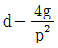
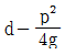
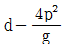
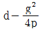
강판을 리벳 이음할 때 지그재그(zigzag)형으로 리벳을 배치할 경우 재편의 순폭은 최초의 리벳구멍에 대하여 그 지름을 빼고 다음 것에 대하여는 다음 중 어느 식을 사용하여 빼주는가? (단, g : 리벳선간거리, p : 리벳의 피치)
지금 시작하기 →

・・・ 문제은행 토목산업기사(2016년 2회) 70번

토목산업기사 2016년 05월 70번

강판을 리벳 이음할 때 지그재그(zigzag)형으로 리벳을 배치할 경우 재편의 순폭은 최초의 리벳구멍에 대하여 그 지름을 빼고 다음 것에 대하여는 다음 중 어느 식을 사용하여 빼주는가? (단, g : 리벳선간거리, p : 리벳의 피치)

1
2
3
4
단축키
이전 문제로 이동은 키를 누르고, 다음 문제로 이동은 키를 누르세요
이전 문제 , 다음 문제
문제(120)
25 그림과 같은 표고의 지형을 평탄하게 정지작업을 하였을 때 평균표고는? 26 A점 좌표(XA=212.32m, YA=113.33m), B점 좌표(XB=313.38m, YB=12.27m), AP 방위각 TAP=80°일 때 ∠PAB(=θ)의 값은? 27 삼각망 조정의 조건에 대한 설명으로 옳지 않은 것은? 28 국토지리정보원에서 발행하는 1:50000지형도 1매에 포함되는 지역의 범위는? 29 수평각을 관측하는 경우, 조정 불완전으로 인한 오차를 최소로 하기 위한 방법으로 가장 좋은 것은? 30 매개변수(A)가 90m인 클로소이드 곡선상의 시점에서 곡선길이(L)가 30m일 때 곡선의 반지름(R)은? 31 축척 1:25000 지형도에서 5% 경사의 노선을 선정하려면 등고선(주곡선) 사이에 취해야 할 도상거리는? 32 평판측량 방법 중 측량지역 내에 장애물이 없어 시준이 용이한 소지역에 주로 사용하는 방법으로 평판을 한 번 세워서 방향과 거리를 관측하여 여러 점들의 위치를 결정할 수 있는 방법은? 33 촬영고도 700m에서 촬영한 사진 상에 굴뚝의 윗부분이 주점으로부터 72mm 떨어져 나타나있으며, 굴뚝의 변위가 6.98mm일 때 굴뚝의 높이는? 34 도로의 단곡선 계산에서 노선기점으로부터 교점까지의 추가거리와 교각을 알고 있을 때 곡선시점의 위치를 구하기 위해서 계산되어야 하는 요소는? 35 삼각점 표석에서 반석과 주석에 관한 내용 중 틀린 것은? 36 완화곡선설치에 관한 설명으로 옳지 않은 것은?
37 곡선 설치에서 교각이 35°, 원곡선 반지름이 500m일 때 도로 기점으로부터 곡선 시점까지의 거리가 315.45m이면 도로 기점으로부터 곡선 종점까지의 거리는? 38 그림과 같이 ΔABC의 토지를 한 변 BC에 평행한 DE 로 분할하여 면적의 비율이 ΔADE:□BCED=2:3이 되게 하려고 한다면 AD의 길이는? (단, AB의 길이는 50m) 39 지상고도 3,000m의 비행기 위에서 초점거리 150mm인 사진기로 촬영한 항공사진에서 길이가 30m인 교량의 길이는? 40 교호수준 측량을 실시하여 다음의 결과를 얻었다. A점의 표고가 25.020m일 때 B점의 표고는? (단, a1=2.42m, a2=0.68m, b1=3.88m, b2=2.11m) 41 단면적이 200cm2인 90°굽어진 관(1/4 원의 형태)을 따라 유량 Q=0.05m3/s의 물이 흐르고 있다. 이 굽어진 면에 작용하는 힘(P)은? (단, 무게 1kg=9.8N) 42 수평으로부터 상향으로 60°를 이루고 20m/s로 사출되는 분수의 최대 연직 도달높이는? (단, 공기 및 기타의 저항은 무시함) 43 관수로에 대한 설명으로 옳은 것은? 44 지하수에서 Darcy의 법칙이 실측값과 가장 잘 일치하는 경우의 지하수 흐름은? 45 Bernoulli 정리의 적용 조건이 아닌 것은? 46 층류와 난류에 관한 설명으로 옳지 않은 것은? 47 관의 길이가 80m, 관경 400mm인 주철관으로 0.1m3/s의 유량을 송수할 때 손실수두는? (단, Chezy의 평균 유속계수 C=70 이다.) 48 부체가 안정되기 위한 조건으로 옳은 것은? (단, C=부심, G=중심, M=경심)
