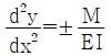
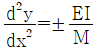
보(beam)의 처짐 곡선 미분방정식을 나타낸 것은? (단, M : 보의 굽힘응력, V : 보의 전단응력, EI : 굽힘강성계수이다.)
지금 시작하기 →

・・・ 문제은행 자동차정비기사(2021년 1회) 10번

자동차정비기사 2021년 03월 10번

보(beam)의 처짐 곡선 미분방정식을 나타낸 것은? (단, M : 보의 굽힘응력, V : 보의 전단응력, EI : 굽힘강성계수이다.)

1
2
3
4
단축키
이전 문제로 이동은 키를 누르고, 다음 문제로 이동은 키를 누르세요
이전 문제 , 다음 문제
문제(100)
13 다이얼 게이지의 보관 및 취급 시 주의사항으로 틀린 것은? 14 용기 내의 압력을 대기압력 이하의 저압으로 유지하기 위해 대기압력 쪽으로 기체를 배출하는 것은? 15 브레이크라이닝의 구비조건으로 틀린 것은? 16 금속을 용융 또는 반용융하여 금속주형 속에 고압으로 주입하는 특수주조법은? 17 지름 22mm인 구리선을 인발하여 20mm가 되었다. 구리의 단면을 축소시키는데 필요한 응력을 303㎏f/cm2라고 할 때 이 인발에 필요한 인발력(㎏f)은 약 얼마인가? 18 황동을 냉간 가공하여 재결정온도 이하의 낮은 온도로 풀림하면 가공 상태보다 오히려 경화되는 현상은? 19 보스에 홈을 판 후 키를 박아 마찰력을 이용하여 동력을 전달하는 키로서 큰 힘을 전달하는데 부적당한 것은? 20 치수가 동일한 강봉과 동봉에 동일한 인장력을 가하여 생기는 신장률 εs, εc가 8:17이라고 하면, 이때 탄성계수(Es/Ec)의비는? 21 계가 정적 과정으로 상태 1에서 상태 2로 변화할 때 단순압축성 계에 대한 열역학 제1법칙을 바르게 설명한 것은? (단, U, Q, W는 각각 내부에너지, 열량, 일량이다.) 22 온도 20℃에서 계기압력 0.183MPa의 타이어가 고속주행으로 온도 80℃로 상승할 때 압력은 주행 전과 비교하여 약 몇 kPa 상승하는가? (단, 타이어의 체적은 변하지 않고, 타이어 내의 공기는 이상기체로 가정하며, 대기압은 101.3kPa이다.) 23 증기터빈에서 질량유량이 1.5㎏/s이고, 열손실률이 8.5㎾이다. 터빈으로 출입하는 수증기에 대한 값은 아래 그림과 같다면 터빈의 출력은 약 몇 ㎾인가? 24 10℃에서 160℃까지 공기의 평균 정적비열은 0.7315kJ/(㎏·K)이다. 이 온도 변화에서 공기 1㎏의 내부에너지 변화는 약 몇 kJ인가?
25 완전가스의 내부에너지(u)는 어떤 함수인가? 26 밀폐용기에 비내부에너지가 200kJ/㎏인 기체가 0.5㎏ 들어있다. 이 기체를 용량이 500W인 전기가열기로 2분 동안 가열한다면 최종상태에서 기체의 내부에너지는 약 몇 kJ인가? (단, 열량은 기체로만 전달된다고 한다.) 27 증기를 가역 단열과정을 거쳐 팽창시키면 증기의 엔트로피는? 28 계가 비가역 사이클을 이룰 때 클라우지우스(Clausius)의 적분을 옳게 나타낸 것은? (단, T는 온도, Q는 열량이다.) 29 어떤 냉동기에서 0℃의 물로 0℃의 얼음 2ton을 만드는데 180MJ의 일이 소요된다면 이 냉동기의 성적계수는? (단, 물의 융해열은 334kJ/㎏이다.) 30 수소(H2)가 이상기체라면 절대압력 1MPa, 온도 100℃에서의 비체적은 약 몇 m3/㎏인가? (단, 일반기체상수는 8.3145kJ/(kmol·K)이다.) 31 과열증기를 냉각시켰더니 포화영역 안으로 들어와서 비체적이 0.2327m3/㎏이 되었다. 이때 포화액과 포화증기의 비체적이 각각 1.079×10-3m3/㎏, 0.5243m3/㎏이라면 건도는 얼마인가? 32 비열비가 1.29, 분자량이 44인 이상 기체의 정압비열은 약 몇 kJ/(㎏·K)인가? (단, 일반기체상수는 8.314kJ/(kmol·K)이다.) 33 온도가 127℃, 압력이 0.5MPa, 비체적이 0.4m3/㎏인 이상기체가 같은 압력 하에서 비체적이 0.3m3/㎏으로 되었다면 온도는 약 몇 ℃가 되는가? 34 증기동력 사이클의 종류 중 재열사이클의 목적으로 가장 거리가 먼 것은? 35 한 밀폐계가 190kJ의 열을 받으면서 외부에 20kJ의 일을 한다면 이 계의 내부에너지의 변호는 약 얼마인가? 36 다음 중 가장 낮은 온도는?
37 온도 15℃, 압력 100kPa 상태의 체적이 일정한 용기 안에 어떤 이상 기체 5㎏이 들어있다. 이 기체가 50℃가 될 때까지 가열되는 동안의 엔트로피 증가량은 약 몇 kJ/K인가? (단, 이 기체의 정압비열과 정적비열은 각각 1.001kJ/(㎏·K), 0.7171kJ/(㎏·K)이다.) 38 열펌프를 난방에 이용하려 한다. 실내 온도는 18℃이고, 실외 온도는 –15℃이며 벽을 통한 열손실은 12㎾이다. 열펌프를 구동하기 위해 필요한 최소 동력은 약 몇 ㎾인가? 39 오토사이클의 압축비(ε)가 8일 때 이론열효율은 약 몇 %인가? (단, 비열비(k)는 1.4이다.) 40 이상적인 카르노 사이클의 열기관이 500℃인 열원으로부터 500kJ을 받고, 25℃에 열을 방출한다. 이 사이클의 일(W)과 효율(ηth)은 얼마인가? 41 전자제어 가솔린엔진이 워밍업 된 후 아이들 스피드 컨트롤(ISC)의 기능으로 가장 적절한 것은? 42 압축압력 시험 준비 작업이 아닌 것은? 43 전자제어 연료분사 엔진에서 공기흐름 계측에 플랩(flap)의 움직임 양을 전압으로 바꾸어 컴퓨터로 보내는 것은? 44 기관의 냉각장치에서 보텀(bottom) 바이 패스 냉각방식의 특징으로 틀린 것은? 45 열막(Hot Film)형식 흡입 공기량 센서의 특징으로 틀린 것은? 46 전자제어 가솔린 연료분사장치의 피드백 제어에 관한 사항으로 틀린 것은? 47 피스톤 행정의 길이가 100mm, 엔진의 회전수가 1500rpm인 4행정 사이클 기관의 피스톤 평균속도(m/s)는? 48 다음 중 질소산화물(NOx) 발생량이 많은 경우는?
App Store Google Play
오늘학습 예시 이미지

