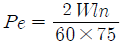
자동차엔진의 축출력(PS)을 구하는 식은? (단, W는 동력계 하중(kgf), L은 동력계 암 길이(m), n은 회전수(rpm)이다.)
지금 시작하기 →

・・・ 문제은행 자동차정비기사(2019년 1회) 52번

자동차정비기사 2019년 03월 52번

자동차엔진의 축출력(PS)을 구하는 식은? (단, W는 동력계 하중(kgf), L은 동력계 암 길이(m), n은 회전수(rpm)이다.)

1
2
3
4
단축키
이전 문제로 이동은 키를 누르고, 다음 문제로 이동은 키를 누르세요
이전 문제 , 다음 문제
문제(100)
1 그림과 같은 외팔보의 자유단 끝단에서 최대처짐량을 구하는 식은? (단, L=a+b) 2 하중이 5kN 작용하였을 때, 처짐이 200mm인 코일스프링에서 소선의 지름이 20mm일 때 이 스프링의 유효 감김수는? (단, 스프링지수(C)는 10, 전단탄성 계수(G)는 8×102N/mm2, 왈의 수정계수(K)는 1.2이다.) 3 그림과 같은 원통 용기의 하부 구멍A의 단면적이 0.05m2이고 이를 통해서 물이 유출할 때 유량은 약 m3/s 인가? (단, 유량계수는 C=0.6, 높이는 H=2m 로 일정하다.) 4 다음 키의 종류 중 일반적으로 가장 큰 토크를 전달할 수 있는 키는? 5 왁스, 파라핀 등으로 만든 주형재를 사용하여 치수가 정밀하고 면이 깨끗한 복잡한 주물을 얻을 수 있는 주조법은? 6 탄소강에 관한 일반적인 설명으로 옳지 않은 것은? 7 기어, 클러치, 캠 등과 같이 내마모성과 더불어 인성을 필요로 하는 부품의 경우는 강의 표면 경화법으로 처리한다. 강의 표면 경화법에 해당하지 않는 것은? 8 절삭가공에 이용되는 성질로 적합한 것은? 9 보일러와 같이 기밀을 필요로 할 때 리베팅 작업이 끝난 뒤에 리벳머리의 주위와 강판의 가장 자리를 75º ~85º 가량 정(chisel)과 같은 공구로 때리는 작업은? 10 평벨트 풀리의 종류는 림의 폭 중앙이 볼록한 C형과 림의 폭 중앙이 편평한 F형이 있다. 여기서 C형 림의 폭 중앙에 크라운 붙임(crowning)을 두는 이유로 가장 적적한 것은? 11 길이 L의 환봉을 압축하였더니 30cm로 되었다. 이 때 변형률은 0.0006 이라고 하면 원래의 길이는 약 몇cm인가? 12 그림과 같이 원형단면의 지름 d인 관성모멘트는 이다. 원에 접하는 접선축에 대한 평행축의 정리를 활용하여 관성 모멘트(Ix)를 구하면?
13 단면적 1cm2, 길이 4m 인 강선에 2kN의 인장하중을 작용시키면 신장량은 약 몇cm인가? (단, 연강의 탄성계수는 2×106N/cm2이다.) 14 일반적인 알루미늄의 성질로 틀린 것은? 15 펌프의 분류를 크게 터보식과 용적식으로 분류할 때 다음 중 용적식 펌프에 속하는 것은? 16 철사를 여러 번 구부렸다 폈다를 반복했을 때 철사가 끊어지는 현상은? 17 축(shaft)의 종류 중 전동축의 특수한 형태로 축의 지름에 비하여 길이가 짧은 축을 의미하는 것으로 형상과 치수가 정밀하고 변형량이 극히 작아야 하는 것은? 18 대량의 제품 치수가 허용공차 내에 있는지 여부를 검사하는 게이지로 통과측과 정지측으로 구성되어 있는 것은? 19 피복 아크 용접봉에서 피복제의 역할이 아닌 것은? 20 유체기계에서 유압 제어밸브의 종류가 아닌 것은? 21 계의 엔트로피 변화에 대한 열역학적 관계식 중 옳은 것은? (단, T는 온도, S는 엔트로피, U는 내부 에너지, V는 체적, P는 압력, H는 엔탈피를 나타낸다.) 22 다음 중 강도성 상태량 (Intensive property)이 아닌 것은? 23 그림과 같은 단열된 용기 안에 25℃의 물이 0.8m 들어있다. 이 용기 안에 100℃, 50kg의 쇳덩어리를 넣은 후 열적 평형이 이루어 졌을 때 최종 온도는 약 몇 ℃인가? (단, 물의 비열은 4.18kJ/(kgㆍK), 철의 비열은 0.45kJ/(kgㆍK)이다.) 24 어떤 기체 동력장치가 이상적인 브레이턴 사이클로 다음과 같이 작동할 때 이 사이클의 열효율은 약 몇 %인가? (단, 온도(T)-엔트로피(S) 선도에서 T1=30℃, T2=200℃, T3=1060℃, T4=160℃이다.)
25 이상기체 1kg이 초기에 압력 2kPa, 부피 0.1m3를 차지하고 있다. 가역등온과정에 따라 부피가 0.3m3로 변화했을 때 기체가 한 일은 약 몇 J인가? 26 이상적인 오토사이클에서 열효율을 55%로 하려면 압축비를 약 얼마로 하면 되겠는가? (단, 기체의 비열비는 1.4이다.) 27 실린더에 밀폐된 8kg의 공기가 그림과 같이 P1=800kPa, 체적 V1=0.27m3에서 P2=350kPa, 체적 V2= 0.80m3으로 직선 변화하였다. 이 과정에서 공기가 한 일은 약 몇 kJ 인가? 28 체적이 일정하고 단열된 용기 내에 80℃, 320kPa의 헬륨 2kg이 들어 있다. 