49 두 개의 수조를 연결하는 길이 3.7m의 수평관속에 모래가 가득 차 있다. 두 수조의 수위차를 2.5m, 투수계수를 0.5m/s라고 하면 모래를 통과할 때의 평균 유속은? 50 물의 성질에 관한 설명 중 틀린 것은? 51 그림과 같이 높이 2m인 물통에 물이 1.5m만큼 담겨져 있다. 물통이 수평으로 4.9m/s2의 일정한 가속도를 받고 있을 때 물통의 물이 넘쳐흐르지 않기 위한 물통의 최소 길이는? 52 삼각 위어의 유량공식으로 옳은 것은? (단, 위어의 각 : θ, 유량계수 : C, 월류 수심: H) 53 등류의 정의로 옳은 것은? 54 어떠한 경우라도 전단응력 및 인장력이 발생하지 않으며 전혀 압축되지도 않고, 마찰저항 hL=0인 유체는? 55 직사각형단면 개수로의 수리상 유리한 형상의 단면에서 수로의 수심이 2m라면 이 수로의 경심(R)은? 56 두 단면간의 거리가 1km, 손실수두가 5.5m, 관의 지름이 3m라고 하면 관 벽의 마찰력은? (단, 무게 1kg= 9.8N) 57 수로의 취입구에 폭 3m의 수문이 있다. 문을 h 올린 결과, 그림과 같이 수심이 각각 5m와 2m가 되었다. 그 때 취수량이 8m3/s이었다고 하면 수문의 개방 높이 h는? (단, C=0.60) 58 수심이 3m, 하폭이 20m, 유속이 4m/s인 직사각형단면 개수로에서 비력은? (단, 운동량보정계수 η=1.1) 59 비에너지와 수심의 관계 그래프에서 한계수심보다 수심이 작은 흐름은? 60 직사각형 단면의 개수로에서 한계유속(Vc)과 한계 수심(hc)의 관계로 옳은 것은?
61 다음의 프리스트레스 손실 원인 중 도입할 때 일어나는 손실(즉시 손실)이 아닌 것은? 62 고정하중 10kN/m, 활하중 20kN/m의 등분포하중을 받는 경간 8m의 단순지지보에서 하중계수와 하중조합을 고려한 계수모멘트는? 63 길이 6m의 단순 철근콘크리트보에서 처짐을 계산하지 않아도 되는 보의 최소 두께는 얼마인가? (단, 보통 콘크리트(mc=2,300kg/m3)를 사용하며, fck=21MPa, fy=400MPa) 64 유효깊이가 800mm인 철근콘크리트보에 수직스터럽을 설치하고자 한다. 전단철근이 부담하는 전단력 Vs가 를 초과한다면 수직스터럽의 최대간격은? (단, fck : 콘크리트의 설계기준강도, fy : 보의 폭, d : 보의 유효깊이) 65 배력철근을 배치하는 이유로서 잘못된 것은? 66 플랜지의 유효폭이 b이고 복부의 폭이 bw인 복철근 T형 단면보에서 중립축이 복부내에 있고 부(-)의 휨 모멘트를 받아 복부의 아래쪽이 압축을 받게될 때의 응력 계산방법으로 옳은 것은? 67 균형철근량보다 적은 인장철근량을 가진 보가 휨에 의해 파괴되는 경우에 대한 설명으로 옳은 것은? 68 압축지배단면으로서 띠철근으로 보강된 철근콘크리트부재에 적용하는 강도감소계수(ø)는? 69 길이가 10m인 PSC보에서 포스트텐션 공법으로 설계 할 때 강선에 1,000MPa의 인장력을 가했더니 강선이 2.0mm 풀렸다. 이 때 프리스트레스의 감소량은? (단, Ep=2.0×105MPa 이고 일단정착이다.) 70 강판을 리벳 이음할 때 지그재그(zigzag)형으로 리벳을 배치할 경우 재편의 순폭은 최초의 리벳구멍에 대하여 그 지름을 빼고 다음 것에 대하여는 다음 중 어느 식을 사용하여 빼주는가? (단, g : 리벳선간거리, p : 리벳의 피치) 71 철근의 겹침이음에서 A급 이음의 조건에 대한 설명으로 옳은 것은? 72 강재의 연결부 구조 사항으로 옳지 않은 것은?
73 강도설계법의 기본가정에 대한 설명으로 틀린 것은? 74 단철근 직사각형보에서 fy=300MPa , d=600mm 일 때 중립축 거리 c는? (단, 강도설계법에 의한 균형보임) 75 fck=28MPa , fy=400MPa 인 경우 표준갈고리를 갖는 인장이형철근의 기본정착길이(lhb)로 옳은 것은? (단, 사용 철근은 D25(공칭지름=25.4mm)이고, 도막되지 않은 철근이고, 사용하는 콘크리트는 보통중량 콘크리트이다.) 76 그림과 같이 등분포하중을 받는 단순보에 PS강재를 e=50mm만큼 편심시켜서 직선으로 작용시킬 때, 보 중앙 단면의 하연 응력은 얼마인가? (단, 자중은 무시한다.) 77 철근콘크리트 보에 스터럽을 배근하는 가장 주된 이유는? 78 As′=1,400mm2로 배근된 그림과 같은 복철근보의 탄성처짐이 10mm라 할 때 1년 후 장기처짐을 고려한 총 처짐량은? (단, 1년 후 지속하중 재하에 따른 계수 =1.4이다.) 79 아래 그림과 같은 보에서 콘크리트가 부담할 수 있는 공청전단강도(Vc)는? (단, fck=28MPa , fy=400MPa 이고, 보통중량 콘크리트를 사용한 경우) 80 bw=200mm, d=500mm 인 단철근 직사각형보의 균형철근량은? (단, fck=24MPa , fy=400MPa ) 81 연약지반 개량공사에서 성토 하중에 의해 압밀된 후 다시 추가 하중을 재하한 직후의 안정검토를 할 경우 삼축압축시험 중 어떠한 시험이 가장 좋은가? 82 어떤 점토를 연직으로 4m 굴착하였다. 이 점토의 일축압축강도가 4.8t/m2이고, 단위중량이 1.6t/m3일 때 굴착고에 대한 안전율은 얼마인가? 83 다음 중 직접전단시험의 특징이 아닌 것은? 84 다음 설명 중 동상(凍上)에 대한 대책으로 틀린 것은?
App Store Google Play
오늘학습 예시 이미지