시험에 합격하려면
복습을 제대로 해야 합니다.

오늘학습은 스스로 기억을 떠올리고 계획적으로 복습할 수 있도록 설계돼 있어요.
그것도, 가장 과학적인 방식으로요!

능동적 회상

능동적 회상
(Active Recall)

배운 내용을 단순 읽으며 반복하는 것이 아니라,
능동적으로 기억하고 있는지를
스스로 테스트하며
공부할 수 있는
학습 환경을 제공해 학습 효과를 높여요

간격 반복 학습

간격 반복 학습
(Spaced Repetition)

에빙하우스 망각곡선을 바탕으로
가장 최적의 시점에 복습을 제공하여
배운 내용이 잊히지 않도록 장기 기억화해요

Data 기반의
뇌과학적 복습 시스템

학습 결과 Data를 분석해, 문제별 최적화된
반복 학습량을
자동으로 분배해요.
학습에 소요되는 시간을 최소화하는
동시에
단기 기억을 장기 기억으로 전환해줘요.

36만 개 이상의
기출문제 무료 제공

공무원 및 약 300여종의 자격증 시험 기출문제
36만개
이상을 무료로 이용할 수 있어요.
여러 앱을 설치할 필요
없이, 오늘학습 하나로
모든 시험을 준비할 수 있어요.

다양한 문제 유형으로 만드는
나만의 단어장&문제집

기출 외에도 외워야 하는 내용은
객관식, 주관식, 카드, 빈칸
등 다양한 형식으로
직접 만들어 보세요. 내 학습 스타일에
맞게
나만의 단어장과 문제집을 만들 수 있어요.

시험별 체계적인
문제 관리

시험에 문제를 추가해 체계적으로
관리할 수 있어요.
주제나 단원별로
분류하고 싶다면,
시험에 챕터를 만들어
문제를 추가할 수도 있어요.

수십만 명이
오늘학습을 사랑합니다

앱 스토어 평점 4.9
구글 플레이 평점 4.8
누적 회원수 100,000+
지금 오늘학습을
시작해보세요
지금 시작하기
문제 선택