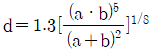
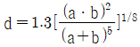
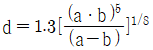
원형덕트와 장방형덕트의 환산식으로 옳은 것은? (단, d : 원형덕트의 직경 또는 환산 직경, a : 장방향덕트의 장변길이, b : 장방향덕트의 단변길이)
지금 시작하기 →

・・・ 문제은행 건축설비기사(2021년 1회) 43번

건축설비기사 2021년 03월 43번

원형덕트와 장방형덕트의 환산식으로 옳은 것은? (단, d : 원형덕트의 직경 또는 환산 직경, a : 장방향덕트의 장변길이, b : 장방향덕트의 단변길이)

1
2
3
4
단축키
이전 문제로 이동은 키를 누르고, 다음 문제로 이동은 키를 누르세요
이전 문제 , 다음 문제
문제(100)
73 축전지의 충전방식 중 비교적 짧은 시간에 보통 충전전류의 2~3배의 전류로 충전하는 방식은? 74 소화기구의 능력단위에 관한 설명으로 옳지 않은 것은? 75 다음의 회로에서 a, b간의 합성 정전용량은? 76 인터폰 설비의 접속방식에 따른 분류에 속하지 않는 것은? 77 전기력선에 관한 설명으로 옳지 않은 것은? 78 유접점 시퀀스 제어회로에 관한 설명으로 옳지 않은 것은? 79 전기력이 미치고 있는 주위공간을 의미하는 용어는? 80 다음 중 조명률에 영향을 끼치는 요소와 가장 거리가 먼 것은? 81 문화 및 집회시설 중 공연장의 개별관람실의 출구를 관람실별로 2개소 이상 설치해야 하는 개별 관림실의 바닥면적 기준은? 82 건축물의 에너지절약설계기준에 따른 기계부분의 권장사항 내용으로 옳지 않은 것은? 83 공동주택과 오피스텔의 난방설비를 개별난방 방식으로 하는 경우에 관한 기준내용으로 옳지 않은 것은? 84 건축물을 건축하거나 대수선하는 경우 해당 건축물의 설계자가 국토교통부령으로 정하는 구조기준 등에 따라 그 구조의 안전을 확인한 건축물 중 건축물의 건축주가 해당 건축물의 설계자로부터 구조 안전의 확인 서류를 받아 착공신고 시 허가권자에게 제출하여야 하는 대상 건축물 기준으로 옳지 않은 것은? (단, 표준설계도서에 따라 건축하는 건축물은 제외)
85 다음의 창문 등의 차면시설의 설치에 관한 기준 내용 중 ( ) 안에 알맞은 것은? 86 건축법령상 고층건물의 정의로 옳은 것은? 87 다음은 특정소방대상물의 소방시설 설치의 면제에 관한 기준 내용이다. ( ) 안에 알맞은 것은? 88 건축물의 출입구에 설치하는 회전문에 관한 기준 내용으로 옳지 않은 것은? 89 다음 중 건축기준의 허용오차로 옳지 않은 것은? 90 급수·배수·환기·난방설비를 설치하는 경우 건축기계설비기술사 또는 공조냉동기계기술사의 협력을 받아야 하는 건축물에 속하지 않는 것은? 91 6층 이상의 건축물로서 판매시설의 거실에 설치하는 배연설비에 관한 기준 내용으로 옳지 않은 것은? (단, 피난층의 거실이 아닌 경우) 92 특정소방대상물이 아파트인 경우 특급 소방안전관리대상물 기준으로 옳은 것은? (단, 층수는 지하층을 제외한 층수이다.) 93 건축물에 설치하는 굴뚝의 옥상 돌출부는 지붕면으로부터의 수직거리를 최소 얼마 이상으로 하여야 하는가? 94 비상콘센트설비를 설치하여야 하는 특정소방대상물 기준으로 옳지 않은 것은? (단, 위험물 저장 및 처리 시설 중 가스시설 또는 지하구는 제외) 95 다음의 소방시설 중 피난구조설비에 속하지 않는 것은? 96 바닥면적이 100m2인 초등학교 교실에 채광을 위하여 설치하여야 하는 창문 등의 면적은 최소 얼마 이상이어야 하는가? (단, 거실의 용도에 따른 조도기준 이상의 조명장치를 설치하지 않은 경우)
App Store Google Play
오늘학습 예시 이미지

시험에 합격하려면
복습을 제대로 해야 합니다.

오늘학습은 스스로 기억을 떠올리고 계획적으로 복습할 수 있도록 설계돼 있어요.
그것도, 가장 과학적인 방식으로요!

능동적 회상

능동적 회상
(Active Recall)

배운 내용을 단순 읽으며 반복하는 것이 아니라,
능동적으로 기억하고 있는지를
스스로 테스트하며
공부할 수 있는
학습 환경을 제공해 학습 효과를 높여요

간격 반복 학습

간격 반복 학습
(Spaced Repetition)

에빙하우스 망각곡선을 바탕으로
가장 최적의 시점에 복습을 제공하여
배운 내용이 잊히지 않도록 장기 기억화해요

Data 기반의
뇌과학적 복습 시스템

학습 결과 Data를 분석해, 문제별 최적화된
반복 학습량을
자동으로 분배해요.
학습에 소요되는 시간을 최소화하는
동시에
단기 기억을 장기 기억으로 전환해줘요.

36만 개 이상의
기출문제 무료 제공

공무원 및 약 300여종의 자격증 시험 기출문제
36만개
이상을 무료로 이용할 수 있어요.
여러 앱을 설치할 필요
없이, 오늘학습 하나로
모든 시험을 준비할 수 있어요.

다양한 문제 유형으로 만드는
나만의 단어장&문제집

기출 외에도 외워야 하는 내용은
객관식, 주관식, 카드, 빈칸
등 다양한 형식으로
직접 만들어 보세요. 내 학습 스타일에
맞게
나만의 단어장과 문제집을 만들 수 있어요.

시험별 체계적인
문제 관리

시험에 문제를 추가해 체계적으로
관리할 수 있어요.
주제나 단원별로
분류하고 싶다면,
시험에 챕터를 만들어
문제를 추가할 수도 있어요.

수십만 명이
오늘학습을 사랑합니다

앱 스토어 평점 4.9
구글 플레이 평점 4.8
누적 회원수 100,000+
지금 오늘학습을
시작해보세요
지금 시작하기
문제 선택