용기 내에 있는 회전 날개가 20W의 동력으로 30분 동안 회전한다고 할 때 용기 내의 최종 온도는 약 몇 ℃인가? (단, 헬륨의 정적비열은 3.12kJ/(kgㆍK)이다.) 29 밀폐계가 가역정압 변화를 할 때 계가 받은 열량은? 30 유리창을 통해 실내에서 실외로 열전달이 일어난다. 이때 열전달량은 약 몇 W인가? (단, 대류열전달계수는 50W/(m2ㆍK), 유리창 표면온도는 25℃, 외기온도는 10℃, 유리창면적은 2m2이다.) 31 600kPa, 300K 상태의 이상기체 1kmol이 엔탈피가 등온과정을 거쳐 압력이 200kPa로 변했다. 이 과정동안의 엔트로피 변화량은 약 몇 kJ/K인가? (단, 일반기체상수(R)은 8.31451 kJ/(kmolㆍK)이다.) 32 어느 내연기관에서 피스통의 흡기과정으로 실린더 속에 0.2kg의 기체가 들어 왔다. 이것을 압축할 때 15kJ의 일이 필요하였고, 10kJ의 열을 방출하였다고 한다면, 이 기체 1kg당 내부에너지의 증가량은? 33 다음 중 기체상수(gas constant, R[kJ/(kgㆍK)]) 값이 가장 큰 기체는? 34 압력 2MPa, 300℃의 공기 0.3kg이 폴리트로픽과정으로 팽창하여, 압력이 0.5MPa로 변화하였다. 이때 공기가 한 일은 약 몇kJ인가? (단, 공기는 기체상수가 0.287kJ/(kgㆍK)인 이상기체이고, 폴리트로픽 지수는 1.3이다. 35 공기1kg이 압력 50kPa, 부피 3m3인 상태에서 압력 900kPa, 부피 0.5m3인 상태로 변화할 때 내부에너지가 160kJ증가하였다. 이 때 엔탈피는 약몇 kJ이 증가하였는가? 36 그림과 같은 Rankine 사이클로 작동하는 터빈에서 발생하는 일은 약 몇 kJ/kg인가? (단, h는 엔탈피, s는 엔트로피를 나타내며, H1=191.8kJ/kg, H2=193.8kJ/kg, H3=2799.5kJ/kg, H4=2007.5kJ/kg이다.)
37 이상기체에 대한 다음 관계식 중 잘못된 것은? (단, Cu는 정적비열, Cp는 정압비열, u는 내부에너지, T는 온도, V는 부피, h는 엔탈피, R은 기체상수, k는 비열비이다.) 38 열역학 제2법칙에 관해서는 여러 가지 표현으로 나타낼 수 있는데, 다음 중 열역학 제2법칙과 관계되는 설명으로 볼 수 없는 것은? 39 터빈, 압축기, 노즐과 같은 정상 유동장치의 해석에 유용한 몰리에(Mollier) 선도를 옳게 설명한 것은? 40 시간당 380000kg의 물을 공급하여 수증기를 생산하는 보일러가 있다. 이 보일러에 공급하는 물의 엔탈피는 830kJ/kg이고, 생산되는 수증기의 엔탈피는 3230kJ/kg 이라고 할 때, 발열량이 32000kJ/kg인 석탄을 시간당 34000kg씩 보일러에 공급한다면 이 보일러의 효율은 약 몇 %인가? 41 디젤기관의 노크를 방지하기 위한 대책으로 틀린 것은? 42 자동차 배출가스의 주된 생성원이 아닌 것은? 43 자동차엔진의 실린더 내 압력변화를 측정하여 작성한 지압선도를 통해 파악 가능한 것이 아닌 것은? 44 피스톤 지름이 100mm, 크랭크축의 회전반경이 50mm인 엔진에서 압축비를 9:1로 만들려면 연소실 체적은 약 몇 cc인가? 45 자동차엔진에 사용되는 LPG의 특징으로 틀린 것은? 46 디젤엔진의 기계식 분사펌프에서 캠축의 캠 형상과 연료분사특성에 대한 설명으로 틀린 것은? 47 엔진에서 사용되는 캠축의 구동방식이 아닌 것은? 48 엔진에서 패스트 아이들 기능에 대한 설명으로 옳은 것은?
61 자동차 섀시 스프링의 스프링 위 질량 진동과 관계없는 것은? 62 빙판이나 진흙탕에서 구동바퀴가 공회전만 하고 차가 움직이지 못하는 경우가 있다. 이러한 현상을 방지하기 위한 것은? 63 제동 시 후륜에서 전륜으로 하중이 이동된 만큼 후륜의 휠실린더에 작용하는 유압을 감소시켜 타이어의 잠김 현상을 방지하는 유압 구성품이 아닌 것은? 64 차륜 정렬작업을 위한 예비점검 내용으로 틀린것은? 65 수동변속기에서 주축 입력기어 잇수 Z1=25,부축 입력 기어 잇수 Z2=41, 부축 1단 기어 잇수 Z3=21, 주축 1단 기어 잇수 Z4=45이다. 엔진회전수가 3600rpm일 때, 이 수동 변속기의 1단 변속비와 1단에서의 변속기 출력축 회전수는? 66 ABS(Anti-lock Brake System)의 기능이 아닌 것은? 67 선회 시 코너링 포스에 영향을 미치는 것으로 거리가 먼 것은? 68 전진 또는 후진에서 모두 자기작동작용이 일어나 강력한 제동력을 발생시키는 브레이크는? 69 추진축의 회전토크 14kgfㆍm, 타이어 반경 0.35m, 종감속비 6.5인 자동차에서 타이어에 작용하는 구동력은 약 몇 kgf인가? (단, 기계손실은 무시한다.) 70 전자제어 자동변속기를 구성하는 주요부품 중 출력축의 회전수를 검출하는 부품은? 71 공기식 브레이크 장치에서 캠축을 회전시키는 역할을 하면서 브레이크 드럼 내부의 브레이크 슈와 드럼 사이의 간극을 조정하는 부품은? 72 자동 변속기의 변속 패턴에 대한 설명으로 옳은 것은?
App Store Google Play
오늘학습 예시 이미지

