융해열은 336 kJ/kg이고, 물의 기화열은 2264 kJ/kg이며, 물의 정압비열은 4.186 kJ/(kg·K) 이다.) 38 압력 1MPa, 온도 50℃인 R-134a의 비체적의 실제 측정값이 0.021796 m3/kg 이었다. 이상기체 방정식을 이용한 이론적인 비체적과 측정값과의 오차(= )는 약 몇 % 인가? (단, R-134a 이상기체의 기체상수는 0.0815 kPa·m3/(kg·K) 이다.) 39 시간당 380000kg의 물을 공급하여 수증기를 생산하는 보일러가 있다. 이 보일러에 공급하는 물의 비에탈피는 830 kJ/kg이고, 생산되는 수증기의 비엔탈피는 3230 kJ/kg이라고 할 때, 발열량이 kJ/kg 인 석탄을 시간당 34000kg씩 보일러에 공급한다면 이 보일러에 효율은 약 몇 % 인가? 40 밀폐 시스템에서 가역정압과정이 발생할 때 다음 중 옳은 것은? (단, U는 내부에너지, Q는 열량, H는 엔탈피, S는 엔트로피, W는 일량을 나타낸다.) 41 전자제어 연료분사장치의 인젝터에서 연료 분사량을 결정하는 요인이 아닌 것은? 42 전자제어 디젤엔진의 연료뷴사 중 엔진의 소음과 진동을 줄이고 연소압력의 완만한 상승을 위한 분사는? 43 터보 과급 장치에서 타임래그(time lag)에 대한 설명으로 옳은 것은? 44 실린더 벽 마모량을 측정할 때 사용하는 측정기로 적절하지 않은 것은? 45 피스톤 링의 플러터(flutter) 현상을 방지하는 방법으로 틀린 것은? 46 4행정 사이클 엔진에서 실린더 내에 흡입되는 흡입공기량이 감소하는 이유로 틀린 것은? 47 어느 기관의 피스톤 행정이 120mm이고, 피스톤링이 마찰력이 3kgf, 엔진회전수가 2000rpm 일 때 피스톤의 평균속도와 피스톤링에 의한 손실마력은? 48 디젤엔진에서 착화지연에 영향을 주는 요소로 거리가 먼 것은?
73 그림과 같은 Gear Box에서 입력축 회전속도 1400rpm, 토크 75kgf·m 일 때 입력마력과 출력축의 회전속도는? (단, 그림의 숫자는 기어의 잇수이다.) 74 타이어 펑크 시 응급적으로 주행 가능한 안전 타이어는? 75 엔진의 회전속도가 일정할 때 토크컨버터의 회전력이 가장 큰 경우는? 76 차량중량 850kgf, 후축증 400kgf인 자동차가 제동력 검사를 받을 때 주차 브레이크 제동력 계산 값과 판정 결과로 옳게 짝지어진 것은? (단, 후륜 좌측제동력 100kgf, 후륜 우측제동력 120kgf 이다.) 77 유압식 브레이크장치에서 베이퍼 록 방지대책이 아닌 것은? 78 수동변속기 차량에서 변속을 할 때마다 기어 충돌 소음이 발생하는 원인으로 옳은 것은? 79 조향장치에서 드래그 링크에 대한 설명으로 옳은 것은? 80 전자제어 구동력 조절장치(TCS)에서 트랙션 컨트롤 유닛(TCU)의 기능으로 틀린 것은? 81 자동차에서 주로 사용하는 직권식 시동 전동기의 특징으로 틀린 것은? 82 하이브리드 자동차의 컨버터(Converter)와 인버터(Inverter)의 전기특성 표현으로 옳은 것은? 83 비사업용 자동차의 정기검사 중 등화장치 검사기준에 대한 설명으로 틀린 것은? (단, 자동차관리법령상에 의한다.) 84 운행차 정기검사에서 소음도 측정 시 측정치의 산출방법으로 틀린 것은? (단, 소음·진동관리법령상에 의한다.)
App Store Google Play
오늘학습 예시 이미지

시험에 합격하려면
복습을 제대로 해야 합니다.

오늘학습은 스스로 기억을 떠올리고 계획적으로 복습할 수 있도록 설계돼 있어요.
그것도, 가장 과학적인 방식으로요!

능동적 회상

능동적 회상
(Active Recall)

배운 내용을 단순 읽으며 반복하는 것이 아니라,
능동적으로 기억하고 있는지를
스스로 테스트하며
공부할 수 있는
학습 환경을 제공해 학습 효과를 높여요

간격 반복 학습

간격 반복 학습
(Spaced Repetition)

에빙하우스 망각곡선을 바탕으로
가장 최적의 시점에 복습을 제공하여
배운 내용이 잊히지 않도록 장기 기억화해요

Data 기반의
뇌과학적 복습 시스템

학습 결과 Data를 분석해, 문제별 최적화된
반복 학습량을
자동으로 분배해요.
학습에 소요되는 시간을 최소화하는
동시에
단기 기억을 장기 기억으로 전환해줘요.

36만 개 이상의
기출문제 무료 제공

공무원 및 약 300여종의 자격증 시험 기출문제
36만개
이상을 무료로 이용할 수 있어요.
여러 앱을 설치할 필요
없이, 오늘학습 하나로
모든 시험을 준비할 수 있어요.

다양한 문제 유형으로 만드는
나만의 단어장&문제집

기출 외에도 외워야 하는 내용은
객관식, 주관식, 카드, 빈칸
등 다양한 형식으로
직접 만들어 보세요. 내 학습 스타일에
맞게
나만의 단어장과 문제집을 만들 수 있어요.

시험별 체계적인
문제 관리

시험에 문제를 추가해 체계적으로
관리할 수 있어요.
주제나 단원별로
분류하고 싶다면,
시험에 챕터를 만들어
문제를 추가할 수도 있어요.

수십만 명이
오늘학습을 사랑합니다

앱 스토어 평점 4.9
구글 플레이 평점 4.8
누적 회원수 100,000+
지금 오늘학습을
시작해보세요
지금 시작하기
문제 선택