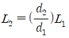
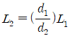
송풍기의 회전속도를 일정하게 하고 날개의 직경을 d1에서 d2로 변경했을 때, 동력 L2를 구하는 식으로 알맞은 것은? (단, L1은 직경, d1에서의 동력이다.)
지금 시작하기 →

・・・ 문제은행 건축설비기사(2022년 2회) 52번

건축설비기사 2022년 04월 52번

송풍기의 회전속도를 일정하게 하고 날개의 직경을 d1에서 d2로 변경했을 때, 동력 L2를 구하는 식으로 알맞은 것은? (단, L1은 직경, d1에서의 동력이다.)

1
2
3
4
단축키
이전 문제로 이동은 키를 누르고, 다음 문제로 이동은 키를 누르세요
이전 문제 , 다음 문제
문제(100)
13 학교 교실의 음 환경에 관한 설명으로 옳지 않은 것은? 14 주방의 작업삼각형(Work Triangle)에 관한 설명으로 옳지 않은 것은? 15 1인당 필요한 신선공기량이 30m3/h일 때 정원이 500명, 실용적이 5000m3의 강당의 1시간당 환기 횟수는 얼마인가? 16 천장의 채광 효과를 얻기 위하여 천장의 위치에 설치하고, 비막이에 좋은 측창의 구조적 장점을 살리기 위하여 연직에 가까운 방향으로 한 창에 의한 채광법으로 주광률 분포의 균일성이 요구되는 곳에 사용되는 것은? 17 기초의 계획 및 설치에 관한 유의사항으로 옳지 않은 것은? 18 병원계획에 관한 설명으로 옳지 않은 것은? 19 목구조의 맞춤에 관한 설명으로 옳지 않은 것은? 20 기온, 기류 및 주벽면온도의 3요소의 조합과 체감과의 관계를 나타내는 열환경 지표는? 21 온도 20℃, 길이 100m인 동관에 탕이 흘러 60℃가 되었을 때, 이 동관의 팽창된 길이는? (단, 동관의 선팽창계수는 0.171×10-4/℃이다.) 22 수도본관에서 수직높이 1m인 곳에 대변기의 세정밸브를 설치하였다. 이 세정밸브의 사용을 위해 필요한 수도본관의 최저 압력은? (단, 수도직결방식이며, 본관에서 세정밸브까지의 마찰손실은 0.02MPa, 세정밸브의 최저필요압력은 0.07MPa이다.) 23 고가탱크에 시간당 18m3의 물을 보내려 할 때 유속을 2m/s로 하기 위한 펌프의 구경은? 24 물의 경도에 관한 설명으로 옳지 않은 것은?
49 다음의 송풍기 풍량제어법 중 축동력이 가장 적게 소요되는 것은? 50 냉방부하계산에 관한 설명으로 옳지 않은 것은? 51 실내 설계온도가 20℃인 어떤 실의 난방부하를 계산한 결과 현열부하 qs=15000W, 잠열부하 qL=3000W이었다. 실내 송풍량이 10000kg/h라 하면 이 때 필요한 취출공기의 온도는? (단, 공기의 비열은 1.01kJ/kgㆍK이다.) 52 송풍기의 회전속도를 일정하게 하고 날개의 직경을 d1에서 d2로 변경했을 때, 동력 L2를 구하는 식으로 알맞은 것은? (단, L1은 직경, d1에서의 동력이다.) 53 10인이 재실하는 어떤 실내공간의 CO2 농도를 외기(外氣)로 환기시켜 700ppm 이하로 유지하고자 한다. CO2 발생원인은 인체 이외에는 없으며 1인당 CO2 발생량은 0.022m3/h이라 할 때 필요 환기량은? (단, 외기의 CO2 농도는 300ppm이다.) 54 다음의 공기조화방식 중 공기ㆍ수 방식에 속하는 것은? 55 온도 35℃, 절대습도 0.018kg/kg'인 공기 150kg과 온도 15℃, 절대습도 0.008kg/kg'인 공기 200kg을 단열혼합할 때 혼합공기의 상태는? 56 스모크타워 배연법에 관한 설명으로 옳은 것은? 57 30℃의 외기 40%와 23℃의 환기 60%를 혼합하여 냉각코일로 냉각감습하는 경우 바이패스팩터가 0.2이면 코일의 출구 온도는? (단, 코일 표면온도는 10℃이다.) 58 증기난방에서 방열기의 상당방열면적(EDR)계산에 사용되는 표준방열량은? 59 공기에 관한 설명으로 옳은 것은? 60 공기조화 용어 중 엔탈피(Enthalpy)가 의미하는 것은?
85 다음 중 소리를 차단하는데 장애가 되는 부분이 없도록 그 구조를 갖추어야 하는 대상 경계벽에 속하지 않는 것은? 86 세대수가 4세대인 주거용 건축물의 먹는물용 급수관 지름의 최소 기준은? (단, 가압설비 등을 설치하지 않은 경우) 87 비상용승강기의 승강장의 바닥면적은 비상용 승강기 1대에 대하여 최소 얼마 이상으로 하여야 하는가? (단, 옥내에 승강장을 설치하는 경우) 88 특정소방대상물이 문화 및 집회시설 중 공연장인 경우, 모든 층에 스프링클러설비를 설치하여야 하는 수용인원 기준은? 89 방염성능기준 이상의 실내장식물 등을 설치하여야 하는 특정소방대상물에 속하지 않는 것은? (단, 층수가 11층 미만인 경우) 90 각 층의 거실면적이 각각 2000m2이며 층수가 8층인 백화점에 설치하여야 하는 승용승강기의 최소 대수는? (단, 15인승 승강기의 경우) 91 건축법령상 다음과 같이 정의 되는 용어는? 92 건축물에 설치하는 복도의 유효너비 기준이 옳지 않은 것은? (단, 연면적 200m2를 초과하는 건축물이며, 양옆에 거실이 있는 복도의 경우) 93 건축법령상 다중이용 건축물에 속하지 않는 것은? (단, 층수가 16층 미만인 경우) 94 문화 및 집회시설 중 공연장의 개별관람실의 바닥면적이 1000m2일 경우, 이 관람실에 설치하여야 하는 출구의 최소 개소는? (단, 각 출구의 유효너비를 1.5m로 하는 경우) 95 다음 중 허가 대상에 속하는 건축물의 용도 변경은? 96 건축물의 경사지붕 아래에 설치하는 대피공간에 관한 기준 내용으로 옳지 않은 것은?
App Store Google Play
오늘학습 예시 이미지