시험에 합격하려면
복습을 제대로 해야 합니다.

오늘학습은 스스로 기억을 떠올리고 계획적으로 복습할 수 있도록 설계돼 있어요.
그것도, 가장 과학적인 방식으로요!

능동적 회상

능동적 회상
(Active Recall)

배운 내용을 단순 읽으며 반복하는 것이 아니라,
능동적으로 기억하고 있는지를
스스로 테스트하며
공부할 수 있는
학습 환경을 제공해 학습 효과를 높여요

간격 반복 학습

간격 반복 학습
(Spaced Repetition)

에빙하우스 망각곡선을 바탕으로
가장 최적의 시점에 복습을 제공하여
배운 내용이 잊히지 않도록 장기 기억화해요

Data 기반의
뇌과학적 복습 시스템

학습 결과 Data를 분석해, 문제별 최적화된
반복 학습량을
자동으로 분배해요.
학습에 소요되는 시간을 최소화하는
동시에
단기 기억을 장기 기억으로 전환해줘요.

36만 개 이상의
기출문제 무료 제공

공무원 및 약 300여종의 자격증 시험 기출문제
36만개
이상을 무료로 이용할 수 있어요.
여러 앱을 설치할 필요
없이, 오늘학습 하나로
모든 시험을 준비할 수 있어요.

다양한 문제 유형으로 만드는
나만의 단어장&문제집

기출 외에도 외워야 하는 내용은
객관식, 주관식, 카드, 빈칸
등 다양한 형식으로
직접 만들어 보세요. 내 학습 스타일에
맞게
나만의 단어장과 문제집을 만들 수 있어요.

시험별 체계적인
문제 관리

시험에 문제를 추가해 체계적으로
관리할 수 있어요.
주제나 단원별로
분류하고 싶다면,
시험에 챕터를 만들어
문제를 추가할 수도 있어요.

수십만 명이
오늘학습을 사랑합니다

앱 스토어 평점 4.9
구글 플레이 평점 4.8
누적 회원수 100,000+
지금 오늘학습을
시작해보세요
지금 시작하기
문제 선택