시험에 합격하려면
복습을 제대로 해야 합니다.

오늘학습은 스스로 기억을 떠올리고 계획적으로 복습할 수 있도록 설계돼 있어요.
그것도, 가장 과학적인 방식으로요!

능동적 회상

능동적 회상
(Active Recall)

배운 내용을 단순 읽으며 반복하는 것이 아니라,
능동적으로 기억하고 있는지를
스스로 테스트하며
공부할 수 있는
학습 환경을 제공해 학습 효과를 높여요

간격 반복 학습

간격 반복 학습
(Spaced Repetition)

에빙하우스 망각곡선을 바탕으로
가장 최적의 시점에 복습을 제공하여
배운 내용이 잊히지 않도록 장기 기억화해요

Data 기반의
뇌과학적 복습 시스템

학습 결과 Data를 분석해, 문제별 최적화된
반복 학습량을
자동으로 분배해요.
학습에 소요되는 시간을 최소화하는
동시에
단기 기억을 장기 기억으로 전환해줘요.

36만 개 이상의
기출문제 무료 제공

공무원 및 약 300여종의 자격증 시험 기출문제
36만개
이상을 무료로 이용할 수 있어요.
여러 앱을 설치할 필요
없이, 오늘학습 하나로
모든 시험을 준비할 수 있어요.

다양한 문제 유형으로 만드는
나만의 단어장&문제집

기출 외에도 외워야 하는 내용은
객관식, 주관식, 카드, 빈칸
등 다양한 형식으로
직접 만들어 보세요. 내 학습 스타일에
맞게
나만의 단어장과 문제집을 만들 수 있어요.

시험별 체계적인
문제 관리

시험에 문제를 추가해 체계적으로
관리할 수 있어요.
주제나 단원별로
분류하고 싶다면,
시험에 챕터를 만들어
문제를 추가할 수도 있어요.

수십만 명이
오늘학습을 사랑합니다

앱 스토어 평점 4.9
구글 플레이 평점 4.8
누적 회원수 100,000+
지금 오늘학습을
시작해보세요
지금 시작하기
문제 선택