시험에 합격하려면
복습을 제대로 해야 합니다.

오늘학습은 스스로 기억을 떠올리고 계획적으로 복습할 수 있도록 설계돼 있어요.
그것도, 가장 과학적인 방식으로요!

능동적 회상

능동적 회상
(Active Recall)

배운 내용을 단순 읽으며 반복하는 것이 아니라,
능동적으로 기억하고 있는지를
스스로 테스트하며
공부할 수 있는
학습 환경을 제공해 학습 효과를 높여요

간격 반복 학습

간격 반복 학습
(Spaced Repetition)

에빙하우스 망각곡선을 바탕으로
가장 최적의 시점에 복습을 제공하여
배운 내용이 잊히지 않도록 장기 기억화해요

Data 기반의
뇌과학적 복습 시스템

학습 결과 Data를 분석해, 문제별 최적화된
반복 학습량을
자동으로 분배해요.
학습에 소요되는 시간을 최소화하는
동시에
단기 기억을 장기 기억으로 전환해줘요.

36만 개 이상의
기출문제 무료 제공

공무원 및 약 300여종의 자격증 시험 기출문제
36만개
이상을 무료로 이용할 수 있어요.
여러 앱을 설치할 필요
없이, 오늘학습 하나로
모든 시험을 준비할 수 있어요.

다양한 문제 유형으로 만드는
나만의 단어장&문제집

기출 외에도 외워야 하는 내용은
객관식, 주관식, 카드, 빈칸
등 다양한 형식으로
직접 만들어 보세요. 내 학습 스타일에
맞게
나만의 단어장과 문제집을 만들 수 있어요.

시험별 체계적인
문제 관리

시험에 문제를 추가해 체계적으로
관리할 수 있어요.
주제나 단원별로
분류하고 싶다면,
시험에 챕터를 만들어
문제를 추가할 수도 있어요.

수십만 명이
오늘학습을 사랑합니다

앱 스토어 평점 4.9
구글 플레이 평점 4.8
누적 회원수 100,000+
지금 오늘학습을
시작해보세요
지금 시작하기
문제 선택